文章目录
- [第五课 福利经济学](#第五课 福利经济学)
第五课 福利经济学
福利经济学的概念
-
福利经济学的研究对象:社会资源如何分配,以及这种分配会怎样影响到每个人的经济利益。它关心的是整个社会的经济福利,比如社会的总财富是如何在不同的人之间分配的,以及哪种分配方式是更好的。
-
福利经济学的两重性:
- 首先,作为一门经济学分支具有科学性。它会运用一些理论和工具来分析不同的资源配置方式会带来什么样的结果。
- 但是,当基于这些分析提出具体的政策建议时,比如政府应该如何收税或者提供补贴,这些建议背后通常都包含了一定的价值判断。也就是说,我们会去判断什么样的社会状态是更希望看到的。
-
几个重要概念:
- 帕累托有效:如果一个资源配置状态不可能在不损害任何一个人利益的前提下,让至少一个人的状况变得更好,那么这种资源配置是"帕累托有效"的。换句话说,已经没有办法再进行两全其美的调整了:任何能让一部分人获益的变动,都必然会使另一部分人受损。
- 帕累托改进:如果一种资源配置的改变,能够让至少一个人的状况变得更好同时又没有损害任何其他人的利益,那么这个改变就叫做"帕累托改进"。所以,如果一个资源配置状态已经不存在任何帕累托改进的可能性了,那么它就是帕累托有效的。
- 潜在帕累托有效性:一项政策或改变虽然会损害一部分人的利益,但受益者所获得的收益足够大,以至于可以从收益中拿出一部分来完全补偿受损者的损失,并且补偿之后自己还有剩余。如果能够实现这种补偿,那么这个改变就能够让所有人的状况都变得至少和以前一样好,甚至更好。
-
两个表达式:
- (a_1, b_1) ≥ (a_2, b_2):帕累托改进的判断标准。假设 a 和 b 代表社会中的两个人,括号里的数值代表他们的收益。在新的配置状态(a_1, b_1)下,每个人的收益都大于或等于原先的状态(a_2, b_2)。也就是说,至少有一个人变得更好了,并且没有人变得更差。
- a_1 + b_1 ≥ a_2 + b_2:这个表达式则体现了一种不同的价值判断,它关注的是社会总福利的增加,衡量的是两个人的总收益。只要新的配置状态下总收益增加了,就被认为是更好的。这和潜在帕累托改进的思路有些类似,关注的是总的蛋糕有没有变大,而暂时不考虑蛋糕是如何分配的。
消费者剩余
-
基本概念:
- 消费者从购买一件商品中感受到的好处,减去他为了得到这件商品所付出的实际代价。可以理解为消费者"赚到了"的感觉。
- 消费者在购买一件商品时都有一个自己愿意为这件商品支付的最高价格,代表了这件商品能带给他的价值或好处。而他付出的代价,就是这件商品的市场价格。消费者剩余,就是他心里的最高愿意价格和他实际支付的市场价格之间的差额。
-
图像表示:图的纵轴代表价格,也就是消费者的支付意愿。横轴代表消费者购买的数量。这个阶梯状的曲线,就是消费者的需求曲线。可以把这张图想象成一个购买苹果的例子。
- 对于第一个苹果,消费者的支付意愿很高,对应着图上最左边、最高的那个蓝色矩形的高度。
- 对于第二个苹果,消费者没有第一个那么渴望了,支付意愿会下降,对应着第二个矩形的高度。
- 以此类推,消费者每多买一个苹果,他对下一个苹果的支付意愿是递减的,因此需求曲线是向下倾斜的。

