数据结构
树
树的定义
树(Tree):n (n>=0)个结点构成的有限集合
当n=0时,称为 空树;
对于任意一棵非空树(n>0),它具备以下性质:
- 树中有一个称为"根(Root)"的特殊结点,用r表示;
- 其余结点可分为m (m>0)个互不相交的有限集 T 1 , T 2 , . . . T m T_1,T_2,... T_m T1,T2,...Tm,其中每个集合本身又是一棵树,称为原来树的"子树(SubTree)"


下图这些都不是树

子树是不相交的
除了根节点外,每个结点有且仅有一个父节点
一棵N个结点的树有N-1条边
树的基本术语
1.结点的度(Degree):结点的子树个数
2.树的度:树的所有结点中最大的度数
3.叶结点(Leaf):度为 0 的结点
4.父结点(Parent):在树结构中,若结点 u 有一个或多个子结点(Child),则称结点 u 为这些子结点的父结点
5.子结点(Child):若 A 结点是 B 结点的父结点,则称 B 结点是 A 结点的子结点;子结点也称孩子结点。
6.兄弟结点(Sibling):具有同一父结点的各结点彼此是兄弟结点
- 路径和路径长度:从结点 n 1 n_1 n1 到 n k n_k nk 的路径为一个结点序列 n 1 , n 2 , . . . . n k n_1,n_2,....n_k n1,n2,....nk 路径所包含边的个数为路径的长度
8.祖先结点(Ancestor):沿树根到某一结点路径上的所有结点都是这个结点的祖先结点
9.子孙结点(Descendant):某一结点的子树中的所有结点是这个结点的子孙
10.结点的层次(Level):规定根结点在 1 层,其它任一结点的层数是其父结点的层数加 1。
11.树的深度(Depth):树中所有结点中的最大层次是这棵树的深度。
注意:根节点没有父节点,叶子节点不可以作父节点
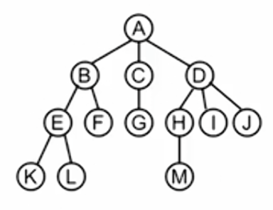
树的表示

用数组表示,不容易表示儿子和父亲这种关系
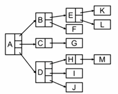
用链表表示,如下图

如果这个树的度为3
上图这种表示方式,需要空间为 3n。因为每个节点都需要3个指针,但实际只需要n+1个指针,因为只有n+1个边。这种浪费使得算法并不够好。
儿子兄弟表示法

第一个指针指向自己的第一个子节点,第二个指针指向自己的右侧兄弟节点。

儿子兄弟法,也就是二叉树的变相来源
二叉树
二叉树的定义
二叉树 T T T:一个有穷的结点集合
这个集合可以为空
如果不为空,则它由根节点和称为其左子树 T L T_L TL和右子树 T R T_R TR的两个不相交的二叉树组成
二叉树的五种基本形态

二叉树的子树有左右顺序之分,一般度为2的树都没有。
特殊二叉树

完美二叉树就是全满

完全二叉树:
除最后一层外,其余各层的结点数都达到最大;
且最后一层的结点从左到右依次连续排列,中间不能有空缺。

二叉树几个重要性质
一个二叉树第 i i i 层的最大结点数为: 2 i − 1 , i > = 1 2^{i-1}, i>=1 2i−1,i>=1
深度为 k k k的二叉树有最大结点总数为: 2 k − 1 , k > = 1 2^k-1,k>=1 2k−1,k>=1
因为 1 + 2 + 2 2 + 2 3 + . . . . + 2 k − 1 = 2 k − 1 1+2+2^2+2^3+....+2^{k-1}=2^k-1 1+2+22+23+....+2k−1=2k−1
对于任何非空二叉树T,若 n 0 n_0 n0表示叶节点的个数、 n 2 n_2 n2是度为2的非叶结点个数,那么两者满足关系 n 0 = n 2 + 1 n_0=n_2+1 n0=n2+1
计算过程:
结点数: n 0 + n 1 + n 2 n_0+n_1+n_2 n0+n1+n2
边数: n 1 + 2 ∗ n 2 n_1+2*n_2 n1+2∗n2
结点数 = 边数+1
=>
n 0 + n 1 + n 2 = n 1 + 2 ∗ n 2 + 1 n_0+n_1+n_2=n_1+2*n_2+1 n0+n1+n2=n1+2∗n2+1
=>
n 0 = n 2 + 1 n_0=n_2+1 n0=n2+1
二叉树的存储结构
顺序存储结构
完全二叉树:按从上到下、从左到右顺序存储n个结点的完全二叉树 的结点父子关系


非根结点(序号 i > 1)的父结点的序号是 ⌊ i / 2 ⌋ ⌊i / 2⌋ ⌊i/2⌋;
结点(序号为 i)的左孩子结点的序号是 2 i 2i 2i,(若 2 i ≤ n 2i ≤ n 2i≤n,否则没有左孩子);
结点(序号为 i)的右孩子结点的序号是 2 i + 1 2i + 1 2i+1,(若 2 i + 1 ≤ n 2i + 1 ≤ n 2i+1≤n,否则没有右孩子)。
一般的二叉树也可以采用这种存储方式,但会造成空间的浪费

