SIFT 算法
SIFT(Scale-Invariant Feature Transform,尺度不变特征变换)是一种经典的局部特征提取算法,由 David Lowe 提出。SIFT 的核心目标是从图像中提取对尺度、旋转、一定光照变化和仿射变换不敏感的特征点,并为每个特征点构建一个高区分度的描述子,用于图像匹配、目标识别、三维重建等任务。
完整的 SIFT 算法流程包括四个阶段:
- 尺度空间极值检测(DoG)
- 关键点精确定位
- 主方向分配
- 关键点描述子计算
SIFT 描述子的设计思想
SIFT 描述子的核心思想是:
用关键点邻域内的局部梯度方向分布来描述该特征点。
这样做的好处是:
- 梯度对光照变化不敏感(相比像素值)
- 使用方向直方图增强旋转不变性
- 空间分块增强区分性和鲁棒性
最终,每个 SIFT 描述子是一个 128 维向量。
描述子计算前的准备工作
1. 坐标与尺度归一化
对于每个关键点,已知其:
- 位置
(x, y) - 尺度
σ - 主方向
θ
在计算描述子前,需要将关键点邻域:
- 旋转到主方向对齐
- 按尺度 σ 进行归一化
这样可以保证描述子对旋转和尺度变化具有不变性。
2. 邻域窗口选择
SIFT 选择关键点周围一个 16×16 的采样区域(在尺度空间中),该区域会随着关键点尺度放大或缩小。
该区域并不是简单的像素块,而是一个连续空间中按高斯加权采样的区域。
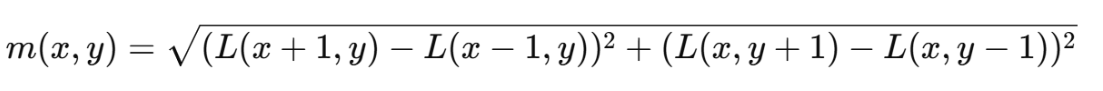
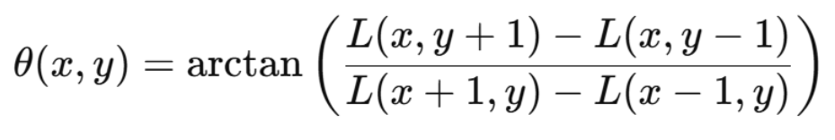
梯度计算
在关键点邻域内,对每个采样点计算:
-
梯度幅值

-
梯度方向

其中 L 表示高斯平滑后的图像。
在 OpenCV 中,这一步是在内部通过 Sobel 或差分方式完成的,对用户是透明的。
空间分块与方向直方图
1. 4×4 子区域划分
16×16 的邻域被划分为 4×4 个子区域,每个子区域大小约为 4×4 像素。
每个子区域单独统计梯度方向分布,这种设计兼顾了:
- 局部结构信息
- 空间布局信息
2. 8 个方向的梯度直方图
对每个子区域:
- 梯度方向被量化为 8 个方向区间(360° / 8 = 45°)
- 梯度幅值作为权重累加到对应方向
因此:
- 每个子区域 → 8 维向量
- 4×4 子区域 → 16 × 8 = 128 维
这正是 SIFT 描述子的维度来源。
高斯加权与插值
为了降低边缘噪声和量化误差,SIFT 在描述子计算中引入了两个重要机制:
1. 高斯权重
- 使用一个以关键点为中心的高斯函数
- 距离中心越远,权重越小
- 防止边缘像素对描述子产生过大影响
2. 三线性插值(Trilinear Interpolation)
OpenCV 的 SIFT 实现会在以下三个维度进行插值:
- 空间位置(x、y)
- 梯度方向
一个采样点的梯度能量会被分配到相邻的多个子区域和方向 bin中,从而减少量化误差,提高匹配稳定性。
描述子归一化与截断
1. L2 归一化
生成 128 维向量后,首先进行 L2 归一化:
d=d∣∣d∣∣2\mathbf{d} = \frac{\mathbf{d}}{||\mathbf{d}||_2}d=∣∣d∣∣2d
这样可以增强对整体光照变化的鲁棒性。
2. 截断(Clipping)
- 将向量中大于 0.2 的元素截断为 0.2
- 再次进行 L2 归一化
这一操作可以防止某些强梯度方向主导整个描述子,提高匹配泛化能力。
示例
python
import cv2
import numpy as np
# 1. 读取图像(灰度图)
img = cv2.imread("test.jpg", cv2.IMREAD_GRAYSCALE)
if img is None:
raise IOError("图像读取失败")
# 2. 创建 SIFT 对象
sift = cv2.SIFT_create(
nfeatures=0,
nOctaveLayers=3,
contrastThreshold=0.04,
edgeThreshold=10,
sigma=1.6
)
# 3. 检测关键点并计算描述子
keypoints, descriptors = sift.detectAndCompute(img, None)
print(f"关键点数量: {len(keypoints)}")
print(f"描述子形状: {descriptors.shape}") # (N, 128)
print(f"描述子类型: {descriptors.dtype}") # float32
# 4. 绘制关键点
img_kp = cv2.drawKeypoints(
img,
keypoints,
None,
flags=cv2.DRAW_MATCHES_FLAGS_DRAW_RICH_KEYPOINTS
)
cv2.imshow("SIFT Keypoints", img_kp)
cv2.waitKey(0)
cv2.destroyAllWindows()
总结
SIFT 描述子通过尺度归一化、方向对齐、空间分块和梯度方向统计,构建了一个高度稳定且区分性极强的 128 维特征向量。OpenCV 对 SIFT 的实现高度工程化,封装了复杂的数学细节,使其在计算机视觉领域长期占据重要地位。
尽管在实时性和计算成本上存在不足,但在对匹配精度和鲁棒性要求极高的场景中,SIFT 描述子仍然是一个标杆级算法。