题目
给你一个二叉树的根节点 root ,判断其是否是一个有效的二叉搜索树。
有效 二叉搜索树定义如下:
- 节点的左子树只包含严格小于当前节点的数。
- 节点的右子树只包含 严格大于 当前节点的数。
- 所有左子树和右子树自身必须也是二叉搜索树。
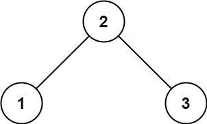
示例 1:

输入:root = [2,1,3]
输出:true
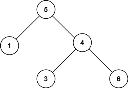
示例 2:

输入:root = [5,1,4,null,null,3,6]
输出:false
解释:根节点的值是 5 ,但是右子节点的值是 4 。
提示:
- 树中节点数目范围在
[1, 104]内 -231 <= Node.val <= 231 - 1
思路
1.首先明确二叉搜索树:任意节点的左子树的值 < 当前节点的值;节点的右子树的值 > 当前的值
2.核心思路:递归 + 边界约束
递归遍历每个节点,为每个节点传递合法的取值范围
(1)递归规则:
- 遍历左子树时,所有的节点都应该小于当前的节点 → 更新左子树上界为当前节点值,下界保持不变
- 遍历右子树时,所有的节点都应该大于当前的节点 → 更新右子树下界为当前节点值,上界保持不变
(2)终止条件:
- 当前节点为空 → return True
- 违背了递归规则 → return False
(3)初始条件:
对于root而言,没有父节点,上下界可设置为节点值的min和max,即[-inf, inf]
代码
python
# Definition for a binary tree node.
# class TreeNode:
# def __init__(self, val=0, left=None, right=None):
# self.val = val
# self.left = left
# self.right = right
class Solution:
def isValidBST(self, root: Optional[TreeNode]) -> bool:
def dfs(node: Optional[TreeNode], low: int, high: int) -> bool:
if not node: return True # 空节点,return True
if node.val <= low or node.val >= high: return False # 违背了规则,return False
return dfs(node.left, low, node.val) and dfs(node.right, node.val, high) # 递归遍历左右子树,并传递合法的取值范围
return dfs(root, float('-inf'), float('inf'))