一、决策树
概念:决策树通过对训练样本的学习,并建立分类规则,然后依据分类规则,对新样本数据进行分类预测,属于有监督学习。
核心:所有数据从根节点一步一步落到叶子节点。
根节点:第一个节点
非叶子节点:中间节点
叶子节点:最终结果节点
例如

需要考虑的问题
1、哪个节点作为根节点?哪些节点作为中间节点?哪些节点作为叶子节点?
2、节点怎么分裂?
3、节点分裂标准的依据?
这个时候就要使用决策树的分类标准
1、决策树分类标准
1)ID3算法
衡量标准:
熵值:表示随机变量不确定性的度量,或者说是物体内部的混乱程度。
熵值计算公式:


2)C4.5
衡量标准:信息增益率
3)CART
衡量标准:基尼系数
2、决策树剪枝
1)为什么要剪枝?
防止过拟合
2)如何剪枝?
预剪枝和后剪枝
3)预剪枝策略:
1、限制树的深度;
2、限制叶子节点的个数以及叶子节点的样本数;
3、基尼系数
3、结合实例理解

一、ID3算法:
熵:熵值越小,该节点越"纯"。
第一遍遍历:
1)标签(结果是否外出打球)的熵(类别熵):
14天中,9天打球,5天不打球,熵为:

计算 对数的P ython程序 :
import math
result = -9/14*math.log(9/14, 2) - 5/14*math.log(5/14, 2)
2)基于天气的划分

属性熵:
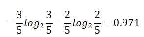
晴天【5天】的熵:

Overcast(阴天)【4天】的熵:

雨天【5天】的熵:

那么,天气对应标签结果的熵为:
熵值计算:

5/14*0.971+4/14*0+5/14*0.971=0.693
则 信息增益为: 0.940-0.693 =0.247
在决策树算法中,信息增益(information gain)是特征选择的一个重要指标。它描述的是一个特征能够为整个系统带来多少信息量(熵),用于度量信息不确定性减少的程度。
如果一个特征能够为系统带来最大的信息量,则该特征最重要,将会被选作划分数据集的特征。
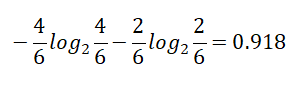
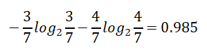
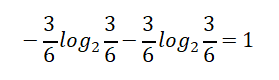
3)基于温度的划分

Hot【4天】的熵:

Mild【6天】的熵:

Cool【4天】的熵:

熵值计算:4/14*1+6/14*0.918+4/14*0.811=0.911
信息增益为:0.940 -- 0.911 = 0.029
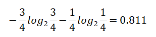
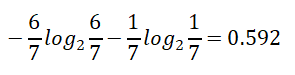
4)基于湿度的划分

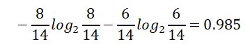
High【7天】的熵:

Normal【7天】的熵:

熵值计算:7/14*0.985+7/14*0.592=0.789
信息增益:0.940 -- 0.789 =0.151
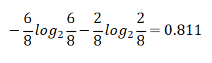
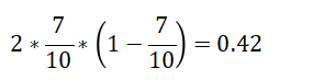
5)基于有风的划分

False【8天】的熵值:

True【6天】的熵值:

熵值计算:8/14*0.811 + 6/14*1 = 0.892
信息增益:0.940 - 0.892 = 0.048
综上:信息增益的大小:
天气:0.247
温度:0.029
湿度:0.151
有风:0.048
显然,信息增益最大的是: 天气 > 湿度 > 有风 > 温度

二 、 C4.5算法(解决稀疏向量的问题,例如编号)

C4.5算法是一种决策树生成算法,它使用信息增益比(gain ratio)来选择最优分裂属性,具体步骤如下:
1、计算所有样本的类别熵(H)。
2、对于每一个属性,计算该属性的熵【也为自身熵】(Hi)。
3、对于每一个属性,计算该属性对于分类所能够带来的信息增益(Gi = H - Hi)。
4、计算每个属性的信息增益比(gain ratio = Gi / Hi),即信息增益与类别自身熵的比值。
选择具有最大信息增益比的属性作为分裂属性。
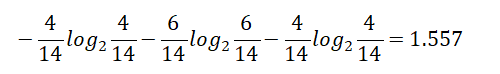
第一遍计算: 【找 首要节点】
1.天气的信息增益为:
0.247,
天气的自身熵值:

5天晴天、4天多云、5天有雨。
信息增益率:0.247/1.577 = 0.1566
2.温度的自身熵值:

信息增益率:0.029/1.557 = 0.0186
3.湿度的自身熵值:

信息增益率:0.151/1.0 = 0.151
4.有风的自身熵值:

信息增益率:0.048/0.985 = 0.049
信息增益率排序:天气(0.1566)湿度(0.151)有风(0.049) 温度(0.0186)
天气 >湿度>有风>温度
三、CART决策树
用Gini指数最小化准则来进行特征选择。
基于基尼(GINI)指数


