机器学习领域中,集成学习方法因其强大的预测性能和良好的泛化能力而备受关注。其中, 梯度提升树(Gradient Boosting Decision Tree, GBDT) 作为一种基于 Boosting 思想的集成学习算法,通过组合多个弱学习器(通常是 CART 回归树)来构建强大的预测模型。然而,传统 GBDT 在处理大规模数据、高维特征以及复杂非线性关系时存在诸多限制,如训练速度慢、内存占用大、缺乏并行化支持等问题。
XGBoost(eXtreme Gradient Boosting) 应运而生,它是对传统 GBDT 算法的革命性改进和优化实现。XGBoost 不仅在预测精度上保持了 GBDT 的优势,更在训练效率、内存使用、并行计算等方面实现了重大突破。该算法由陈天奇等人开发,自 2016 年开源以来,已成为 Kaggle 竞赛中的常胜将军,并在工业界得到广泛应用。
XGBoost 的成功源于其在多个技术层面的创新。在算法理论层面,它引入了二阶泰勒展开来近似损失函数,使用正则化项控制模型复杂度,并支持多种损失函数和目标函数。在实现技术层面,它采用了列存储数据块结构支持特征并行计算,设计了多种切分点查找算法适应不同场景,实现了缓存感知访问和外存计算机制处理大规模数据。此外,XGBoost 还集成了排序学习、DART(Dropouts meet Multiple Additive Regression Trees)等高级功能,并提供了完善的模型可解释性支持。
本文旨在全面深入地分析 XGBoost 的原理与实现技术。通过系统梳理从 CART 树基础理论到 XGBoost 高级特性的完整技术体系,为读者提供一份详实的技术参考。本文将首先回顾 CART 决策树的理论基础,然后分析 Boosting 算法的演进历程,重点阐述 XGBoost 的核心技术原理,最后深入探讨其系统优化和工程实现。通过理论分析与代码实现相结合的方式,帮助读者全面理解这一强大算法的工作机制。
CART 决策树基础理论
CART 树的定义与结构特征
CART(Classification and Regression Tree,分类与回归树) 是一种基于二叉树结构的非参数统计学习方法,由 Breiman 等人于 1984 年提出。与其他决策树算法相比,CART 具有独特的二叉树结构特征,即每个非叶子节点只能有两个分支,形成结构简洁的二叉树。这种设计使得 CART 既能处理分类问题,也能处理回归问题,具有广泛的适用性。
CART 树的基本假设是将特征空间划分为一系列非空、互不相交的矩形区域,每个区域都对应一个叶节点。通过递归地划分数据集并构建决策树,CART 算法能够在特征空间中创建一系列矩形区域,从而实现对新样本的分类或回归预测。决策树的非叶子节点本质上是一些条件表达式,用来决定树根到叶子的路径,而叶子节点便是该模型的预测结果。
在构建 CART 树时,算法从根节点开始,递归地对每个节点进行以下操作:首先计算现有特征对该数据集的不纯度(分类任务使用基尼指数,回归任务使用均方误差);然后对每个特征的每个可能取值,计算划分后的不纯度;最后选择使不纯度最小的特征和切分点进行划分,并递归处理左右子节点,直到满足停止条件。停止条件通常包括节点中的样本数小于设定阈值、样本集合的不纯度小于设定阈值或树的深度达到预设最大值等。
CART 树的生成算法
CART 树的生成算法核心在于递归地选择最优特征构建决策树。算法从根节点开始,基于训练数据集生成决策树,生成的决策树要尽量大。具体而言,CART 树的生成过程包括以下几个关键步骤:
首先是特征选择标准的确定。对于分类问题,CART 采用基尼指数(Gini Index)来选择最优特征。基尼指数是一种衡量数据集中类别混乱程度的指标,其定义为:

其中:
Y是类别集合,
是数据集中属于第k类的样本比例。
对于特征A,其基尼指数为:

其中:
是根据特征(A)的取值将数据集(D)划分的子集。在构建决策树时,选择基尼指数最小的特征作为划分特征,即
对于回归问题,CART 使用均方误差(MSE)作为特征选择标准:

