对前端开发者而言,学习算法绝非为了"炫技"。它是你从"页面构建者"迈向"复杂系统设计者"的关键阶梯。它将你的编码能力从"实现功能"提升到"设计优雅、高效解决方案"的层面。从现在开始,每天投入一小段时间,结合前端场景去理解和练习,你将会感受到自身技术视野和问题解决能力的质的飞跃。
------ 算法:资深前端开发者的进阶引擎
LeetCode 148. 排序链表:分治与指针操作
1. 题目描述
给你链表的头结点 head ,请将其按 升序 排列并返回 排序后的链表 。
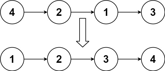
示例 1:

输入:head = [4,2,1,3]
输出:[1,2,3,4]
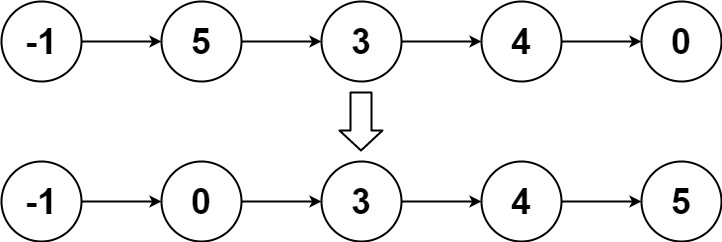
示例 2:

输入:head = [-1,5,3,4,0]
输出:[-1,0,3,4,5]
示例 3:
输入:head = []
输出:[]
进阶要求: 你可以在 O(n log n) 时间复杂度和 常数级空间复杂度 下,对链表进行排序吗?
2. 问题分析
- 数据结构 :题目处理的是单链表。与数组不同,链表在内存中非连续,无法像数组一样通过下标在O(1)时间内进行随机访问。这一特性直接影响排序算法的选择。
- 时间复杂度要求 :
O(n log n)。这提示我们,像冒泡排序、插入排序 等O(n^2)的算法不符合要求。符合此要求的经典算法有:归并排序、快速排序、堆排序。 - 空间复杂度要求 :常数级 O(1) 。这是一个关键约束。
- 递归实现的归并排序 :递归调用栈的深度为
O(log n),不满足常数空间。 - 快速排序 :递归实现同样有
O(log n)的栈空间开销。 - 堆排序:在链路上实现较为复杂。
- 递归实现的归并排序 :递归调用栈的深度为
- 解决方案 :为了满足
O(n log n)时间和O(1)空间,我们必须采用迭代、自底向上的归并排序。这是本题的最优解,也是考察的核心。
3. 解题思路
3.1 核心思想:自底向上的归并排序 (Bottom-Up Merge Sort)
为什么是归并排序?
归并排序是分治法 的典型应用。对于链表,其合并两个有序链表的操作可以在O(n)时间和O(1)空间内完成(只需要调整指针),这比数组归并需要额外空间更具优势。
如何满足O(1)空间?------ 迭代法
- 切分 (Split) :我们不再使用递归来切分链表,而是使用一个变量
subLength表示当前要归并的子链表长度,初始为1。 - 合并 (Merge) :
- 将链表分成若干段长度为
subLength的子链表。 - 将相邻的两个子链表进行合并(这是一个标准的"合并两个有序链表"问题)。
- 合并完成后,将
subLength加倍,重复上述过程,直到subLength大于或等于整个链表的长度。
- 将链表分成若干段长度为
关键步骤模拟 :
假设链表为 [4, 2, 1, 3]
subLength = 1: 链表视为[4], [2], [1], [3]-> 两两合并 ->[2,4], [1,3]subLength = 2: 链表视为[2,4], [1,3]-> 两两合并 ->[1,2,3,4]subLength = 4: 已排序完成。
3.2 实现细节
- 虚拟头结点 (dummyHead):用于简化链表头节点变化的边界情况处理。
- 切分函数 (
cut):从给定链表头开始,切下指定长度的子链表,并返回剩余部分的头节点。 - 合并函数 (
merge) :合并两个有序链表,返回新链表的头节点。这是LeetCode 21. 合并两个有序链表的直接应用。 - 主循环 :外层循环控制
subLength的增长,内层循环遍历整个链表,进行切分和合并操作。
复杂度分析:
- 时间复杂度:O(n log n) 。外层循环
O(log n)次,内层循环每次遍历整个链表O(n)。 - 空间复杂度:O(1)。只使用了固定的几个指针变量。
4. 各思路代码实现 (JavaScript)
4.1 最优解:迭代归并排序 (O(n log n), O(1))
javascript
/**
* Definition for singly-linked list.