- 单位需求和连续需求 :
- 单位需求:刚才讨论的是一个一个买的情况,这叫做单位需求或者离散需求。
- 连续需求:在更普遍的情况下,比如市场上有成千上万的消费者,商品也可以被更细致地划分,那么这个阶梯状的曲线就会变成一条平滑的向右下方倾斜的曲线,也就是通常画的需求曲线。在这种连续需求的情况下,消费者剩余的计算方式仍然是需求曲线以下,市场价格线以上所夹的区域面积。
- 消费者从交易中获得剩余的方式:市场对所有购买者都收取一个统一的价格,但每个消费者对每一单位商品的支付意愿是不同的,且通常是递减的。只要消费者的个人评价高于市场价格就能从中获益。
- 消费者剩余和价格的关系:价格下降,消费者剩余会增加;如果价格上升,消费者剩余会减少。
- 消费者剩余和替代品的关系:如果一个商品有很多好的替代品,那么消费者为这个商品愿意支付的最高价格可能就不会那么高,在同样的价格水平下,消费者剩余自然也就可能更小。反之,如果一个商品几乎没有替代品,消费者对它的依赖度很高,支付意愿就会很高,从而可能获得更多的消费者剩余。
生产者剩余
- 基本概念:卖方在出售一件商品时实际获得的收入,减去为了生产这件商品所付出的成本,被看作是生产者的净收益或者说利润的一部分。
- 图像表示 :通过供给曲线进行表示。下面以土豆的生产为例:
- 图的最左边,供应量为 1 的时候,最低的矩形高度代表生产第一袋土豆的成本。这个成本可能比较低,因为用了最肥沃的土地。
- 当要生产第二袋土豆时,可能需要用到一块没那么好的土地,或者需要更多的肥料,所以生产第二袋土豆的边际成本就比第一袋要高。这对应着图中第二个、高一些的矩形。
- 以此类推,生产的土豆越多,每增加一袋的边际成本就可能越高。所以这条供给曲线是向上倾斜的。
- 只要市场价格高于边际成本,就会生产和销售,且每一次销售都能获得生产者剩余。生产者会一直生产,直到生产下一袋土豆的成本高于或等于市场价格为止。

- 生产者剩余与价格的关系:价格上升,生产者剩余增加;价格下降,生产者剩余减少。
市场均衡下的总剩余
-
总剩余的概念:市场整体上创造的经济福利,是消费者剩余和生产者剩余之和。
-
图像分析:
- 在均衡价格水平线的上方需求曲线的下方是消费者剩余,代表了所有在这个市场里买到商品的消费者所获得的总福利。
- 在均衡价格水平线的下方供给曲线的上方是生产者剩余,代表了所有在这个市场里卖出商品的生产者所获得的总福利。
- 总剩余是消费者剩余和生产者剩余这两个三角形面积的总和,衡量了市场交易给所有参与者,包括买方和卖方,带来的总收益。

-
总剩余的计算方法 :假设需求函数和供应函数分别是
110 -4P和-10 + 2P。首先找出市场的均衡点:均衡发生在需求量等于供给量的时候。所以让两个函数相等:
110 − 4 P = − 10 + 2 P 110 - 4P = -10 + 2P 110−4P=−10+2P通过解这个方程,得到均衡价格 P = 20。
第二步是计算均衡产量。把算出来的价格 P = 20,代入到任意一个函数里。比如代入需求函数:
Q = 110 − 4 ∗ 20 = 30 Q = 110 - 4 * 20 = 30 Q=110−4∗20=30所以均衡产量 Q = 30。
有了均衡价格 20 和均衡数量 30 就可以计算剩余了。图中消费者剩余和生产者剩余都是三角形,所以可用三角形的面积公式来计算。
先计算消费者剩余:三角形的"底"是均衡数量,也就是 30。它的"高"是消费者愿意支付的最高价格与市场价格的差。市场价格是 20。需求曲线 Q = 110 - 4P,当 Q = 0 时,就是消费者一个都不买的时候,对应的价格就是他能承受的最高价格。让 Q = 0,我们得到 P = 27.5。所以,消费者剩余这个三角形的"高"就是 27.5 - 20 = 7.5。
消费者剩余 = 0.5 ∗ 30 ∗ 7.5 = 112.5 。 消费者剩余 = 0.5 * 30 * 7.5 = 112.5。 消费者剩余=0.5∗30∗7.5=112.5。接下来用同样的方法计算生产者剩余:三角形的"底"同样是均衡数量,也是 30。它的"高"是市场价格与生产者愿意接受的最低价格的差。市场价格是 20。供给曲线 Q = -10 + 2P,当 Q = 0 时,就是生产者一个都不生产的时候,对应的价格就是他必须收到的最低价格,也就是成本。让 Q = 0,得到 P = 5。所以,生产者剩余这个三角形的"高"就是 20 - 5 = 15。
生产者剩余 = 0.5 ∗ 30 ∗ 15 = 225 。 生产者剩余 = 0.5 * 30 * 15 = 225。 生产者剩余=0.5∗30∗15=225。市场的总剩余就是两者之和:112.5 + 225 = 337.5。