链表存储结构
c
typedef struct TreeNode *BinTree;
typedef BinTree Position;
struct TreeNode{
ElementType Data;
BinTree Left;
BinTree Right;
}


二叉树的遍历
递归遍历(最常见)
先序遍历
本质使用递归
遍历过程:
1 ◯ \textcircled{1} 1◯ 访问根节点
2 ◯ \textcircled{2} 2◯先序遍历左子树
3 ◯ \textcircled{3} 3◯先序遍历右子树
c
void PreOrderTraversal (BinTree BT)
{
if(BT) {
printf("%d",BT->Data);
PreOrderTraversal(BT->Left);
PreOrderTraversal(BT->Right);
}
}

先序遍历结果:A B D F E C G H I
A ( B D F E ) ( C G H I )
中序遍历
本质使用递归
遍历过程:
1 ◯ \textcircled{1} 1◯中序遍历左子树
2 ◯ \textcircled{2} 2◯ 访问根节点
3 ◯ \textcircled{3} 3◯中序遍历右子树
c
void InOrderTraversal (BinTree BT)
{
if(BT) {
InOrderTraversal(BT->Left);
printf("%d",BT->Data);
InOrderTraversal(BT->Right);
}
}

中序遍历结果:D B E F A G H C I
( D B E F) A ( G H C I )
后序遍历
本质使用递归
遍历过程:
1 ◯ \textcircled{1} 1◯后序遍历左子树
2 ◯ \textcircled{2} 2◯后序遍历右子树
3 ◯ \textcircled{3} 3◯ 访问根节点
c
void PostOrderTraversal (BinTree BT)
{
if(BT) {
PostOrderTraversal(BT->Left);
PostOrderTraversal(BT->Right);
printf("%d",BT->Data);
}
}

后序遍历结果:D E F B H G I C A
( D E F B ) ( H G I C ) A
注意:先序、中序、后序遍历过程中,经过结点的路线是一样的,只是访问各个结点的时机不同。
非递归遍历(用栈)
非递归先序遍历
在非递归实现中,深度优先遍历与二叉树的先序遍历类似,其访问操作均发生在结点入栈(被发现)时。
c
void PreOrderTraversal( BinTree BT )
{
BinTree T = BT;
Stack S = CreatStack( MaxSize ); /* 创建并初始化堆栈 S */
while ( T || !IsEmpty(S) ) {
while ( T ) { /* 一直向左并将沿途结点压入堆栈 */
printf("%5d", T->Data); /* (访问)打印结点 */
Push(S, T);
T = T->Left;
}
if ( !IsEmpty(S) ) {
T = Pop(S); /* 结点弹出堆栈 */
T = T->Right; /* 转向右子树 */
}
}
}
非递归中序遍历
c
void InOrderTraversal( BinTree BT )
{
BinTree T = BT;
Stack S = CreatStack( MaxSize ); /* 创建并初始化堆栈 S */
while ( T || !IsEmpty(S) ) {
while ( T ) { /* 一直向左并将沿途结点压入堆栈 */
Push(S, T);
T = T->Left;
}
if ( !IsEmpty(S) ) {
T = Pop(S); /* 结点弹出堆栈 */
printf("%5d", T->Data); /* (访问)打印结点 */
T = T->Right; /* 转向右子树 */
}
}
}
非递归后序遍历
后序遍历(Postorder Traversal:左 → 右 → 根)是非递归遍历里最难的一种。
常用的两种方式,第一种是最常见的,一个栈 + 最近访问结点(最经典、最爱考)
核心思想:引入一个指针 BinTree lastVisited = NULL;, 用于判断:"右子树是否已经访问过"
算法规则
1.设当前结点为 T:一路向左入栈
2.查看栈顶结点:
如果右孩子存在 且没访问过 → 转向右子树
否则 → 访问该结点并出栈
3.更新 lastVisited
c
void PostOrder_OneStack(BinTree BT)
{
Stack S = CreateStack(MaxSize);
BinTree T = BT;
BinTree lastVisited = NULL;
while (T || !IsEmpty(S)) {
while (T) { // 一直向左
Push(S, T);
T = T->Left;
}
T = Peek(S); // 只看栈顶,不弹出
if (T->Right && lastVisited != T->Right) {
T = T->Right; // 转向右子树
} else {
Pop(S);
printf("%5d", T->Data); // 后序访问
lastVisited = T;
T = NULL; // 防止重复进入
}
}
}
还有一种方式,使用两个栈,会造成空间的浪费,这里不赘述。
二叉树的层序遍历
用队列
和广度优先遍历基本相同
二叉树的层序遍历(Level-order Traversal)本质上就是图的广度优先搜索(BFS)在树结构上的特例。