* function ListNode(val, next) {
* this.val = (val===undefined ? 0 : val)
* this.next = (next===undefined ? null : next)
* }
*/
/**
* @param {ListNode} head
* @return {ListNode}
*/
var sortList = function(head) {
// 边界条件处理
if (!head || !head.next) return head;
// 1. 计算链表总长度
let length = 0;
let node = head;
while (node) {
length++;
node = node.next;
}
// 2. 创建虚拟头节点,指向原链表
const dummyHead = new ListNode(0, head);
// 3. 自底向上归并
for (let subLength = 1; subLength < length; subLength <<= 1) { // subLength 每次翻倍
let prev = dummyHead; // prev 用于连接合并好的子链表
let curr = dummyHead.next; // curr 是当前待处理部分的起点
while (curr) {
// 3.1 切分出第一个子链表 head1
let head1 = curr;
// 走 subLength - 1 步,找到 head1 的尾部
for (let i = 1; i < subLength && curr.next; i++) {
curr = curr.next;
}
// 3.2 切分出第二个子链表 head2
let head2 = curr.next;
curr.next = null; // 切断 head1 与后面的连接
curr = head2;
// 从 head2 开始,再走 subLength - 1 步,找到 head2 的尾部
for (let i = 1; i < subLength && curr && curr.next; i++) {
curr = curr.next;
}
// 3.3 记录剩余部分,并切断 head2 与后面的连接
let next = null;
if (curr) {
next = curr.next;
curr.next = null;
}
// 3.4 合并 head1 和 head2,并将结果连接到 prev 后面
const merged = mergeTwoLists(head1, head2);
prev.next = merged;
// 3.5 将 prev 移动到合并后链表的末尾,准备连接下一组合并结果
while (prev.next) {
prev = prev.next;
}
// 3.6 curr 移动到剩余部分,继续处理下一对子链表
curr = next;
}
}
return dummyHead.next;
};
/**
* 合并两个有序链表 (LeetCode 21)
* @param {ListNode} l1
* @param {ListNode} l2
* @return {ListNode}
*/
function mergeTwoLists(l1, l2) {
const dummy = new ListNode(0);
let cur = dummy;
while (l1 && l2) {
if (l1.val <= l2.val) {
cur.next = l1;
l1 = l1.next;
} else {
cur.next = l2;
l2 = l2.next;
}
cur = cur.next;
}
// 连接剩余部分
cur.next = l1 ? l1 : l2;
return dummy.next;
}
4.2 次优解:递归归并排序 (O(n log n), O(log n))
javascript
var sortList = function(head) {
// 递归终止条件
if (!head || !head.next) return head;
// 1. 使用快慢指针找到链表中点
let slow = head, fast = head.next;
while (fast && fast.next) {
slow = slow.next;
fast = fast.next.next;
}
// 2. 切断链表,分成左右两部分
const mid = slow.next;
slow.next = null;
// 3. 递归排序左右两部分
const left = sortList(head);
const right = sortList(mid);
// 4. 合并两个有序链表
return mergeTwoLists(left, right);
};
// mergeTwoLists 函数同上
4.3 简单解(不符合要求):转为数组排序 (O(n log n), O(n))
javascript
var sortList = function(head) {
if (!head) return null;
// 1. 链表转数组
const arr = [];
let curr = head;
while (curr) {
arr.push(curr.val);
curr = curr.next;
}
// 2. 数组排序
arr.sort((a, b) => a - b);
// 3. 数组转回链表
const dummy = new ListNode(0);
curr = dummy;
for (const val of arr) {
curr.next = new ListNode(val);
curr = curr.next;
}
return dummy.next;
};
5. 各实现思路的复杂度、优缺点对比
| 思路 | 时间复杂度 | 空间复杂度 | 优点 | 缺点 | 是否满足进阶要求 |
|---|---|---|---|---|---|
| 迭代归并排序 | O(n log n) | O(1) | 满足所有进阶要求;纯指针操作,空间效率极致 | 代码实现相对复杂,边界条件需仔细处理 | 是 |
| 递归归并排序 | O(n log n) | O(log n) | 代码清晰,易于理解和实现;分治思想的经典体现 | 递归调用栈消耗额外空间,不满足常数空间要求 | 否 |
| 转为数组排序 | O(n log n) | O(n) | 实现极其简单,快速;利用语言原生API | 需要额外O(n)空间存储数组和新建链表,破坏了原链表节点 | 否 |
6. 总结
6.1 技术要点回顾
- 链表特性 :无随机访问能力,
O(1)时间的插入/删除是其优势。排序算法需要适应这一特性。 - 归并排序的适应性:对于数据结构,归并排序的合并操作可以非常高效地通过改变指针来实现,无需像数组一样开辟新空间来存储中间结果。
- 双指针技巧 :
- 快慢指针:在递归法中用于高效找到链表中点。
- 指针操作 :在迭代法的
cut和merge过程中,对指针(next)的精确控制是正确实现的关键,也是前端开发者需要熟练掌握的核心技能之一。
- 虚拟头节点:一个极其有用的技巧,可以统一处理链表头节点可能发生变化的情况,简化代码逻辑。
6.2 在前端开发中的实际应用场景
虽然前端中直接操作链表排序的场景不多,但本题所锻炼的能力具有广泛的迁移价值:
- 复杂状态管理 :在大型前端应用(如使用Vuex、Redux)中,管理一条按时间、优先级排序的操作日志流 或消息列表,其底层优化思想与归并排序类似------将大规模数据分块处理再合并。
- 高性能列表渲染 :在实现虚拟滚动 或无限加载 列表时,数据可能是分页/分块到达的。你需要将新到达的有序数据块 与现有的有序列表 进行高效合并并更新DOM,这个过程就是
mergeTwoLists的变体。优化此合并过程能极大提升列表滚动的流畅度。 - 构建工具与数据处理:在编写Webpack插件、Babel插件或进行Node.js流式数据处理时,经常会遇到需要将多个有序序列(如源映射片段、日志事件)合并成一个有序序列的场景。
- 思维模式提升 :分治思想是解决复杂问题的利器。无论是前端的组件设计(将大组件拆分为可复用的小组件)、性能优化(将长任务分解为多个微任务),还是工程化中的任务拆分,其核心逻辑与归并排序一脉相承。