
本文章知识来源于《深度学习入门》 (鱼书),特此声明。可以当做读数笔记来进行阅读。
一、什么是神经网络?(Neural Network)
灵感来自人脑,脑由 billions(上百亿)个神经元组成,它们通过突触互相连接,传递信号。
当你看到一只猫,大脑的视觉神经元会一层层处理:从边缘 → 形状 → 耳朵/眼睛 → "这是一只猫!"
人工神经网络就是模仿这个过程的数学模型。
下图中,左侧为生物神经网络,右侧为人工神经网络

神经网络的比喻:
假设你在开一家天气预测工厂:
- 输入:今天的湿度、温度、风速(这些是"原料")
- 工人:每一层神经元就像一排工人,他们用"加权公式"(比如:3×温度 + 2×湿度)算出一个中间判断
- 激活函数:每个工人下班前会拍一下"决策按钮"------比如只有当数值>0才说"要下雨!"(这就是ReLU)
- 输出:最后一排工人投票,决定"晴天/雨天"
- 训练 :如果预测错了,就回溯每个工人的"权重",微调一点点(这就是反向传播)

神经网络的形状类似上一章的感知机。实际上,就神经元的连接方式而言,与上一章的感知机并没有任何差异。
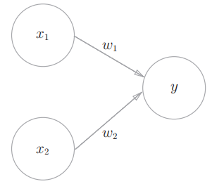
2.1 感知机

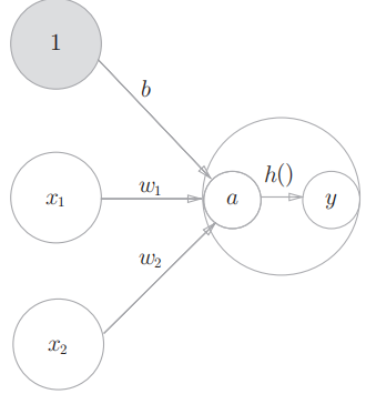
感知机接收_x_1和_x_2两个输入信号,输出_y,_果用数学式来表示图中的感知机:

- _b_是被称为偏置的参数,用于控制神经元被激活的容易程度;
- 而_w_1和_w_2 是表示各个信号的权重的参数,用于控制各个信号的重要性。
将上面的数学式写的更简洁一点,即引入新函数 h(x):
输入信号的总和会被函数_h_(x)转换,转换后的值就是输出_y_



2.2 激活函数
h (x)函数会将输入信号的总和转换为输出信号,这种函数 一般称为激活函数(activation function)。如"激活"一词所示,激活函数的 作用在于决定如何来激活输入信号的总和。
shell
# 计算加权输入信号和编制的总和
a=b+w1*x1+w2*x2
# 用h()函数将a转换为输出y
y=h(a)

激活函数以阈值为界,一旦输入超过阈值,就切换输出。 这样的函数称为"阶跃函数"。
如果将激活函数从阶跃函数换成其他函数,就可以进入神经网络的世界了
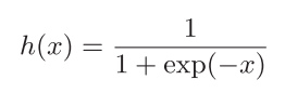
2.2.1 sigmoid函数
神经网络中经常使用的一个激活函数就是式表示的sigmoid函数 (sigmoid function):

神经网络中用sigmoid函数作为激活函数,进行信号的转换,转换后的信号被传送给下一个神经元。
2.2.2 对比阶跃函数
阶跃函数python实现:
python
def step_function(x):
if x>0:
return 1
else:
return 0
上面参数x 类型只能是浮点数,稍微修改一下让它能够支持NumPy数组:
python
def step_function(x):
"""
阶跃函数
:param x:
:return:
"""
return np.array(x > 0, dtype=np.int16)
def plot_step_function(gs):
"""
绘制阶跃函数
"""
ax = fig.add_subplot(gs[0, 0])
x=np.arange(-6, 6, 0.1)
y = step_function(x)
ax.plot(x, y, 'b-', linewidth=2, label='y = step_function(x)')
# 是matplotlib中用于绘制水平线的方法
# y=0: 水平线的y坐标位置,在这里是在y=0的位置,即x轴位置
# color='k': 线条颜色,'k'表示黑色(black)
# linewidth=0.5: 线条宽度为0.5个像素
# alpha=0.5: 线条透明度,0.5表示半透明
ax.axhline(y=0, color='k', linewidth=0.5, alpha=0.5)
ax.axvline(x=0, color='k', linewidth=0.5, alpha=0.5)
# 标题
ax.set_title('阶跃函数', fontsize=14, fontweight='bold')
ax.set_xlabel('x')
ax.set_ylabel('y')
ax.set_xlim(-5, 5)
ax.set_ylim(-2, 2)
# 为图表添加网格线:
ax.grid(True, alpha=0.3)
# 显示图例,用于标识图表中的不同数据系列 指定图例显示在图表的左上角位置
ax.legend(loc='upper left')
# 设置坐标轴的纵横比 'equal' 表示x轴和y轴的比例相等,即单位长度相同
# adjustable='box' 表示通过调整坐标轴的边界框来保持比例
ax.set_aspect('equal', adjustable='box')
python
def sigmoid_function(x):
"""
Sigmoid 激活函数
:param x:
:return:
"""
return 1 / (1 + np.exp(-x))
def plot_sigmoid_function(gs):
"""
绘制Sigmoid 激活函数
"""
ax = fig.add_subplot(gs[1, 0])
x=np.arange(-6, 6, 0.1)
y = sigmoid_function(x)
ax.plot(x, y, 'r-', linewidth=2, label='y = sigmoid_function(x)')
ax.axhline(y=0, color='k', linewidth=0.5, alpha=0.5)
ax.axvline(x=0, color='k', linewidth=0.5, alpha=0.5)
# 标题
ax.set_title('Sigmoid 激活函数', fontsize=14, fontweight='bold')
ax.set_xlabel('x')
ax.set_ylabel('y')
ax.set_xlim(-5, 5)
ax.set_ylim(-2, 2)
# 为图表添加网格线:
ax.grid(True, alpha=0.3)
# 显示图例,用于标识图表中的不同数据系列 指定图例显示在图表的左上角位置
ax.legend(loc='upper left')
# 设置坐标轴的纵横比 'equal' 表示x轴和y轴的比例相等,即单位长度相同
# adjustable='box' 表示通过调整坐标轴的边界框来保持比例
ax.set_aspect('equal', adjustable='box')
python
if __name__ == '__main__':
# 创建一个绘图窗口, 宽 15英寸,高 10 英寸
fig = plt.figure(figsize=(15, 10))
# 顶部绘制文字,18号,加粗
fig.suptitle('阶跃函数与sigmoid 函数', fontsize=18, fontweight='bold')
# 使用GridSpec创建1x2的子图布局
gs = gridspec.GridSpec(2, 1, figure=fig)
plot_step_function(gs)
plot_sigmoid_function(gs)
# 调整子图间距
# rect=[0, 0, 1, 0.96] 定义了子图布局的矩形区域:
# [左, 下, 右, 上] 分别对应矩形区域的边界
# 0, 0 表示左侧和底部从0开始
# 1, 0.96 表示右侧到1结束,顶部到0.96结束
plt.tight_layout(rect=[0, 0, 1, 0.96])
plt.show()

现在我们来比较一下sigmoid 函数和阶跃函数.
- 是"平滑性"的不同。sigmoid函数是一条平滑的曲线,输出随着输入发生连续性的变化。而阶跃函数以0为界,输出发生急剧性的变化。
- 于阶跃函数只能返回0或1,sigmoid函数可以返回0_.731 ...、0._880 _..._等实数(这一点和刚才的平滑性有关)。。也就是说,感 知机中神经元之间流动的是0或1的二元信号,而神经网络中流动的是连续的实数值信号。
- 下阶跃函数和sigmoid函数具有相似的形状,当输入信号为重要信息时, 阶跃函数和sigmoid函数都会输出较大的值;当输入信号为不重要的信息时, 两者都输出较小的值。还有一个共同点是,不管输入信号有多小,或者有多大,输出信号的值都在0到1之间。
- 两者均为非线性函数。sigmoid函数是一条曲线,阶跃函数是一条像阶梯一样的折线,两者都属于非线性的函数。神经网络的激活函数必须使用非线性函数。换句话说,激活函数不能使用线性函数。
函数本来是输入某个值后会返回一个值的转换器。向这个转换器输入某个值后,输出值是输入值的常数倍的函数称为线性函数(用数学式表示为_h_(x) = c_x_。c为常数)。因此,线性函数是一条笔直的直线。 而非线性函数,顾名思义,指的是不像线性函数那样呈现出一条直线的函数。
2.3 矩阵乘法

python
A=np.array([[1,2],[3,4]])
B=np.array([[5,6],[7,8]])
print(f'A.shape:{A.shape} B.shape:{B.shape}') # A.shape: (2, 2) B.shape: (2, 2)
C=np.dot(A,B)
print(f'C.shape:{C.shape}') # C.shape: (2, 2)
print(f'np.matmul:{C}') # np.matmul: [[19 22]
# [43 50]]
print(f'A*B:{A*B}') # A*B: [[ 5 12]
# [21 32]]
再比如 A: 32 矩阵, B: 24 矩阵相乘:
矩阵_A 的第1维的元素个数(列数)必须和矩阵 B 的第0维的元素个数(行数)相等。在上面的例子中,矩阵 **A **_的形状是3 _× 2,矩阵 B _的形状是2 _× 4,矩阵 A 的第1维的元素个数(2)和 矩阵 B_的第0维的元素个数(2)相等。如果这两个值不相等,则无法计算矩阵的乘积。


2.4 神经网络内积
下面我们使用NumPy矩阵来实现神经网络。

python
X=np.array([1,2])
W=np.array([[1,3,5],[2,4,6]])
print(f'X.shape:{X.shape} W.shape:{W.shape}') # X.shape: (2,) W.shape: (2, 3)
Y=np.dot(X,W)
print(f'Y.shape:{Y.shape} Y:{Y}') #Y.shape:(3,) Y:[ 5 11 17]
np.dot(多维数组的点积),可以一次性计算出_**Y **的结果。 这意味着,即便**Y **_的元素个数为100或1000,也可以通过一次运算就计算出 结果
2.5 三层神经网络实现

