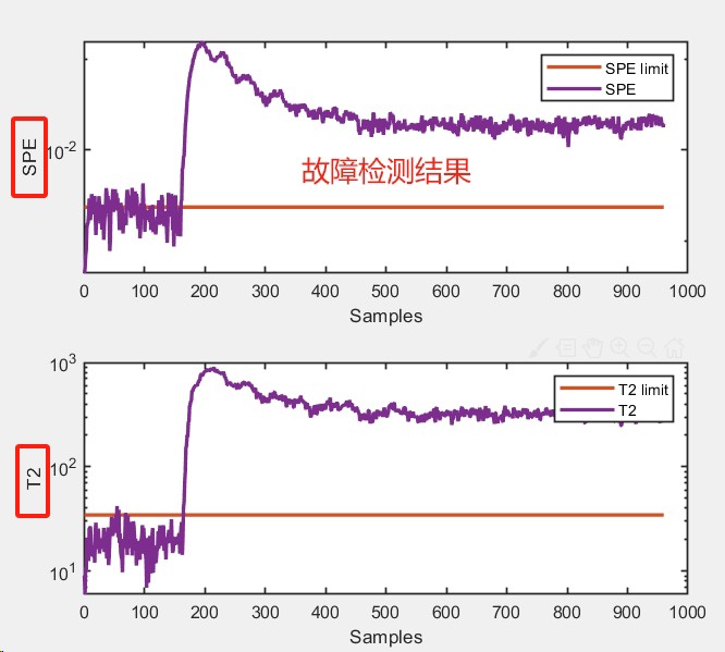
92.基于matlab的KPCA的TE过程的故障监测,利用核主元分析法(KPCA)来进行故障检测的思想,将输入空间中复杂的非线性问题转化为特征空间中的线性问题,计算步骤:(1)选择监控变量,收集正常工况下的各变量的样本;(2)特征分解,求得特征值;(3)确定主元个数;(4)计算T2统计量控制限和SPE统计量控制限。 程序已调通,可直接运行。

今天我们来聊聊基于Matlab的KPCA(核主元分析法)在TE过程故障监测中的应用。KPCA是一种强大的工具,它能够将复杂的非线性问题转化为特征空间中的线性问题,从而简化故障检测的过程。

首先,我们需要选择监控变量,并收集正常工况下的各变量样本。这一步是基础,确保我们有足够的数据来训练模型。接下来,我们进行特征分解,求得特征值。这一步是KPCA的核心,它帮助我们理解数据的内在结构。
matlab
% 假设我们有一个数据矩阵X,每一行是一个样本,每一列是一个变量
X = load('normal_operation_data.mat'); % 加载正常工况数据
K = kernel(X, 'gaussian', 1); % 使用高斯核函数计算核矩阵
[V, D] = eig(K); % 特征分解,V是特征向量,D是特征值
在特征分解之后,我们需要确定主元个数。这一步有点像是挑选出最重要的特征,帮助我们减少数据的维度,同时保留最重要的信息。
matlab
% 确定主元个数
eigenvalues = diag(D);
cumulative_variance = cumsum(eigenvalues) / sum(eigenvalues);
num_components = find(cumulative_variance >= 0.95, 1); % 保留95%的方差
最后,我们计算T2统计量控制限和SPE统计量控制限。这两个统计量帮助我们判断新的数据是否偏离了正常工况,从而检测出潜在的故障。
matlab
% 计算T2统计量控制限
T2_limit = num_components * (size(X, 1) - 1) / (size(X, 1) - num_components) * finv(0.95, num_components, size(X, 1) - num_components);
% 计算SPE统计量控制限
SPE_limit = chi2inv(0.95, size(X, 2) - num_components);
通过以上步骤,我们就可以利用KPCA进行TE过程的故障监测了。这个程序已经调通,可以直接运行,希望对大家有所帮助。如果你有任何问题或想法,欢迎在评论区留言讨论!