- 总剩余最优定理:在一个没有外部干预的、竞争性的市场中,市场均衡所达到的资源配置,恰好可以使得总剩余最大化。也就是说,自由市场通过价格这只"看不见的手",能够引导资源实现最有效率的配置,让整个社会从市场交易中获得的好处达到最大。
不同经济政策对福利的影响
价格下限的福利影响

- 当价格被人为设定在均衡点之上时,愿意购买的消费者变少了,而愿意生产的生产者变多了,导致了供过于求。
- 消费者的剩余(上面那个小三角形)变小了。生产者的剩余(下面的梯形)可能会变大也可能会变小。但原先在均衡状态下能够实现的一部分交易现在消失了。这部分消失的交易原本能够创造的价值,现在既没有被消费者得到,也没有被生产者得到,而是凭空消失了。这个消失的部分就是图上标示的"无谓损失"的那个小三角形。因此,价格下限导致了社会总剩余的减少。
价格上限的福利影响

- 当价格被人为限制在均衡点之下时,消费者非常想买,但生产者不愿意生产那么多,导致了供不应求。
- 生产者的剩余(下面那个小三角形)变小了,消费者的剩余可能会变大也可能会变小。但同样,一部分原本可以发生的交易被阻止了。这同样造成了社会总福利的净损失,也就是那个"无谓损失"的三角形。因此,价格上限也导致了社会总剩余的减少。
商品税的福利影响

- 税收使得消费者支付的价格变高了,而生产者实际得到的价格变低了,两者之差就是税额。这个政策的直接后果是交易量减少了。
- 消费者剩余和生产者剩余都变小了,而政府获得了一块"税收收入"(图中的矩形区域)。但是,如果把现在的消费者剩余、生产者剩余和政府税收收入这三块加起来,它们的总和比没有征税之前的总剩余要小。小的那一块,就是图中标示的"无谓损失"三角形。这是因为税收同样阻止了一部分互惠互利的交易。
补贴的福利影响

- 政府补贴使得消费者支付的价格降低了,生产者得到的价格提高了。这会鼓励更多的生产和消费,所以交易量变大了,超过了原来的均衡水平。
- 消费者剩余和生产者剩余都增加了,但是政府需要为此付出"政府补贴支出"(图中的大矩形)。而政府付出的这笔总开支,比消费者和生产者增加的福利总和还要大。超出的那部分,就是图上那个指向右边的"无谓损失"三角形。这部分损失的产生,是因为补贴促成了一些"不经济"的交易,这些新增加的交易的生产成本,其实是高于它们能为消费者带来的价值的。
无谓损失的相关概念
无谓损失大小的影响因素
- 规律一:在需求曲线不变的情况下,供给曲线的斜率越小,无谓损失就越大。
- 规律二:在供给曲线不变的情况下,需求曲线的斜率越小,无谓损失就越大。
可以这样来记忆:
需求或者供给的弹性越大,税收造成的无谓损失就越大。
- 弹性大,意味着消费者或者生产者对价格的变化非常敏感。当政府征税导致价格变化时,他们就会大幅度地减少购买量或者生产量。交易量萎缩得越厉害,那些原本可以实现的、对买卖双方都有好处的交易就消失得越多,因此,社会的总福利损失就越大。
- 弹性小,那么即使征税,交易量也不会减少太多,无谓损失就相应地小一些。
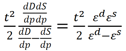
关于无谓损失的大小有一个计算公式如下,其传达的核心信息:无谓损失和税率的平方成正比。因此高税率对经济效率的损害非常大。

