669.修剪二叉搜索树
给你二叉搜索树的根节点 root ,同时给定最小边界low 和最大边界 high。通过修剪二叉搜索树,使得所有节点的值在[low, high]中。修剪树 不应该 改变保留在树中的元素的相对结构 (即,如果没有被移除,原有的父代子代关系都应当保留)。 可以证明,存在 唯一的答案 。
所以结果应当返回修剪好的二叉搜索树的新的根节点。注意,根节点可能会根据给定的边界发生改变。
示例 1:

输入:root = [1,0,2], low = 1, high = 2
输出:[1,null,2]
示例 2:

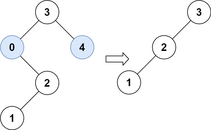
输入:root = [3,0,4,null,2,null,null,1], low = 1, high = 3
输出:[3,2,null,1]
提示:
- 树中节点数在范围
[1, 104]内 0 <= Node.val <= 104- 树中每个节点的值都是 唯一 的
- 题目数据保证输入是一棵有效的二叉搜索树
0 <= low <= high <= 104
对根结点 root 进行递归。对于当前的结点,如果结点为空结点,直接返回空结点;如果结点的值小于 low,那么说明该结点及它的左子树都不符合要求,我们返回对它的右结点进行修剪后的结果;如果结点的值大于 high,那么说明该结点及它的右子树都不符合要求,我们返回对它的左子树进行修剪后的结果;如果结点的值位于区间 [low,high],我们将结点的左结点设为对它的左子树修剪后的结果,右结点设为对它的右子树进行修剪后的结果
java
public static void main(String[] args) { // 测试用
TreeNode treeNode1 = new TreeNode(1);
// treeNode1.left = new TreeNode(0);
treeNode1.right = new TreeNode(2);
// treeNode1.left.right = new TreeNode(2);
// treeNode1.left.right.left = new TreeNode(1);
System.out.println(trimBST(treeNode1, 2, 4));
}
public static TreeNode trimBST(TreeNode root, int low, int high) {
if (root == null) {
return null;
}
if (root.val < low) {
return trimBST(root.right, low, high);
} else if (root.val > high) {
return trimBST(root.left, low, high);
} else {
root.left = trimBST(root.left, low, high);
root.right = trimBST(root.right, low, high);
return root;
}
}
以上为记录分享用,代码较差请见谅