1.概述
机器学习的定义:
1.Arthur Samuel的定义:在没有明确设置的情况下使计算机具有学习能力的研究领域。
2.Tom Mitchell的定义:计算机程序从经验E中学习,解决某一任务T,进行某一性能度量P,通过P测定在T上的表现因经验E而提高。
专业术语解析:
监督学习:「学习输入到输出的映射函数」,你可以把它理解为:模型通过 "老师"(标签 Y)的指导,学会从 "题目"(输入 X)中找到 "答案"(Y)的规律,之后遇到新题目时能独立给出答案。
回归(Regression):我们预测的目标是预测连续值的输出。
分类(Classification):我们预测的目标是预测离散值输出。
- 回归:标签是连续值(如房价、温度、销量),模型输出是一个数值。
- 分类:标签是离散值(如 0/1、猫 / 狗、A/B/C 类),模型输出是一个类别。
无监督学习:挖掘数据自身的内在结构」。你可以把它理解为:模型没有 "老师"(无标签),只能自己观察数据的 "特征"(如相似度、分布),总结出数据的规律(比如哪些样本长得像、数据的核心特征是什么)。
- 聚类任务(如 K-Means):目标是将数据分成 K 个簇,使得同一簇内的样本相似度高(类内距离小),不同簇的样本相似度低(类间距离大)
- 降维任务(如 PCA):目标是将高维特征 X 映射到低维空间,保留数据的核心信息(方差最大)。数学上通过求解协方差矩阵的特征值和特征向量,选取前 k 个最大特征值对应的特征向量作为投影矩阵。
机器学习学习范式 ├─ 监督学习(有标签,学X→Y映射) │ ├─ 回归(Y连续:房价、温度) │ └─ 分类(Y离散:猫/狗、垃圾邮件) ├─ 无监督学习(无标签,学X内在结构) │ ├─ 聚类(分组:用户群体、商品分类) │ ├─ 降维(压缩:PCA、图像特征压缩) │ └─ 异常检测(找异常:欺诈交易、故障设备) ├─ 半监督学习(部分标签,结合两者优势) └─ 强化学习(无标签,通过奖励试错学习)
2.监督学习
2.1监督学习完整的的解决思路:
1.明确目标:
⭐明确 "已知输入(X)→ 要预测的输出(y)",判断是否为监督学习(是否有标签 y),并细分任务类型
- 回归任务(y 是连续值,如房价、温度);
- 分类任务(y 是离散标签,如垃圾邮件识别、疾病诊断);
- 序列任务(y 是序列,如文本翻译、语音转文字,本质是监督学习的延伸)。
2.数据探索(EDA):
⭐基于问题定义,分析已有数据集的基本情况(pandas/ matplotlib**),为后续预处理和建模打基础**
- 样本层面:样本数量(是否足够?太少可能过拟合)、是否有重复样本 / 异常样本(如房价为负数)。
- 特征层面:特征类型(数值型如面积、类别型如地段)、特征维度(是否高维?如图片像素)、是否有缺失值(如部分房屋未记录房龄)。
- 标签层面:标签分布(回归是否正态分布?分类是否均衡?如二分类中 90% 是正例,10% 是负例)。
3.数据预处理:
⭐解决数据探索中发现的问题,将原始数据转化为 "干净、规范" 的特征矩阵(X)和标签向量(y)
- 缺失值处理:缺失值处理:数值型特征用 "均值 / 中位数填充",类别型特征用 "众数填充" 或 "新增'缺失'类别";
- 异常值处理:删除极端异常值(如 3σ 之外),或用 "分位数替换"(如用 99% 分位数替换超过该值的异常值);
- 特征编码:类别型特征→数值型(如地段 "北京"→1、"上海"→2,或用独热编码);
- 特征缩放:数值型特征标准化(StandardScaler)或归一化(MinMaxScaler)(避免如 "面积(0-1000)" 和 "房龄(0-50)" 因量级差异影响模型);
