目录
[1. 概要](#1. 概要)
[2. SHA256](#2. SHA256)
[2.1 SHA256简介](#2.1 SHA256简介)
[2.2 SHA256原理详解](#2.2 SHA256原理详解)
[2.2.1 预处理](#2.2.1 预处理)
[2.2.2 消息分块:把输入分成512位的块](#2.2.2 消息分块:把输入分成512位的块)
[2.2.3. 设置初始值: 哈希值](#2.2.3. 设置初始值: 哈希值)
[2.2.4 64个常量](#2.2.4 64个常量)
[2.2.5 逻辑运算](#2.2.5 逻辑运算)
1. 概要
1.定义:
Hash函数将长度可变的数据块M作为输入,产生固定长度的Hash值h=H(M)。
2.特征:
(1)可变长度输入,固定长度输出;
(2)不可逆;
(3)小概率发生碰撞,只能减少碰撞概率,无法避免碰撞;
3.应用:
(1)消息认证;
(2)数字签名;
(3)登陆认证;
(4)入侵检测和病毒检测;
(5)构建伪随机函数和作为伪随机数发生器;
4.密码学Hash函数的安全性需求:
(1)固定长度输入,可变长度输出;
(2)效率高:哈希过程简单;
(3)不可逆;
(4)伪随机性:输出
(5)抗弱碰撞性:对给定的x,找到满足H(x)=H(y)且x≠y在计算上是不可行的;
(6)抗强碰撞性:找到任何满足H(x)=H(y)的数对(x,y)计算上是不可行的;
(5)和(6)可以理解为哈希函数碰撞是小概率事件。
主要有如下哈希算法:
SHA-1、SHA-2和SHA-3是美国国家标准与技术研究所(NIST)发布的安全散列算法家族,用于生成固定长度的哈希值,常用于数据完整性验证和密码学应用。以下是它们的简要介绍:
- SHA-1:由美国国家安全局(NSA)设计,于1995年发布。它生成160位(20字节)的哈希值,呈现为40个十六进制数。但SHA-1已被证明存在安全隐患,2017年被正式攻破,不推荐用于安全敏感场景。12
- SHA-2:这是SHA-1的继任者,于2002年发布,包括SHA-224、SHA-256、SHA-384和SHA-512等变体。SHA-256是其中最常用版本,生成256位哈希值。SHA-2算法目前应用广泛且相对安全,其设计通过消息分块、预处理和迭代压缩函数来增强抗碰撞性。23
- SHA-3:作为SHA-2的补充,SHA-3于2015年发布,基于不同的内部结构(海绵构造),提供与SHA-2类似的安全性。它包括SHA3-224、SHA3-256、SHA3-384和SHA3-512等变体。尽管SHA-3在理论上更抗量子计算攻击,但实际应用较少,尚未成为主流。
今天,这篇文章主要讲解SHA256的算法实现
2. SHA256
2.1 SHA256简介
SHA256是SHA-2下细分出的一种算法
SHA-2,名称来自于安全散列算法2(英语:Secure Hash Algorithm 2)的缩写,一种密码散列函数算法标准,由美国国家安全局研发,属于SHA算法之一,是SHA-1的后继者。
SHA-2下又可再分为六个不同的算法标准
包括了:SHA-224、SHA-256、SHA-384、SHA-512、SHA-512/224、SHA-512/256。
这些变体除了生成摘要的长度 、循环运行的次数等一些微小差异外,算法的基本结构是一致的。
回到SHA256上,说白了,它就是一个哈希函数。
哈希函数,又称散列算法,是一种从任何一种数据中创建小的数字"指纹"的方法。散列函数把消息或数据压缩成摘要,使得数据量变小,将数据的格式固定下来。该函数将数据打乱混合,重新创建一个叫做散列值(或哈希值)的指纹。散列值通常用一个短的随机字母和数字组成的字符串来代表。
对于任意长度的消息,SHA256都会产生一个256bit长的哈希值,称作消息摘要。
这个摘要相当于是个长度为32个字节的数组,通常用一个长度为64的十六进制字符串来表示
来看一个例子:
干他100天成为区块链程序员,红军大叔带领着我们,fighting!
这句话,经过哈希函数SHA256后得到的哈希值为:
A7FCFC6B5269BDCCE571798D618EA219A68B96CB87A0E21080C2E758D23E4CE9
这里找到了一个SHA256在线验证工具,可以用来进行SHA256哈希结果的验证,后面也可以用来检验自己的SHA256代码是否正确。用起来很方便,不妨感受下。
2.2 SHA256原理详解
以输入"**RedBlockBlue"**为例,它对应的二进制码是:


2.2.1 预处理
- 我们需要的输入是 512 的倍数
目前的长度是96bit,所以我们向上取整到最接近的整数:512bit
在输入末尾添加一个1,然后不停添加0,直到距离512的倍数还差64bit: 512-448=64
剩下的64bit,用原始输入长度编码为64位二进制
举个栗子:


回到我们的例子中
"**RedBlockBlue"**的二进制码是:

填充好是


2.2.2 消息分块:把输入分成 512 位的块
因为在我们的例子中输入只有512位,所以我们只有一个块
把512位的块分成16个32位的字

2.2.3. 设置初始值: 哈希值
总共有八个,每个哈希值32bits,也就是总共256bits

这些数字从何而来呢?
取前8个质数(2,3,5,7,11,13,17,19)的平方根的小数部分的前32bits
第一个质数是2,它的平方根是

取它的小数部分

将其转换为二进制

2.2.4 64个常量
在SHA256算法中,用到的64个常量如下

和8个哈希初值类似,这些常量是对自然数中前64个质数(2,3,5,7,11,13,17,19,23,29,31,37,41,43,47,53,59,61,67,71,73,79,83,89,97...)的立方根的小数部分取前32bit而来

2.2.5 逻辑运算


W0到W15,

W16到W63,由以下工时迭代计算得出



假设x值如下:

首先对x进行循环右移7位


对x进行循环右移18位


对x进行右移3位

最后"异或"算法:







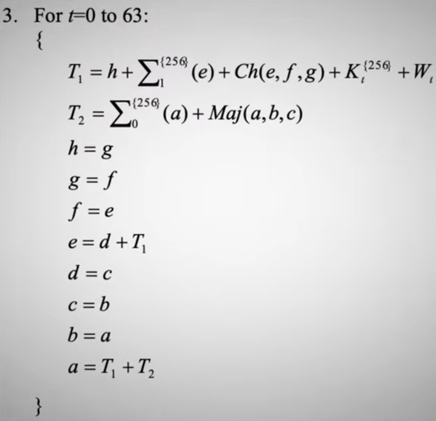
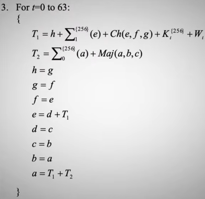
初始化a到h为H0到H7






0选择g,1选择f:

abc中大多数是什么值:




运行完这个loop, 更新a~h值


然后更新H的值



因为我们的N=1所以最终结果就是现在这些

把所有32位的H合并成256位,就是最终我们例子"**RedBlockBlue"**的SHA256的值了