一.二叉排序树
二叉排序树的定义是任意一个父节点的值,大于其左子树节点的值,小于其右子树节点的值。
以下是两个例子:
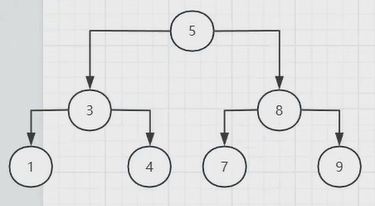
(1)数组:5,3,1,4,8,9,7
它的二叉排序树是这样的:

它的时间复杂度是O(logn)。
(2)数组:1,2,3
它的二叉排序树是这样的:

它的时间复杂度是O(n)。
由此可见,两种情况下的二叉排序树的时间复杂度不同,因此,二叉排序树是不稳定的。
当树的结构完全平衡时(如红黑树),节点数 n 与高度 h 的关系为h = logn 。此时核心操作的时间复杂度为 O(log n) ,这是二叉排序树的最优性能。
当节点按升序或降序插入时,二叉排序树会退化为一条单链(每个节点只有左子树或只有右子树)。此时树的高度h = n ,核心操作的时间复杂度退化为O(n)。
为了解决这种不平衡的现象,引入了一种更先进的树,名为平衡二叉树。
二.平衡二叉树
平衡二叉树在排序二叉树的基础上,要求左右子树高度差的绝对值不能超过 1(小于等于 1)。
如果这个树不平衡了,我们应该怎么调节?于是引入了4种平衡化调整策略。
(1)LL型
这是调节前的树:

这是调节后的树:

技巧:让不平衡节点朝着造成不平衡的节点走两步 ,盯着不平衡主链,让中间节点成为新的父节点,其余节点按照顺序进行插入。
(2)RR型
这是调节前的树:

这是调节后的树:

整体方法和LL型类似。
(3)LR型
这是调节前的树:

这是调节后的树:

技巧:
还是先让不平衡节点朝着造成不平衡的节点走两步,
然后盯着不平衡主链,采用两步旋转法:
第一步:后二整体旋转(把造成不平衡的点和它的父节点调换顺序,并变成LL/RR型)
第二步:采用LL/RR旋转
(4)RL型
这是调节前的树:

后二整体旋转之后的树:

这是调节后的树:

整体和LR型类似。
其实,平衡二叉树也是有缺点的,它过分追求时间复杂度的完美,导致旋转过程会消耗大量的计算机资源。
于是引入了一个性能更好的树,名为红黑树。
三.红黑树
在介绍红黑树之前,要先了解一下2-3-4树(4阶B树),因为2-3-4树与红黑树是等价的数据结构,它们之间可以相互转换。
(1)2-3-4树的特点与插入操作
2-3-4树每种节点的结构:

特性:每个节点的关键字都是有序排列的,且左子树的所有关键字小于根节点关键字,右子树的所有关键字大于根节点关键字。所有叶子节点都在同一层,保证了树的高度平衡。
插入操作:首先从根节点开始查找插入位置,找到合适的叶子节点后插入新关键字。如果插入后该节点的关键字数量超过 3 个 (即成为 4 - 节点),则需要进行分裂操作。将 4 - 节点中间的关键字提升到父节点,左右两边的关键字分别形成两个新节点。如果父节点也因此变得满了(成为 4 - 节点),则需要递归地对父节点进行分裂操作。
(2)2-3-4树到红黑树的转换
首先我们先了解一下2-3-4树与红黑树各种节点的对应样式:
下图是一个2-3-4树:

然后找到各节点对应的红黑树样式,2节点对应一个黑节点,3节点对应父节点是黑节点,下面接一个红结点,4节点对应父节点是黑节点,下面左右节点都是红结点。
调整好之后如下图所示:
(每个最下方的节点下面都有一个黑色的叶子结点,图中没有画出来)
(3)红黑树的特点
1.红黑树的节点颜色不是红色就是黑色的。
2.根节点一定是黑色的。
3.叶子节点也是黑色的(上面那张图每个最下方的节点下面都有一个黑色的叶子结点,图中没有画出来)。
4.如果一个节点是红色 的,那么他的子节点一定是黑色 的。
5.从根节点 出发到任意的一个叶子 节点,所走过的路径上黑色节点的数目是相同的。
从特点中还可以得出一个结论:红黑树当中最长的链条不会超过最短链条的 2 倍。