- 特征选择 / 降维:删除冗余特征(如 "身高" 和 "体重" 高度相关,保留一个),高维数据用 PCA 降维(如图片数据)。
4.划分数据集:
⭐将预处理后的数据集分成 3 部分(避免 "用训练数据测试模型" 导致的过拟合误判)
- 训练集(Train Set,70%-80%):用于模型训练(学习参数);
- 验证集(Validation Set,10%-15%):用于超参数调优(如学习率、树的深度);
- 测试集(Test Set,10%-15%):用于最终评估(模拟模型在真实场景的表现,只能用一次)。
5.模型选择:设计 "f (x)------ 输入到输出的映射关系":
⭐根据 "问题类型 + 数据特点" 选择合适的模型(从简单到复杂)
- 回归任务:线性回归(简单、可解释)→ 决策树回归(处理非线性)→ 随机森林回归(集成模型,精度更高)→ XGBoost/LightGBM(工业界常用,兼顾精度和效率);
线性回归:
f(x) = w₀ + w₁x₁ + w₂x₂ + ... + wₙxₙ(w 是参数,x 是特征);
- 分类任务:逻辑回归(简单、可解释)→ 决策树分类→ 支持向量机(SVM,高维数据表现好)→ 神经网络(复杂任务如图像分类)。
f(x) = σ(w₀ + w₁x₁ + ... + wₙxₙ)(σ 是 sigmoid 函数,输出概率)6.构造损失函数:定义 "模型预测错了多少"(优化的目标):
⭐设计一个 "衡量预测值ŷ与真实标签 y 差距" 的函数 L (ŷ, y),损失函数越小,模型预测越准。需根据任务类型选择。
- 回归问题选择:均方差(MSE)
- 分类问题选择:交叉熵损失(Cross Entropy)
7.求解参数:找到 "使损失函数最小的 w"
⭐通过优化算法求解参数 w,使损失函数 L (ŷ, y) 最小。
梯度下降算法进行计算
8.模型评估:判断 "模型好不好用"
⭐用测试集计算模型的评估指标(避免用训练集评估,因为训练集上的误差可能是 "过拟合" 导致的)
- 回归任务:均方根误差(RMSE,MSE 开平方,和 y 同量级,易理解)、决定系数(R²,越接近 1 越好,衡量模型解释力);
- 分类任务:准确率(Accuracy,简单但对不平衡数据不友好)、精确率(Precision)、召回率(Recall)、F1 分数(兼顾精确率和召回率)、ROC-AUC(二分类常用,抗不平衡数据)。
- 判断标准:如果测试集指标远低于训练集指标→过拟合(需正则化、增加数据);如果训练集和测试集指标都低→欠拟合(需换复杂模型、增加特征)。
9. 模型优化:提升 "模型性能"(迭代过程)
⭐核心任务:根据评估结果调整模型,直到满足业务需求
- 欠拟合优化:换更复杂的模型(如线性回归→随机森林)、增加特征(如房屋数据中加入 "周边学校数量");
- 过拟合优化:正则化(如线性回归加 L1/L2 正则)、减少特征、增加训练数据、集成学习(如随机森林用多棵树投票);
- 超参数调优:用网格搜索(GridSearch)、随机搜索(RandomizedSearch)调整超参数(如学习率、树的深度)。
10.模型部署:落地 "实际应用"(监督学习的最终目标)
⭐核心任务:将训练好的模型封装成接口(如 REST API),供业务系统调用(如房价预测接口嵌入房产 APP)。
- 用 Python 的
pickle/joblib保存模型,用Flask/FastAPI搭建接口,用Docker容器化部署。
2.2线性回归+逻辑回归(分类问题)
1.常见参数说明:
|-----------------|-----------------|
| h(x) | hypothesis 假设函数 |
| m | 训练集样本数量 |