应该对缺乏弹性的行业征税
如果政府的目标是在筹集一定收入的同时,尽可能地减少对经济效率的损害(也就是让无谓损失最小化),那么政府就应该选择对那些需求和供给都相对缺乏弹性的商品征税。因为对这些商品征税,不会导致交易量的大幅减少,所以无谓损失会比较小。生活必需品、缺乏替代品的药品等就属于这类商品。
税收收入的拉弗曲线
- 当税率从 0 开始逐渐提高时,一开始税收总收入是增加的。但是,提高税率会使得市场交易量减少(税基的缩小),并且税率越高,交易量减少得越厉害(无谓损失急剧增大)。当税率高到某一个点之后,继续提高税率对交易量的抑制作用,会超过税率提高本身带来的收入增加。这时候,政府的总税收收入反而会开始下降。
- 所以,拉弗曲线的形状像一个倒过来的 U 形。它给我们的启示是,过高的税率是得不偿失的,它不仅会严重损害经济效率,甚至可能无法达到增加财政收入的政策目的。
看不见的手和看得见的手
看不见的手
- 经济学之父亚当·斯密提出的一个经典比喻。它指的是,在市场经济中,每个参与者(无论是消费者还是生产者)都只是出于自身利益的考虑去进行交易。但是,市场本身就有一种神奇的力量,仿佛有一只"看不见的手",在引导这些追求个人利益的行为,最终却促成了一个对整个社会都有利的、有效率的结果。
- 市场均衡能实现总剩余最大化就是这种神奇力量的体现。在均衡状态下,资源被分配给了最珍视它们的消费者,也由成本最低的生产者来提供。整个社会的经济蛋糕做到了最大,这就是市场的效率。
- 但是这只"看不见的手"并不是万能的。在很多情况下,市场也会失灵,也就是我们所说的"市场失效现象"。下面是两个例子:
- 医疗服务:纯粹的市场化可能会导致很多问题。比如,病人相对于医生来说,信息是严重不足的,很难做出最优的决策。而且,很多医疗行为具有正外部性,比如接种疫苗不仅保护了自己,也保护了他人。如果完全靠市场,可能很多人就不会去接种,导致社会总体的健康水平下降。此外,从社会伦理的角度,通常认为获得基本的医疗服务是一种权利,而不是一种普通的商品,不能完全由支付能力来决定。
- 基础设施建设:比如公路、桥梁、路灯等。这些东西一旦建成,很难阻止某个人去使用它,也很难按照使用的次数去收费。私人公司如果投资建设,会发现很难收回成本并盈利。所以,纯粹依靠市场是无法提供充足的这类公共物品的。
看得见的手
- 市场失灵时就要"看得见的手",也就是政府,来进行干预和调控。除了弥补市场失灵,政府干预的另一个重要原因是为了社会公平。
- 市场追求的是效率,它能把蛋糕做到最大,但它并不保证这个蛋糕能被公平地分配。一个完全有效率的市场,可能会产生巨大的贫富差距。这个时候,政府就可能需要站出来,通过一些政策来调节收入分配。这通常意味着,政府需要通过牺牲一部分效率来换取更大程度的公平。这是一个非常重要的社会选择,在效率和公平之间做出权衡。
- 小汽车车牌案例:完全用市场来分配车牌在经济学上是最高效的,因为车牌被分配给了最愿意为它出钱的人。但社会可能会认为这不公平,因为它剥夺了中低收入群体拥有汽车的机会。所以,像北京这样的城市采取了摇号这种非市场的分配方式。摇号牺牲了效率(一个急需用车的人可能摇不到,一个不那么需要的人反而摇到了),但在很多人看来提供了一个更加公平的机会。
- 市场会自发地对政府的管制做出反应。实行价格上限,就会出现短缺、排队、甚至黑市交易。实行价格下限,就会出现过剩和浪费。因此政府的干预政策必须非常谨慎,要充分预料到市场可能会产生的各种连锁反应。