3层神经网络:
- 输入层(第0层): 2个神经元
- 第1层(第1个隐藏层): 3个神经元
- 第2层 (第2个隐藏层) : 2 个神经元
- 输出层(第3层): 2 个神经元
2.5.1 输入层到第1层的传递
python
# X是元素个数为2的一维数组
X=np.array([1.0,0.5])
# 输入是2个神经元,第1层是3个神经元,所以W1是2 × 3的数组
W1=np.array([[0.1,0.3,0.5],[0.2,0.4,0.6]])
# 第1层是3个神经元
B1=np.array([0.1,0.2,0.3])
print(f'X shape:{X.shape}') # X shape: (2,)
print(f'W1 shape:{W1.shape}') # W1 shape: (2, 3)
print(f'B1 shape:{B1.shape}') # B1 shape: (3,)
A1=np.dot(X,W1)+B1
print(f'A1 shape:{A1.shape} A1:{A1}') # A1 shape:(3,) A1:[0.3 0.7 1.1]
Z1=sigmoid(A1)
print(f'Z1 shape:{Z1.shape} Z1:{Z1}') # Z1 shape:(3,) Z1:[0.57444252 0.66818777 0.75026011]
2.5.2 第1层到第2层的传递
python
# 第1层是3个神经元,第2层是2个神经元,所以W2为 (3,2)
W2=np.array([[0.1,0.4],[0.2,0.5],[0.3,0.6]])
# 第2层是2个神经元
B2=np.array([0.1,0.2])
A2=np.dot(Z1,W2)+B2
Z2=sigmoid(A2)
2.5.3 第2层到第3层的传递
python
# 第2层是2个神经元,第3层是2个神经元,所以W3为 (2,2)
W3=np.array([[0.1,0.3],[0.2,0.4]])
# 第3层是2个神经元
B3=np.array([0.1,0.2])
A3=np.dot(Z2,W3)+B3
Z3=sigmoid(A3)
2.5.4 代码实现
将上面的代码进行整理:
- 初始化网络: 数会进行权重和偏置的初始化,并将它们保存在字典变量network中
python
def init_network():
network={} # 创建一个空字典
# 输入层有1个神经元, 第1层有3个神经元, 所以 w1为2×3的矩阵
network['W1']=np.array([[0.1,0.3,0.5],[0.2,0.4,0.6]])
# 第1层有3个神经元,所以 b1为(3,)的列表
network['b1']=np.array([0.1,0.2,0.3])
# 第1层有3个神经元,第2层有2个神经元, 所以 W2为3×2的矩阵
network['W2'] = np.array([[0.1, 0.4],[0.2,0.5], [0.3, 0.6]])
# 第2层有2个神经元
network['b2'] = np.array([0.1, 0.2])
# 第2层有2个神经元,第3层有2个神经元, 所以 W3为2×2的矩阵
network['W3'] = np.array([[0.1, 0.4],[0.2,0.4]])
# 第3层有2个神经元
network['b3'] = np.array([0.1, 0.2])
return network
- 信号向前传递
python
def identity_function(x):
return x
def forward(network,x):
W1,W2,W3=network['W1'],network['W2'],network['W3']
b1,b2,b3=network['b1'],network['b2'],network['b3']
A1=np.dot(x,W1)+b1
Z1=sigmoid(A1)
A2=np.dot(Z1,W2)+b2
Z2=sigmoid(A2)
A3=np.dot(Z2,W3)+b3
Y=identity_function(A3)
return Y
- 主函数
python
if __name__ == '__main__':
# 初始化网络
network=init_network()
x=np.array([1.0,0.5])
# 信号传递
y=forward(network,x)
print(y) # [0.31682708 0.75890403]
2.6 输出层设计
神经网络可以用在分类问题和回归问题上,不过需要根据情况改变输出层的激活函数。一般而言:
- 回归问题:用恒等函数。将输入按原样输出,对于输入的信息,不加以任何改动地直
接输出。
比如,根据一个人的图像预测这个人的体重的问题就是回归问题

- 分类问题:用softmax函数。是根据某个输入预测一个(连续的) 数值的问题。
比如,区分图像中的人是男性还是女性的问题就是分类问题.
softmax函数的作用是将向量 a=[a1,a2,...,an]a =[_a_1,_a_2,...,a__n] 转换为概率分布,
yk 表示第 k__个类别的概率。