其中:
是样本 i 的真实值,
是数据集 D 中样本真实值的均值。特征A的均方误差定义类似,选择使均方误差最小的特征进行划分。
其次是递归划分过程。CART 算法采用二分递归分割技术,把当前样本划分为两个子样本,使得生成的每个非叶子结点都有两个分支。算法从根节点开始,对当前节点的数据集,根据分类或回归任务的特征选择标准,选择最优特征A及其最优划分点(a),将当前数据集划分为左右子节点数据集
和
。然后对左右子节点数据集重复上述特征选择与划分步骤,直到满足停止条件。
在处理连续型特征时,CART 算法首先对特征值进行排序,然后取所有连续两个值的均值作为可能的切分点。例如,对于特征值序列([1, 3, 5, 7]),切分点为 2、4、6。这种处理方式使得 CART 能够有效处理数值型特征,无需事先进行离散化处理。
CART 树的剪枝算法
CART 树的剪枝是防止过拟合的重要手段。与其他决策树算法类似,CART 的剪枝策略包括预剪枝 和后剪枝两种方式。
预剪枝是在树的构建过程中提前设定一些停止条件来限制树的生长,如限制树的深度、限制节点中的最小样本数等。预剪枝的优点是可以减少计算量和防止过拟合,但可能会因为过早停止生长而导致欠拟合,无法得到最优的树结构。
后剪枝 则是先构建完整的决策树,然后从叶节点开始,逐步向上判断是否对某个子树进行剪枝。后剪枝能够得到更优的树结构,但计算复杂度相对较高。CART 采用的是代价复杂度剪枝(Cost-Complexity Pruning)方法,这是一种后剪枝策略。
代价复杂度剪枝的核心思想是在剪枝过程中计算子树的损失函数:

其中,T是树的结构,N_t是节点 t 的样本数,
是节点(t)的基尼指数,alpha是正则化参数,用于控制树的复杂度。对于回归树,损失函数可以类似定义为:

剪枝过程从整体树T_0开始,对于树(T)的任意内部节点 t ,计算以 t 为根节点的子树 T_t 的损失函数
和以 t 为单节点的子树的损失函数
。当
时,剪枝前后的损失函数值相等。定义:

它表示剪枝后整体损失函数减少的程度。在树 T 中减去alpha最小的子树,将得到的子树作为T_1。如此剪枝下去,直到得到根节点,此时便得到了子树序列(T_0, T_1, ..., T_n)。最后通过交叉验证在子树序列中选择最优子树T_alpha。
CART 剪枝算法的具体步骤如下:
- 设 k=0 ,T=T_0(初始树)
- 设alpha=+inf
- 自下而上地对每个内部节点 t 计算:

- 对 g(t) = alpha 的内部节点 t 进行剪枝,得到树 T_{k+1}
- 设 k = k + 1,如果 T_k 不是由根节点及两个叶节点构成的树,则继续执行步骤 3
- 采用交叉验证在子树序列 T_0, T_1, ..., T_k 中选择最优子树 T_alpha
这种剪枝策略确保了在每个剪枝步骤中都选择使损失函数增加最小的子树进行剪枝,从而在保持模型预测能力的同时降低了模型复杂度。
CART 与其他决策树算法的对比
CART 与 ID3、C4.5 等其他经典决策树算法在多个方面存在显著差异,这些差异决定了它们各自的适用场景和性能特点。
在功能范围方面,ID3 和 C4.5 只能解决分类任务,而 CART 既能处理分类问题,也能处理回归问题,具有更广泛的适用性。这使得 CART 在实际应用中更加灵活,可以统一处理多种类型的预测任务。
在树结构特征方面,ID3 和 C4.5 生成的是多叉树,即每个节点可以有多个分支,分支数量取决于特征的取值个数。而 CART 采用二叉树结构,每个非叶子节点只能有两个分支。CART 的二叉树结构虽然在某些情况下可能导致树的深度增加,但也带来了结构简洁、实现简单的优点,并且更容易进行剪枝操作。
在特征处理能力方面,ID3 算法只能处理离散型特征,而 C4.5 和 CART 既可以处理离散特征,也可以处理连续特征。在处理连续特征时,C4.5 和 CART 都采用了将连续特征离散化的方法,但具体实现有所不同。CART 通过对连续特征值排序后取相邻值的均值作为切分点,而 C4.5 则是在构建树的过程中动态确定切分点。
在特征选择标准方面,ID3 使用信息增益作为选择标准,C4.5 使用信息增益比,而 CART 分类树使用基尼指数,回归树使用均方误差。这些不同的选择标准各有优劣:信息增益倾向于选择取值较多的特征,信息增益比通过引入分裂信息度量来修正这一偏向,基尼指数计算相对简单且对噪声数据更鲁棒,均方误差则是回归问题的自然选择。
在剪枝策略方面,C4.5 采用后剪枝策略,通过设置置信度阈值来控制剪枝的程度。CART 则采用代价复杂度剪枝,通过最小化损失函数来选择最优子树。CART 的剪枝策略更加系统化和理论化,能够保证找到在给定 alpha 值下的最优子树。
在计算复杂度 方面,CART 的计算复杂度为O(n2,其中 n 为样本数,而 ID3 和 C4.5 的计算复杂度分别为O(n log n)和O(n2 log n)。虽然 CART 的计算复杂度相对较高,但其在处理大规模数据时的稳定性和预测性能往往更优。
Boosting 算法演进历程
Adaboost 算法原理
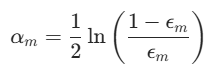
Adaboost(Adaptive Boosting,自适应增强) 是 Boosting 算法家族中最具代表性的算法之一,由 Yoav Freund 和 Robert Schapire 于 1995 年提出。Adaboost 的核心思想是通过迭代方式训练多个弱分类器,每个弱分类器都专注于学习前一轮分类错误的样本,最终通过加权投票的方式组合这些弱分类器形成强分类器。
Adaboost 算法需要回答两个核心问题:如何在每一轮改变训练数据的权值或概率分布,以及如何将弱分类器组合成一个强分类器。
对于第一个问题,Adaboost 的做法是:提高那些被前一轮弱分类器分类错误的样本的权值,降低那些被正确分类的权值。这样一来,那些没有得到正确分类的数据,由于其权值加大而受到后一轮弱分类器的更大关注。具体而言,初始时每个样本的权重被设置为相等的值(通常为(1/N),其中(N)是样本总数)。在每一轮迭代中,根据当前弱分类器的错误率调整样本权重:分类错误的样本权重乘以
,其中
是当前弱分类器的错误率。
对于第二个问题,Adaboost 采用加权多数表决的方法。具体的,加大分类误差率小的弱分类器的权值,使其在表决中起较大的作用;减小分类误差率大的弱分类器的权值,使其在表决中起较小的作用。弱分类器的权重计算公式为:

其中:
是第 m 个弱分类器的错误率
Adaboost 算法的训练误差具有以下重要性质:Adaboost 最基本的性质是它能在学习过程中不断减少训练误差,即训练数据集上的分类误差率会持续下降。更重要的是,Adaboost 的训练误差是以指数速率下降的。这一性质保证了算法的快速收敛性。
从理论角度看,Adaboost 算法可以被认为是模型为加法模型、损失函数为指数函数、学习算法为前向分步算法时的二分类学习方法。换句话说,Adaboost 算法是前向分步加法算法的特例。这种理论框架为理解 Adaboost 的工作机制提供了重要视角。
Gradient Boosting 算法
虽然 Adaboost 在分类问题上取得了巨大成功,但它存在一些局限性:只能处理分类问题,对回归问题的处理能力有限;对异常值比较敏感;算法的理论分析相对复杂等。为了克服这些局限性,Friedman 等人提出了 Gradient Boosting(梯度提升) 算法,这是 Boosting 算法发展史上的重要里程碑。
Gradient Boosting 的核心思想是利用损失函数的负梯度在当前模型的值作为回归问题提升树算法中的残差的近似值,拟合一个回归树。与 Adaboost 通过调整样本权重来关注难分类样本不同,Gradient Boosting 通过直接拟合负梯度来改进模型。
在数学表达上,Gradient Boosting 的目标是最小化所有数据点的损失函数之和。假设我们有 M 棵树,最终模型为:

其中:
是第 m 棵回归树,
是学习率或步长。
每一步的优化目标是:

直接优化这个式子比较困难,Gradient Boosting 使用梯度下降近似,计算负梯度:

其中:
是第 m 棵树的目标值(残差或负梯度),然后用一棵回归树
拟合
Gradient Boosting 支持多种损失函数,包括:
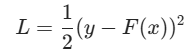
回归问题的平方误差损失:

负梯度为:
分类问题的对数似然损失:
对于二分类问题,使用 Logistic Loss:

其中
,
为 Sigmoid 函数。
负梯度为: r = y - p
梯度提升树 GBDT
GBDT(Gradient Boosting Decision Tree,梯度提升决策树) 是 Gradient Boosting 算法的一种具体实现,它使用 CART 回归树作为弱学习器。GBDT 的全称也可以写作 GBRT(Gradient Boosted Regression Tree)或 GBM(Gradient Boosting Machine),这些名称本质上指的是同一种算法。
GBDT 的核心思想是通过多棵树的串行叠加,每棵树拟合上一步模型的残差(或损失函数的负梯度),最终得到一个强分类器或回归器。与随机森林基于 Bagging 的并行训练不同,GBDT 基于 Boosting 的串行训练,每一棵树都依赖于前一棵树的结果,通过逐步减少误差来提升模型性能。
GBDT 的模型形式为:

