计算图
BP算法是指计算神经网络参数梯度的方法,该方法根据微积分中的链式法则,按相反的顺序从输出层到输入层遍历网络。该算法存储了计算某些参数梯度时所需的任何中间变量




链式法则


反向传播
加法节点的反向传播(不变)

乘法节点的反向传播

激活层的反向传播与实现
ReLU的反向传播

from common.functions import *
# ReLU
class ReLu:
# 初始化
def __init__(self):
# 内部属性,记录哪些x<=0
self.mask=None # mask中存true or false
# 前向传播
def forward(self,x):
# 如果x是[-1, 0, 2],那么self.mask就是[True, True, False]
self.mask=(x<=0)
y=x.copy()
# 将y中所有对应掩码为True的位置(即x中小于等于0的位置)的值设置为0
y[self.mask]=0
return y
# 反向传播
# dy是上游传递过来的导数值,就是那个E
def backward(self,dy):
dx=dy.copy()
dx[self.mask]=0
return dx
Sigmoid的反向传播


# Sigmoid
class Sigmoid:
# 初始化
def __init__(self):
# 定义内部属性,记录输出值y,用于反向传播时计算梯度
self.y=None
# 前向传播
def forward(self,x):
y=sigmoid(x)
self.y=y
return y
# 反向传播
# dy是上游传递过来的导数值,就是那个E
def backward(self,dy):
dx=dy*self.y*(1.0-self.y)
return dx
Affine层的反向传播与实现


L对X求导:L损失函数是标量,Y形状是N*n,L对Y求导形状也是N*n,Y对X求导得W'(n*m),所以是右乘W'
L对W求导:L损失函数是标量,L对Y求导形状是N*n,Y对W求导X'的形状是(m*N),所以是左乘X'
# Affine 仿射层y=xw+b
class Affine:
# 初始化
def __init__(self,W,b):
self.W=W
self.b=b
# 对输入数据X做保存,方便反向传播计算梯度
self.X=None
self.original_x_shape=None
# 将权重和偏置参数的梯度(偏导数)保存成属性,方便梯度下降法计算
self.dW=None
self.db=None # 因为dx是反向传播的返回,所以初始化就不单独保存了
# 前向传播
def forward(self,X):
self.original_x_shape=X.shape
self.X=X.reshape(X.shape[0],-1)
y=np.dot(self.X,self.W)+self.b
return y
# 反向传播 dy-->E dX-->EW'
def backward(self,dy):
dX=np.dot(dy,self.W.T)
dX=dX.reshape(*self.original_x_shape)
self.dW=np.dot(self.X.T,dy)
self.db=np.sum(dy,axis=0)
return dX
输出层的反向传播与实现



y^-->y 预测值
y-->t 真实值
# 输出层
class SoftmaxWithLoss:
def __init__(self):
self.loss=None
self.y=None # 预测值
self.t=None # 真实值
# 前向传播
def forward(self,X,t):
self.t=t
self.y=softmax(X)
self.loss=cross_entropy(self.y,self.t)
return self.loss
# 反向传播 dy=dl/dy
def backward(self,dy=1):
n=self.t.shape[0] # 数据个数
# 如果是独热编码标签,就直接带入公式计算
if self.t.size==self.y.size:
dx=self.y-self.t # y是n个数据,每个数据m个概率值 t是0101...
# 如果是顺序编码的标签,就需要找到分类号对应的值,然后相减
else:
dx=self.y.copy()
dx[np.arange(n),self.t]-=1 # 花式(列表)索引
return dx/n # 前面的loss没有/n
反向传播综合案例