| x | 自变量x,特征值 |
| y | 因变量y,标签值 |
| (x,y) | 一个训练样本 |
| (x^(i),y^(i)) | 第i个训练样本 |
[常见参数说明]
概念剖析:
回归函数的算法模型选择:
思路:数据集->算法选择->模型函数选择->损失函数选择
任务类型 模型函数(核心形式) 常用损失函数 关键备注 单变量线性回归 y = kx + b(线性模型) MSE(均方误差) 输入特征仅 1 个,输出连续值 多变量线性回归 y = w_1x_1 + ... + w_nx_n + b(线性模型) MSE 输入特征多个,输出连续值 二分类逻辑回归 y_pred = sigma(w * x + b)(线性 + sigmoid) 二分类交叉熵(BCE) 输出是类别 1 的概率(0~1) 多分类逻辑回归 y_{pred,i} = softmax(w_i * x + b)(线性 + softmax) 多分类交叉熵 输出是各类别概率(和为 1) 代价函数 = 损失函数在全体样本上的汇总(通常是平均值或总和) 。
概念 计算对象 核心作用 与另一个概念的关系 损失函数(Loss) 单个样本 衡量「一个样本」的预测误差 代价函数是损失函数的 "平均 / 总和" 代价函数(Cost) 全体样本 / 批量样本 衡量「整个数据集」的预测误差 是优化目标(训练时最小化的函数)
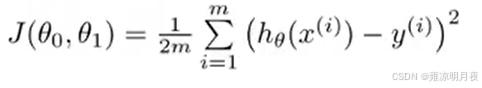
2.3代价函数(Cost Function)
本质:一个模型的量化指标,预测值和真实值之间误差的"总概括",是衡量模型性能好坏的"标尺"
Hypothesis:(假设函数)
hθ(x) = θ₀+θ₁x
Parameters:(参数)
θ₀,θ₁
Cost Function:(代价函数)
Goal:(目标)
minimize J(θ₀,θ₁)
回归问题最常用的代价函数:均方误差(MSE)

- 平方项 [h_θ(xᵢ)-yᵢ]²:
- 保证误差非负(不管预测值比真实值大还是小,平方后都是正的,总和不会抵消);
- 对大误差 "惩罚更重"(比如误差 2 和误差 4,平方后是 4 和 16,突出了大误差的影响,让模型更关注修正严重错误)。
- 1/m:对所有样本的误差取平均值(避免样本数量 m 影响代价函数的大小,比如 1000 个样本的总误差肯定比 10 个样本大,取平均后更易横向对比);
- 1/2:是为了后续求导方便(平方项求导后会出现系数 2,乘以 1/2 后可以抵消,让梯度表达式更简洁,不影响最小值的位置)。
分类问题最常用的代价函数:交叉熵(Cross-Entropy)

逻辑回归的预测值是 h_θ(x) = σ(θ₀+θ₁x)(σ 是 sigmoid 函数,输出在 0~1 之间,代表 "属于 1 类" 的概率)。
公式拆解(核心逻辑)
- 当 yᵢ=1(真实是 1 类):第二项 (1-yᵢ) log (...) 为 0,代价函数简化为 -log (h_θ(xᵢ))。h_θ(xᵢ) 越接近 1(预测越准),log 值越接近 0,代价越小;h_θ(xᵢ) 越接近 0(预测错误),log 值越负,代价越大(惩罚越重)。
- 当 yᵢ=0(真实是 0 类):第一项 yᵢlog (...) 为 0,代价函数简化为 -log (1-h_θ(xᵢ))。h_θ(xᵢ) 越接近 0(预测越准),代价越小;越接近 1(预测错误),代价越大。
总结:
本章节主要学习了关于机器学习的基础定义,以及常见的监督学习和无监督学习的区分以及相关的知识点,并简单概括了监督学习的解题思路,以及线性回归和逻辑回归的相关知识,以及更深层次的代价函数的使用和标准。为后续的实际运用奠定基础。