exp(x )是表示e*x*_ _的指数函数(e是常数 2.7182...)
输出层共有 n个神经元,计算第k 个神经元的输出 yk
python
def softmax(a):
'''
假设 a =np.array([0.3,2.9,4.0])
:param a:
:return:
'''
# 分子:输入信号ak的指数函数
exp_a=np.exp(a) # [ 1.34985881 18.17414537 54.59815003]
# 分母: 输入信号指数函数的和
sum_exp_a=np.sum(exp_a) # 74.1221542102
y=exp_a/sum_exp_a # [ 0.01821127 0.24519181 0.73659691]
return y
softmax函数的实现中要进行指数函数的运算,但是此时指数函数的值很容易变得非常大。比如,e10的值
会超过20000,e100会变成一个后面有40多个0的超大值. 如果在这些超大值之间进行除法运算,结果会出现"不确定"的情况. 下面是改进的版本。
python
def softmax(a):
'''
假设 a =np.array([0.3,2.9,4.0])
:param a:
:return:
'''
c=np.max(a)
exp_a=np.exp(a-c) # 溢出对策
sum_exp_a=np.sum(exp_a)
y=exp_a/sum_exp_a # [ 0.01821127 0.24519181 0.73659691]
return y
softmax函数的输出是0_.0到1._0之间的实数。并且,softmax 函数的输出值的总和是1。输出总和为1是softmax函数的一个重要性质。正 因为有了这个性质,我们才可以把softmax函数的输出解释为"概率"。
输出层的神经元数量需要根据待解决的问题来决定。对于分类问题,输出层的神经元数量一般设定为类别的数量。比如识别手写数字:

二、什么是深度学习?(Deep Learning)
- 如果神经网络只有 1~2 个隐藏层,叫浅层网络
- 如果有 3 层或更多隐藏层 ,就叫深度神经网络(DNN) ,这种学习方法就叫 深度学习
"深度" = 网络层数多,能逐层提取更抽象的特征
识别一张猫的照片:
- 第1层:检测边缘(横线、竖线、曲线)
- 第2层:组合边缘 → 圆形(眼睛)、三角形(耳朵)
- 第3层:组合形状 → 脸部结构
- 第4层:识别出"这是猫的脸"
- 最后:输出"猫"的概率
深度学习是神经网络的一个子集,但因为效果太强,现在几乎成了主流。
三、三种神经网络模型
3.1 ANN(Artificial Neural Network)------人工神经网络
最基础的"大脑模型",就像人脑中有神经元互相连接,ANN 是由很多"人工神经元"组成的网络。
通常分为三层:
- 输入层(接收数据,比如一张图片的像素值)
- 隐藏层(中间处理信息,可以有多层)
- 输出层(给出结果,比如"这是猫"或"这是狗")
适合处理结构化数据 ,比如表格数据(房价预测、客户分类等),如果直接用 ANN 处理图像或语音,效果不好,因为没考虑数据的空间结构
3.2 CNN(Convolutional Neural Network)------卷积神经网络
门看"图像"的专家,用"小窗口"(叫卷积核)在图像上滑动,提取局部特征(比如边缘、纹理、形状)
- 第一层可能识别边缘
- 第二层组合边缘成简单形状(如圆形、角)
- 更深层能识别复杂物体(如眼睛、耳朵、整张脸)
它有三个关键操作:
- 卷积(Convolution):提取特征
- 池化(Pooling):压缩信息,保留重点(比如取最大值)
- 全连接层:最后做分类
CNN 像一个"显微镜+拼图高手",先看局部细节,再拼出整体含义。

3.3 RNN(Recurrent Neural Network)------循环神经网络
擅长处理"有顺序"的数据,有些数据是有时间顺序 或上下文依赖的,比如:
- 一句话:"我今天吃了一个 ___" → 下一个词很可能是"苹果"而不是"汽车"
- 股票价格、天气预测、语音信号......
它有一个"记忆"机制------当前输出不仅取决于当前输入,还记住之前的信息。想象一个神经元在时间上"循环使用自己",每次输入新数据时,都带着上次的记忆。
网络对比
| 模型 | 全称 | 擅长处理 | 核心思想 | 典型应用 |
|---|---|---|---|---|
| ANN | 人工神经网络 | 结构化数据(表格) | 多层神经元前向传播 | 房价预测、分类 |
| CNN | 卷积神经网络 | 图像、网格数据 | 局部感知 + 权重共享 | 图像识别、目标检测 |
| RNN | 循环神经网络 | 序列数据(文本、语音) | 带记忆的循环结构 | 翻译、聊天机器人 |