例:


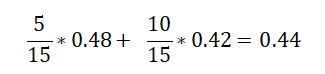
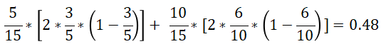
特征A1(年龄)的基尼系数:


青年(5人,2人贷款)的基尼系数:

如果是类别是二分类,则 基尼系数:

非青年(10人,7人贷款)的基尼系数:

在A1=1(青年)条件下,D的基尼指数:

总公式:

在A1=2(中年)条件下,D的基尼指数:

在A1=3条件下,D的基尼:




4、sklearn库中决策树参数问题(分类)
class sklearn.tree.DecisionTreeClassifier (criterion='gini' , splitter='best' , max_depth=None , min_samples_split=2 , min_samples_leaf=1 , min_weight_fraction_leaf=0.0 , max_features=None , random_state=None , max_leaf_nodes=None , min_impurity_decrease=0.0 , min_impurity_split=None , class_weight=None , presort=False)
树模型参数:
- 1.criterion :gini or entropy 【采用 基尼系数还是熵值衡量 ,默认 基尼系数 】
- 2.splitter: best or random 前者是在所有特征中找最好的切分点 后者是在部分特征中(数据量大的时候)【默认 best , 无需更改 】
- 3.max_features: (表示寻找最优分裂时需要考虑的特征数量,默认为None,表示考虑所有特征。),log2,sqrt,N 特征小于50的时候一般使用所有的 【默认 取所有特征,无需更改 】
- 4.max_depth: **表示树的最大深度,**数据少或者特征少的时候可以不管这个值,如果模型样本量多,特征也多的情况下,可以尝试限制下。如果没有设置,那么将会把节点完全展开,直到所有的叶子节点都是纯的,或者达到最小叶子节点的个数阈值设置。
5.min_samples_split : (表示分裂一个内部节点需要的最小样本数,默认为2),如果某节点的样本数少于min_samples_split,则不会继续再尝试选择最优特征来进行划分,如果样本量不大,不需要管这个值。如果样本量数量级非常大,则推荐增大这个值。【控制内部 节点分裂的情况 ;假设<10, 那么分裂的数量小于 10就不会再次 分裂了 , 默认2个 】
5、电信客户流失数据案例
通过网盘分享的文件:电信客户流失数据.xlsx
链接: https://pan.baidu.com/s/19F-i3EHXrUvaCoxu54lJ1A 提取码: ym8t
python
import pandas as pd
import numpy as np
import matplotlib.pyplot as plt
from pylab import matplotlib
matplotlib.rcParams['font.sans-serif']=['Microsoft YaHei']
matplotlib.rcParams['axes.unicode_minus']=False
# 可视化混淆矩阵
def cm_plot(y, yp):
from sklearn.metrics import confusion_matrix
import matplotlib.pyplot as plt
cm = confusion_matrix(y, yp)
plt.matshow(cm, cmap=plt.cm.Blues)
plt.colorbar()
for x in range(len(cm)):
for y in range(len(cm)):
plt.annotate(cm[x, y], xy=(y, x), horizontalalignment='center',
verticalalignment='center')
plt.ylabel('True label')
plt.xlabel('Predicted label')
return plt
# 导入数据
datas = pd.read_excel("电信客户流失数据.xlsx")
# 将变量与结果划分开
x = datas.iloc[:, :-1] # 1、datas.年龄 datas[年龄] datas.iloc[ : , :-1]
y = datas.iloc[:, -1] #
# 划分数据集
"""
导入模块对数据进行划分;
"""
from sklearn.model_selection import train_test_split
x_train, x_test, y_train, y_test =train_test_split(x,y, test_size=0.2, random_state=50)
'''交叉验证'''
from sklearn import tree
from sklearn.model_selection import cross_val_score
scores=[]
max=[1,2,3,4,5,6,7,8,9,10,11,12,13,14,15]
for i in max:
lr=tree.DecisionTreeClassifier(criterion='gini', max_depth=i, random_state=50)
score=cross_val_score(lr,x_train,y_train,cv=8,scoring='recall')
score_mean=sum(score)/len(score)
scores.append(score_mean)
print(score_mean)
best=max[np.argmax(scores)]
# 定义决策树
from sklearn import tree
dtr = tree.DecisionTreeClassifier(criterion='gini', max_depth=5, random_state=50)
dtr.fit(x_train, y_train)
"""
训练集混淆矩阵
"""
# 训练集预测值
train_predicted = dtr.predict(x_train)
from sklearn import metrics
# 绘制混淆矩阵
print(metrics.classification_report(y_train, train_predicted))
# 可视化混淆矩阵
cm_plot(y_train, train_predicted).show()
"""
测试集混淆矩阵
"""
# 测试集预测值
test_predicted = dtr.predict(x_test) # 直接得到预测的结果
# 绘制混淆矩阵
print(metrics.classification_report(y_test, test_predicted))
# 可视化混淆矩阵
cm_plot(y_test, test_predicted).show()
# 对决策树测试集进行评分
dtr.score(x_test, y_test)
'''绘制决策树'''
import matplotlib.pyplot as plt
from sklearn.tree import plot_tree
fig,ax=plt.subplots(figsize=(30,30))
plot_tree(dtr,filled=True,ax=ax)
plt.show()