TwoLayerNet
import numpy as np
from common.functions import softmax,sigmoid,cross_entropy
from common.gradient import numerical_gradient
from common.layers import * # 反向传播的层
from collections import OrderedDict # 有序字典,用来保存各个层的结构并给出顺序
class TwoLayerNet:
# 初始化 全0偏置b
def __init__(self,input_size,hidden_size,output_size,weight_init_std=0.01):
self.params={}
self.params['W1']=weight_init_std*np.random.randn(input_size,hidden_size)
self.params['b1']=np.zeros(hidden_size)
self.params['W2']=weight_init_std*np.random.randn(hidden_size,output_size)
self.params['b2'] = np.zeros(output_size)
# 定义(反向传播用的)层结构
self.layers=OrderedDict()
self.layers['Affine1']=Affine(self.params['W1'],self.params['b1'])
self.layers['ReLU1']=ReLu()
self.layers['Affine2']=Affine(self.params['W2'],self.params['b2'])
# 单独定义最后一层:SoftmaxWithLoss
self.lastLayer=SoftmaxWithLoss()
# 前向传播(预测)
def forward(self,X):
# W1,W2=self.params["W1"],self.params['W2']
# b1,b2=self.params['b1'],self.params['b2']
# a1=X@W1+b1
# z=sigmoid(a1)
# a2=z@W2+b2
# y=softmax(a2)
# return y
# 对于神经网络中的每一层依次调用forward方法
for layer in self.layers.values():
X=layer.forward(X)
return X
# 计算损失
def loss(self,x,t):
y_pred=self.forward(x) # 最后层的输入,不是最后一层输出的概率
loss_value=self.lastLayer.forward(y_pred,t)
return loss_value
# 计算准确度,t是分类号
def accuracy(self,x,t):
# 预测分类数值:最后层的输入,不是最后一层输出的概率但是与softmax后的结果也可以得出最大概率得到预测的分类号
y_proba=self.forward(x)
# 根据最大概率得到预测的分类号
y_pred=np.argmax(y_proba,axis=1)
# 与正确解标签对比,得到准确率
accuracy=np.sum(y_pred==t)/x.shape[0]
return accuracy
# # 计算梯度f(w...)--Loss(w...),使用数值微分方法
# def numerical_gradient(self,x,t):
# # 定义目标函数
# loss_f=lambda w:self.loss(x,t)
# # 对每个参数使用数值微分方法计算梯度
# grads={}
# grads['W1']=numerical_gradient(loss_f,self.params['W1'])
# grads['W2'] = numerical_gradient(loss_f, self.params['W2'])
# grads['b1'] = numerical_gradient(loss_f, self.params['b1'])
# grads['b2'] = numerical_gradient(loss_f, self.params['b2'])
# return grads
# 计算梯度,使用反向传播法计算梯度
def gradient(self,x,t):
# 前向传播,直接得到了每一层的所有参数
self.loss(x,t)
# 反向传播softmax and cee层
# Loss(w..)=Σtlogyi dy=dL/dy
dy=1
dy=self.lastLayer.backward(dy)
# 将神经网络中的所有层反向处理
# 将字典的values存入list中
layers=list(self.layers.values())
layers.reverse()
for layer in layers:
dy=layer.backward(dy)
# 提取各层参数梯度
grads={}
grads['W1'],grads['b1']=self.layers['Affine1'].dW,self.layers['Affine1'].db
grads['W2'], grads['b2'] = self.layers['Affine2'].dW, self.layers['Affine2'].db
layers
import numpy as np
from common.functions import *
# ReLU
class ReLu:
# 初始化
def __init__(self):
# 内部属性,记录哪些x<=0
self.mask=None # mask中存true or false
# 前向传播
def forward(self,x):
# 如果x是[-1, 0, 2],那么self.mask就是[True, True, False]
self.mask=(x<=0)
y=x.copy()
# 将y中所有对应掩码为True的位置(即x中小于等于0的位置)的值设置为0
y[self.mask]=0
return y
# 反向传播
# dy是上游传递过来的导数值,就是那个E
def backward(self,dy):
dx=dy.copy()
dx[self.mask]=0
return dx
# Sigmoid
class Sigmoid:
# 初始化
def __init__(self):
# 定义内部属性,记录输出值y,用于反向传播时计算梯度
self.y=None
# 前向传播
def forward(self,x):
y=sigmoid(x)
self.y=y
return y
# 反向传播
# dy是上游传递过来的导数值,就是那个E
def backward(self,dy):
dx=dy*self.y*(1.0-self.y)
return dx
# Affine 仿射层y=xw+b
class Affine:
# 初始化
def __init__(self,W,b):
self.W=W
self.b=b
# 对输入数据X做保存,方便反向传播计算梯度
self.X=None