GBDT 具有以下重要特点:
- 支持多种损失函数: GBDT 可以使用不同的损失函数适应不同的任务,包括回归、分类、排序等。
- 正则化策略: 为了防止模型过拟合,GBRT 采用了收缩率(learning rate)和子采样等正则化策略。收缩率类似于学习过程中的 "步长",它控制着每一轮迭代时新模型对残差的修正程度。
- 随机抽样机制: GBDT 加入了随机森林中随机抽样的思想,在每次建树之前,允许对样本和特征进行抽样来增大弱评估器之间的独立性。这种方法被称为随机梯度提升(Stochastic Gradient Boosting)。
- 特征重要性评估: GBDT 能够自然地提供特征重要性评估,这对于理解模型行为和进行特征选择非常有价值。
GBDT 在实际应用中表现出色,特别是在结构化数据的预测任务中。它的主要优势包括:能够自动发现特征间的高阶交互作用;对数据的分布没有严格要求;具有较好的鲁棒性和泛化能力。
然而,GBDT 也存在一些缺点:串行训练导致训练速度较慢;对参数(树深、学习率、棵数)比较敏感,需要仔细调参;在高维稀疏数据上的表现可能不如线性模型。
缩减技术与正则化
在 Boosting 算法中,缩减(Shrinkage)技术是防止过拟合的重要手段。缩减的核心思想是降低每一步的步长(即学习率),减少每棵树对整体模型的影响,从而减慢学习速度,但有助于提高泛化能力。
学习率(通常用(\eta)或(\nu)表示)是 Boosting 算法中的关键超参数。通过减小每一步提升的步长,可以使得模型在学习过程中更加谨慎,增加模型训练的时间,但通常能够获得更好的泛化性能。步长收缩的引入使得模型的训练更加稳健,能够在避免过拟合的同时,提升模型对新数据的适应能力。
在数学上,缩减技术通过将每个新集成成员的贡献按 0 到 1 之间的因子进行缩放来实现。这个因子就是 Boosting 集成的学习率。减小学习率会增加收缩,因为它降低了每棵新决策树对集成的贡献。
缩减技术的作用机制可以从以下几个角度理解:
- 防止快速收敛到局部最优:较小的学习率使得算法在参数空间中进行更精细的搜索,避免跳过全局最优解。
- 增加模型的稳定性: 通过限制每棵树的影响,缩减技术使得最终模型对个别树的变化不那么敏感,从而提高了模型的稳定性。
- 与子采样的协同作用: 正则化通过缩减(learning_rate < 1.0)显著改善性能。与缩减结合,随机梯度提升(subsample < 1.0)可以通过 bagging 减少方差来产生更准确的模型。没有缩减的子采样通常表现较差。
- 控制模型复杂度: 从偏差 - 方差权衡的角度来看,缩减技术降低了模型的方差,使学习出来的模型更加简单,防止过拟合。这也是为什么学习率被称为正则化参数的原因。
在实际应用中,缩减技术通常与其他正则化策略结合使用,包括:
- 子采样(Subsampling): 随机选择部分样本进行训练,进一步降低方差
- 树深度限制: 限制每棵树的最大深度,防止单棵树过于复杂
- 最小叶子节点样本数: 限制叶子节点的最小样本数,避免过拟合
- L2 正则化: 在目标函数中加入权重的 L2 范数惩罚项
这些正则化策略的结合使用,使得 Boosting 算法能够在保持强大拟合能力的同时,有效控制过拟合风险,提高模型的泛化性能。
XGBoost Tree Boosting 核心技术
XGBoost 模型定义与目标函数
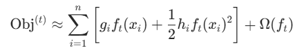
XGBoost(eXtreme Gradient Boosting) 是对传统 GBDT 算法的重大改进和优化实现。与传统 GBDT 相比,XGBoost 在目标函数设计、优化算法、系统实现等多个方面都有重要创新。XGBoost 的目标函数定义为:

在第 t 次迭代时,模型的预测值为:

将其代入目标函数,得到第 t 次迭代的目标函数:

为了简化目标函数的优化,XGBoost 对损失函数进行二阶泰勒展开。设
,将
当作
, x 当作
,得到:

忽略常数项后,目标函数简化为:

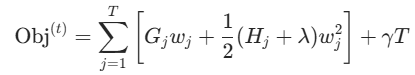
树的复杂度
定义为:

将属于第 J 个叶子节点的所有样本
划入到一个叶子节点样本集中:

其中,
表示样本
被分配到的叶子节点编号。
令
,则目标函数可以重写为:

对
求导并令导数为零:

得到最优叶子节点权重:
(w_j^* = -\frac{G_j}{H_j + \lambda})
将(w_j^*)代入目标函数,得到最优目标函数值:
(\text{Obj}^{(t)} = -\frac{1}{2} \sum_{j=1}^T \frac{G_j^2}{H_j + \lambda} + \gamma T)
这个式子给出了给定树结构(q)下的最优目标函数值,也是 XGBoost 进行树分裂评估的基础。
精确贪心算法
XGBoost 的切分点查找算法是其性能的关键。第一种算法是精确贪心算法(Exact Greedy Algorithm),它通过穷举所有可能的分裂点来选择最优分裂。
精确贪心算法的核心思想是:对于每个节点,遍历所有特征的所有可能切分点,计算分裂后的增益,选择增益最大的分裂点。算法的具体步骤如下:
- 对每个特征,将所有样本按照该特征的值进行排序
- 遍历每个可能的切分点,计算分裂后的目标函数值
- 选择使目标函数值最小(或增益最大)的分裂点
在 XGBoost 中,分裂增益(Split Gain)的计算公式为:

精确贪心算法的实现伪代码如下:
python
Function ExactGreedySplit(data, gradients, hessians):
best_gain = 0
best_feature = None
best_threshold = None
# 遍历所有特征
for feature in features:
# 按特征值排序样本索引
sorted_indices = data[:, feature].argsort()
# 初始化前缀和
G_l = 0
H_l = 0
# 遍历所有可能的切分点(除最后一个)
for i in range(len(sorted_indices) - 1):
idx = sorted_indices[i]
G_l += gradients[idx]
H_l += hessians[idx]
G_r = sum(gradients) - G_l
H_r = sum(hessians) - H_l
# 计算分裂增益
gain = G_l^2/(H_l + λ) + G_r^2/(H_r + λ) - (G_l + G_r)^2/(H_l + H_r + λ) - γ
if gain > best_gain:
best_gain = gain
best_feature = feature
best_threshold = (data[idx, feature] + data[sorted_indices[i+1], feature]) / 2
return best_feature, best_threshold
精确贪心算法的优点是能够找到理论上的最优分裂点,保证了模型的预测性能。然而,它的计算复杂度较高。假设树的高度为 H ,特征数为 K ,样本数为 N ,则该算法的复杂度为 O(HKN log N)。其中,每次排序为 O(N log N),每个特征都需要排序乘以 K ,树的每一层都需要重新计算乘以 H 。
当数据规模较大或特征维度较高时,精确贪心算法的计算成本会变得很高。因此,XGBoost 还实现了多种近似算法来提高效率。
近似算法与直方图算法
为了处理大规模数据和提高训练效率,XGBoost 实现了近似算法(Approximate Algorithm)。近似算法的核心思想是通过加权分位数方法选择候选分裂点,而不是穷举所有可能的分裂点。
近似算法的具体步骤如下:
候选分裂点生成: 对每个特征,根据特征值的分布选择 k 个候选分裂点
数据分桶: 将连续特征映射到由候选点划分的桶中
统计信息聚合: 计算每个桶的梯度统计量 G 和 H
分裂点搜索: 在候选分裂点上使用精确贪心算法寻找最优分裂
近似算法根据候选点的生成时机分为两种策略:
- 全局近似: 在训练前确定所有特征的候选分裂点,整个迭代过程中不变
- 局部近似: 每棵树训练时重新生成候选分裂点,更精准但稍慢
在 XGBoost 中,候选分裂点的选择基于加权分位数算法。算法使用二阶导数 h_i 作为权重,计算特征值的分位数。具体来说,找到候选分裂点集合 S_k = {s_{k1}, s_{k2}, ..., s_{kl}},使得分裂点内的排位差值小于给定的近似因子
。权重 h_i 表示 f_t(x_i)对标签 g_i/h_i 的平方误差的权重,因此称为加权分位数方案。
直方图算法(Histogram Algorithm)是近似算法的一种高效实现。直方图算法的做法是把连续的浮点特征值离散化为(k)个整数(分桶),比如((0, 0.1) \rightarrow 0),((0.1, 0.3) \rightarrow 1)等。这样,遍历一次数据后,直方图累积了需要的梯度信息,然后可以直接根据直方图寻找最优的切分点。
直方图算法的优势包括:
- 内存效率高: 相比于精确算法需要存储排序后的索引,直方图只需要存储 k 个桶的统计信息
- 计算速度快: 只需要遍历数据一次就能建立直方图,而精确算法需要多次排序
- 缓存友好: 直方图的访问模式更加连续,有利于提高 CPU 缓存命中率
XGBoost 实现了多种树方法(tree_method),包括:
exact:传统的精确贪心算法,适合小数据集
approx:基于分位数的近似算法,适合大数据集
hist:基于直方图的近似算法(LightGBM 风格),适合大规模数据集
gpu_hist:基于 GPU 的直方图算法,需要 GPU 支持
这些不同的算法为 XGBoost 提供了丰富的选择,可以根据数据规模、硬件条件和精度要求选择合适的算法。
稀疏感知切分点查找算法
在实际应用中,数据往往是稀疏的,例如在推荐系统、文本处理等场景中。XGBoost 特别设计了稀疏感知切分点查找算法(Sparsity-aware Split Finding) 来高效处理稀疏数据。
稀疏感知算法的核心思想是:在处理带缺失值的特征时,XGBoost 先对非缺失的样本进行排序,对该特征缺失的样本先不处理,然后在遍历每个分裂点时,将这些缺失样本分别划入左子树和右子树来计算损失,选择最优的处理方式。
具体实现步骤如下:
数据预处理:将稀疏特征的缺失值(包括显式缺失和隐式缺失)单独处理
分裂点计算:对于每个候选分裂点,计算两种情况:
缺失值样本全部划入左子树
缺失值样本全部划入右子树
最优选择:选择使目标函数最优的处理方式,并记录缺失值的默认方向
在 XGBoost 中,用户可以通过设置missing参数指定缺失值的表示方式(默认为nan),并通过handle_missing参数控制缺失值的处理方向('left' 或 'right')。
稀疏感知算法的优势在于:
计算效率高:不需要为缺失值创建额外的特征或进行特殊编码
自动学习处理方式:算法能够自动学习缺失值的最优处理方向
灵活性强:可以处理各种类型的稀疏数据,包括显式缺失、隐式缺失等
这种设计使得 XGBoost 在处理稀疏数据时具有很高的效率和鲁棒性,这也是它在实际应用中表现出色的重要原因之一。
XGBoost 高级功能实现
排序学习算法
XGBoost 通过一组目标函数和性能指标实现 ** 排序学习(Learning to Rank)** 功能。默认的目标函数是rank:ndcg,它基于 LambdaMART 算法,这是 LambdaRank 框架在梯度提升树上的适配实现。
XGBoost 的排序算法具有以下特点:
- 成对排序模型: XGBoost 实现了一个成对排名模型,它比较查询组中每一对样本的相关性程度,并为每一对计算一个代理梯度。这种方法能够有效处理排序问题中的相对顺序关系。
- 位置偏差消除: 为了缓解位置依赖的点击数据的偏差,XGBoost 实现了无偏 LambdaMART 算法。该算法通过特殊的采样策略和权重调整,消除了由于展示位置不同导致的偏差。
- 分布式训练支持: XGBoost 实现了与多个框架集成的分布式学习排序,包括 Dask、Spark 等。这使得它能够处理大规模的排序任务,满足工业级应用的需求。
- 多种评估指标: XGBoost 支持多种排序评估指标,包括 NDCG(Normalized Discounted Cumulative Gain)、MAP(Mean Average Precision)、MRR(Mean Reciprocal Rank)等,用户可以根据具体需求选择合适的指标。
在实际应用中,排序学习在信息检索、推荐系统、广告排序等领域都有重要应用。XGBoost 的排序功能通过以下方式工作:
- 查询分组: 将数据按照查询 ID 进行分组,确保同一查询的不同文档能够正确比较
- 相对相关性建模: 通过学习文档对之间的相对相关性,建立排序模型
- 位置感知优化: 在优化目标中考虑位置因素,提高排序的准确性
XGBoost 的排序学习功能还支持多目标优化,可以同时优化点击率、转化率等多个指标,这对于电商推荐、内容分发等场景特别有价值。
DART 算法
DART(Dropouts meet Multiple Additive Regression Trees) 是 XGBoost 引入的一种防止过拟合的新技术。DART 借鉴了深度学习中的 dropout 策略,通过随机丢弃一些树来防止过拟合。
DART 的核心思想是在每次迭代过程中随机丢弃一部分树,类似于神经网络中的 Dropout 方法。通过这种方式,可以减少模型过拟合的风险并提高泛化能力。
DART 算法的具体实现包括以下几个关键步骤:
- 树的随机丢弃: 在每一轮迭代中,DART 随机选择一些已经构建好的树,并将其从当前预测集合中移除。被丢弃的树的比例由参数rate_drop控制,默认值通常较小(如 0.1)。
- 梯度计算调整: DART 在计算梯度时,从现有模型中随机选择一个树的子集来创建负梯度,并用新的回归树拟合该负梯度。为了保证新树和丢弃树的组合效果一致,DART 会对新树进行标准化处理。
- 标准化处理: 新树的权重会被乘以一个标准化因子,确保丢弃树后的预测值与原来的预测值保持一致。这个标准化因子等于被保留树的数量除以总树数。
- 跳过机制: 如果一个 dropout 被跳过了,新的树将会像传统 gbtree 一样被添加。这种设计保证了算法的稳定性。
DART 算法的数学表述如下:
假设当前有 M 棵树,第 t 次迭代时,随机选择一个子集
,其中
。新的预测值为:

目标函数相应地调整为:

DART 的优势在于:
- 防止过拟合: 通过随机丢弃树,增加了模型的多样性,有效防止了过拟合
- 提高泛化能力: 实验表明,DART 在某些数据集上能够显著提高模型的泛化性能
- 参数少: 只需要设置rate_drop和skip_drop两个参数,使用简单
- 向后兼容: 可以与其他正则化技术(如学习率、树深度限制等)结合使用
然而,DART 也有一些缺点:
- 训练速度慢: 因为随机 dropout 不使用用于保存预测结果的 buffer,所以训练会更慢
- 需要更多的迭代次数: 为了达到相同的收敛效果,通常需要更多的迭代次数
- 参数调优复杂: 需要仔细调整rate_drop参数,否则可能影响模型性能
树模型可解释性技术
随着机器学习模型在关键决策场景中的应用越来越广泛,模型的可解释性变得越来越重要。XGBoost 集成了多种模型可解释性技术,包括 Saabas 和 SHAP 方法,用于评估特征对每个样本预测结果的贡献度。
Saabas 方法基于一个简单的启发式算法,能够高效地评估单个决策树中特征的贡献度。Saabas 的核心思想是沿着从根节点到叶子节点的路径,累加每个特征分裂所带来的增益,作为该特征的重要性得分。这种方法计算简单,解释直观,特别适合解释单棵树的决策过程。
SHAP(SHapley Additive exPlanations) 方法则提供了更加理论化和全面的解释框架。SHAP 通过线性方式对特征进行归因,可以计算出每个特征对模型预测结果的贡献值。SHAP 值具有严格的理论基础,基于博弈论中的 Shapley 值,具有以下重要性质:
- 局部准确性: 在单个样本的解释中,所有特征的 SHAP 值之和等于该样本的预测值与基准值(如所有特征均值)的差。
- 一致性: 如果两个特征值相同,它们的 SHAP 值也应该相同。
- 对称性: 如果交换两个特征的位置,它们的 SHAP 值也应该交换。
- 有效性: 无关特征的 SHAP 值为零。
SHAP 在 XGBoost 中的实现采用了Tree SHAP 算法,该算法利用树结构的特性,实现了线性时间复杂度的精确 Shapley 值计算。Tree SHAP 的核心思想是将树模型分解为多个路径的贡献,通过动态规划的方法高效计算每个特征的 SHAP 值。
Tree SHAP 算法的主要步骤包括:
- 树分解: 将每棵树分解为从根节点到叶子节点的所有路径
- 路径贡献计算: 计算每条路径对预测值的贡献
- 特征贡献聚合: 将路径贡献分解到各个特征上
- 结果汇总: 将所有树的特征贡献汇总,得到最终的 SHAP 值
SHAP 值的计算复杂度为 O(T log T),其中 T 是树的叶子节点数,这使得它能够处理大规模的树模型。
除了 SHAP,XGBoost 还提供了多种特征重要性评估方法:
- Weight: 特征在所有树中被用作分裂点的次数
- Gain: 特征作为分裂点时带来的平均增益
- Cover: 特征作为分裂点时覆盖的样本数
- Total Gain: 特征在所有树中带来的总增益
- Total Cover: 特征在所有树中覆盖的总样本数
这些不同的重要性指标提供了多维度的特征评估视角,用户可以根据具体需求选择合适的指标。
模型可解释性技术的应用场景包括:
- 特征选择: 通过分析特征重要性,识别关键特征,进行特征筛选
- 模型调试: 理解模型的决策逻辑,发现潜在问题
- 结果解释: 向业务人员解释模型的预测结果,提高模型的可信度
- 合规要求: 在金融、医疗等受监管行业,需要提供决策依据
通过这些可解释性技术,XGBoost 不仅提供了强大的预测能力,还能够帮助用户理解模型的工作机制,这对于实际应用中的模型部署和决策支持具有重要意义。
XGBoost 线性模型与系统优化
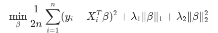
Elastic Net 回归
XGBoost 不仅支持树模型,还实现了基于线性模型的学习器。XGBoost 的线性模型本质上是一个带 Elastic Net 正则化的正则化线性模型,使用并行坐标下降法进行优化。
Elastic Net 是 Lasso 和 Ridge 回归技术的混合体,它结合了 L1 和 L2 正则化的优点。Elastic Net 回归的目标函数为:

其中,第一项是平方损失,第二项是 L1 正则化项,第三项是 L2 正则化项,lambda_1和lambda_2是正则化参数。
XGBoost 的线性模型具有以下特点:
- 混合正则化: 同时使用 L1 和 L2 正则化,可以有效处理多重共线性问题,同时进行特征选择。
- 自动特征选择: L1 正则化项使得部分特征的系数为零,实现了自动的特征选择。
- 旋转不变性: L2 正则化的加入使得模型具有旋转不变性,避免了 Lasso 在特征相关时的不稳定问题。
- 参数平衡: 通过调整(\lambda_1)和(\lambda_2)的比例,可以在特征选择和模型稳定性之间取得平衡。
在 XGBoost 中,可以通过设置booster = gblinear来使用线性模型。线性模型特别适合以下场景:
- 高维稀疏数据: 如文本数据、推荐系统中的用户 - 物品矩阵等
- 特征高度相关的数据: Elastic Net 能够有效处理多重共线性
- 需要特征重要性解释的场景: 线性模型的系数可以直接解释为特征的重要性
- 实时预测需求: 线性模型的预测速度比树模型快得多
线性模型与树模型的对比:
| 特性 | 线性模型 | 树模型 |
|---|---|---|
| 训练速度 | 快(线性时间) | 慢(需要多次分裂) |
| 预测速度 | 非常快(向量运算) | 中等(需要遍历树) |
| 内存占用 | 小(只存储系数) | 大(存储整个树结构) |
| 可解释性 | 高(系数直接对应特征) | 中等(需要专门的解释技术) |
| 处理非线性 | 差(需要特征工程) | 优秀(自动捕捉非线性) |
| 处理缺失值 | 需要特殊处理 | 内置支持 |
并行坐标下降法
XGBoost 的线性模型使用 ** 并行坐标下降法(Parallel Coordinate Descent)** 进行优化。坐标下降法是一种迭代优化算法,它在每次迭代中沿一个坐标方向进行一维搜索,找到当前点在该方向上的最优步长。
坐标下降法的基本步骤如下:
初始化参数向量 beta
对于每个特征 j ,固定其他特征的参数,仅优化 beta_j
重复步骤 2 直到收敛
在 XGBoost 中,坐标下降法的目标函数为:

XGBoost 实现了并行坐标下降法,能够同时更新多个参数。并行化的实现方式包括:
- 块划分: 将特征划分为多个块,每个块由一个线程处理
- 同步更新: 所有线程同时计算各自负责的特征的新值
- 原子操作: 使用原子操作确保共享数据的一致性
并行坐标下降法的优势在于:
- 计算效率高: 每个特征的更新计算独立,可以并行执行
- 内存访问友好: 每个线程处理连续的特征块,提高缓存命中率
- 收敛速度快: 坐标下降法在处理凸函数时具有全局收敛性
- 支持热启动: 可以从已有的模型参数开始继续训练
在实际应用中,并行坐标下降法的性能受到以下因素影响:
- 特征数量: 特征越多,并行化的收益越大
- 数据稀疏性: 稀疏数据可以减少不必要的计算
- 正则化强度: 较强的正则化可能导致更多的零系数,提高计算效率
- 线程数量: 需要根据硬件条件选择合适的线程数