6、性能评判AUC
在机器学习中,性能测量是一项基本任务。因此,当涉及到分类问题时,我们可以依靠AUC - ROC曲线。当我们需要检查或可视化多类分类问题的性能时,我们使用AUC(曲线下面积)ROC(接收器工作特性)曲线。它是检查任何分类模型性能的最重要评估指标之一。
AUC - ROC 曲线是各种阈值设置下分类问题的性能度量。

1)AUC的含义
AUC是衡量学习器优劣的一种性能指标。从定义可知,AUC可通过对ROC曲线下各部分的面积求和而得。AUC越大,说明模型对正负样本的区分能力越强,模型的性能也就越好。
2)AUC的优点
AUC考虑了分类器对于正例和负例的分类能力,在样本不平衡的情况下,依然能够对分类器作出合理的评价。它不受样本不平衡问题的影响,因此是一个相对稳健的评价指标。
python
'''AUC值的计算'''
y_pred_proba = dtr.predict_proba(x_test)
a = y_pred_proba[:, 1]
auc_result = metrics.roc_auc_score(y_test, a)
'''绘制AUC-ROC曲线'''
import matplotlib.pyplot as plt
from sklearn.metrics import roc_curve#得到不同阈值的roc
# 计算ROC曲线的点
fpr, tpr, thresholds = roc_curve(y_test, a)#用来计算不同阈值下的fpr和tpr,
# 绘制ROC曲线
plt.figure()
plt.plot(fpr, tpr, color='r', lw=2, label='ROC curve(area=%0.2f)'% auc_result)
plt.plot([0, 1], [0, 1], color='b', lw=2, linestyle='--')#函数来绘制一条从点 (0,0) 到点 (1,1) 的线段。
plt.xlim([0.0, 1.0])
plt.ylim([0.0, 1.1])
plt.xlabel('假正率')
# plt.xlabel('False Positive Rate')
plt.ylabel('真正率')
# plt.ylabel('True Positive Rate')
plt.title('Receiver Operating Characteristic')
plt.legend()
plt.show()

注:这里我用的标签有中文,这是因为我在前面的案例中使用了下面代码
python
from pylab import matplotlib
matplotlib.rcParams['font.sans-serif']=['Microsoft YaHei']
matplotlib.rcParams['axes.unicode_minus']=False
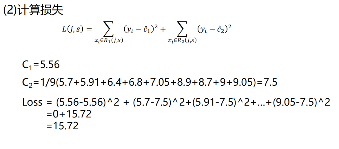
7、决策树之回归树
何为回归树?
解决回归问题的决策树模型即为回归树。
特点:
必须是二叉树
1)决策数之回归树模型










8、sklearn库中决策树之回归树参数问题
class sklearn.tree.DecisionTreeRegressor (criterion='mse' , splitter='best' , max_depth=None , min_samples_split=2 , min_samples_leaf=1 , min_weight_fraction_leaf=0.0 , max_features=None , random_state=None , max_leaf_nodes=None , min_impurity_decrease=0.0 , min_impurity_split=None , presort=False )[source]
1.criterion:节点分裂依据。默认:mse
可选择·mae(平均绝对误差)->使用绝对值

【按默认选择mse即可】
2.splitter:默认best,表示以最优的方式切分节点。决定了树构建过程中的节点分裂策略。值为'best',意味着在每个节点上,算法会找出最好的分割点来尽量降低信息熵或者减少均方误差。如果设置为'random',则算法会随机选择一个特征进行分裂。
【按默认选择best即可】
3.max_depth:树的最大深度。过深的树可能导致过拟合。
【通过交叉验证来进行选择】
4.min_samples_split :默认值是2. 分裂一个内部节点需要的最小样本数,
【含义与分类相同】
5.min_samples_leaf : 默认值是1,叶子节点最少样本数
【含义与分类相同】
6.max_leaf_nodes :设置最多的叶子节点个数,达到要求就停止分裂【控制过拟合】
【设置此参数之后max_depth失效】★重要
一些方法:
- apply : 返回预测每个样本的叶子的索引
- decision_path: 返回树中的决策路径
- get_depth: 获取树的深度
- get_n_leaves: 获取树的叶子节点数
- get_params: 获取此估计器的参数,即前面配置的全部参数信息
- score: 得到决策树的评判标准R2