self.original_x_shape=None
# 将权重和偏置参数的梯度(偏导数)保存成属性,方便梯度下降法计算
self.dW=None
self.db=None # 因为dx是反向传播的返回,所以初始化就不单独保存了
# 前向传播
def forward(self,X):
self.original_x_shape=X.shape
self.X=X.reshape(X.shape[0],-1)
y=np.dot(self.X,self.W)+self.b
return y
# 反向传播 dy-->E dX-->EW'
def backward(self,dy):
dX=np.dot(dy,self.W.T)
dX=dX.reshape(*self.original_x_shape)
self.dW=np.dot(self.X.T,dy)
self.db=np.sum(dy,axis=0)
return dX
# 输出层
class SoftmaxWithLoss:
def __init__(self):
self.loss=None
self.y=None # 预测值
self.t=None # 真实值
# 前向传播
def forward(self,X,t):
self.t=t
self.y=softmax(X)
self.loss=cross_entropy(self.y,self.t)
return self.loss
# 反向传播 dy=dl/dy
def backward(self,dy=1):
n=self.t.shape[0] # 数据个数
# 如果是独热编码标签,就直接带入公式计算
if self.t.size==self.y.size:
dx=self.y-self.t # y是n个数据,每个数据m个概率值 t是0101...
# 如果是顺序编码的标签,就需要找到分类号对应的值,然后相减
else:
dx=self.y.copy()
dx[np.arange(n),self.t]-=1 # 花式(列表)索引
return dx/n # 前面的loss没有/n
load_data
import pandas as pd
import numpy as np
from sklearn.preprocessing import MinMaxScaler
from sklearn.model_selection import train_test_split
# 读取数据
def get_data():
# 1.从文件内加载数据集dataframe
data=pd.read_csv("../data/train.csv")
# 2.划分数据集
x=data.drop("label",axis=1) # axis=1是跨列
y=data["label"]
x_train,x_test,y_train,y_test=train_test_split(x,y,test_size=0.3,random_state=42)
# 3.特征工程:归一化
scaler=MinMaxScaler()
x_train=scaler.fit_transform(x_train)
x_test=scaler.transform(x_test)
# 4.将数据都转成ndarraqy
y_train=y_train.values
y_test=y_test.values
return x_train,x_test,y_train,y_test
1_digit_recognizer_nn_train_bp
import numpy as np
import matplotlib.pyplot as plt
from two_layer_net import TwoLayerNet # 两层神经网络类
from common.load_data import get_data
# 1.加载数据
x_train,x_test,t_train,t_test=get_data()
# 2.创建模型
network=TwoLayerNet(input_size=784,hidden_size=50,output_size=10)# 784个像素点,每个像素点可能有10种
# 3.设置超参数
learning_rate=0.1
batch_size=100
num_epochs=10
train_size=x_train.shape[0]
iter_per_epoch=np.ceil(train_size/batch_size) # np.cell 向上取整
iters_num=int(num_epochs*iter_per_epoch) # 总迭代次数,转成int,才能给到range里面
train_loss_list=[]
train_acc_list=[]
test_acc_list=[]
# 4.循环迭代,梯度下降法训练模型
for i in range(iters_num):
# 4.1随机选取批量数据(从train_size中随机选择batch_size)
# batch_mask是一个数组
batch_mask=np.random.choice(train_size,batch_size)
x_batch=x_train[batch_mask]# 花式索引是指使用整数数组(或布尔数组)来索引数组,从而一次获取多个元素。
t_batch=t_train[batch_mask]
# 4.2计算梯度
# 相对于非反向传播就改了这里!@!!
#grad=network.numerical_gradient(x_batch,t_batch)
grad=network.gradient(x_batch,t_batch)
# 4.3变更参数
for key in ('W1',"W2",'b1','b2'):
network.params[key]-=learning_rate*grad[key]
# 4.4计算并保存当前的训练损失
loss=network.loss(x_batch,t_batch)
train_loss_list.append(loss)
# 4.5每完成一个epoch的迭代,就计算并保存训练准确率
if i%iter_per_epoch==0: # i是总迭代次数
train_acc=network.accuracy(x_train,t_train)
test_acc=network.accuracy(x_test,t_test)
train_acc_list.append(train_acc)
test_acc_list.append(test_acc)
print('Epoch:{},Loaa:{},Train acc:{},Test acc:{}'.format(i//iter_per_epoch+1,loss,train_acc,test_acc))
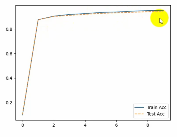
# 5.画图
x=np.arange(len(train_acc_list))
plt.plot(x,train_acc_list,label="Train acc")
plt.plot(x,test_acc_list,label="Test acc",linestyle='--')
plt.legend(loc='best')
plt.show()
运行结果:

