特征降维
学习目标:
- 理解特征降维的作用
- 知道低方差过滤法
- 知道相关系数法
- 掌握PCA 进行降维
特征降维简介
用于训练的数据集特征对模型的性能有着极其重要的作用。如果训练数据中包含一些不重要的特征,可能导致模型的泛化性能不佳。例如:
- 某些特征的取值较为接近,其包含的信息较少
- 我们希望特征独立存在,对预测产生影响,具有相关性的特征可能并不会给模型带来更多的信息,但是并不是说相关性完全无用。
降维 是指在某些限定条件下,降低特征个数, 我们接下来介绍集中特征降维的方法:
低方差过滤法,相关系数法,PCA(主成分分析)降维法。
低方差过滤法
我们知道:
- 特征方差小:某个特征大多样本的值比较相近
- 特征方差大:某个特征很多样本的值都有差别
低方差过滤法 指的是删除方差低于某些阈值的一些特征。
python
sklearn.feature_selection.VarianceThreshold(threshold=0.0)
Variance.fit_transform(X)
#X:numpy array格式的数据[n_samples,n_features]
在数据集中,删除方差低于 threshold 的特征将被删除,默认值是保留所有非零方差特征,即删除所有样本中具有相同值的特征。
示例代码:
python
from sklearn.feature_selection import VarianceThreshold
import pandas as pd
# 1. 读取数据集
data = pd.read_csv('data/垃圾邮件分类数据.csv')
print(data.shape) # (971, 25734)
# 3. 使用方差过滤法
transformer = VarianceThreshold(threshold=0.1)
data = transformer.fit_transform(data)
print(data.shape) # (971, 1044)
主成分分析(PCA)

PCA 通过对数据维数进行压缩,尽可能降低原数据的维数(复杂度),损失少量信息,在此过程中可能会舍弃原有数据、创造新的变量。
python
from sklearn.decomposition import PCA
from sklearn.datasets import load_iris
# 1. 加载数据集
x, y = load_iris(return_X_y=True)
print(x[:5])
# [[5.1 3.5 1.4 0.2]
# [4.9 3. 1.4 0.2]
# [4.7 3.2 1.3 0.2]
# [4.6 3.1 1.5 0.2]
# [5. 3.6 1.4 0.2]]
# 2. 保留指定比例的信息
transformer = PCA(n_components=0.95)
x_pca = transformer.fit_transform(x)
print(x_pca[:5])
# [[-2.68412563 0.31939725]
# [-2.71414169 -0.17700123]
# [-2.88899057 -0.14494943]
# [-2.74534286 -0.31829898]
# [-2.72871654 0.32675451]]
# 3. 保留指定数量特征
transformer = PCA(n_components=2)
x_pca = transformer.fit_transform(x)
print(x_pca[:5])
# [[-2.68412563 0.31939725]
# [-2.71414169 -0.17700123]
# [-2.88899057 -0.14494943]
# [-2.74534286 -0.31829898]
# [-2.72871654 0.32675451]]
相关系数法
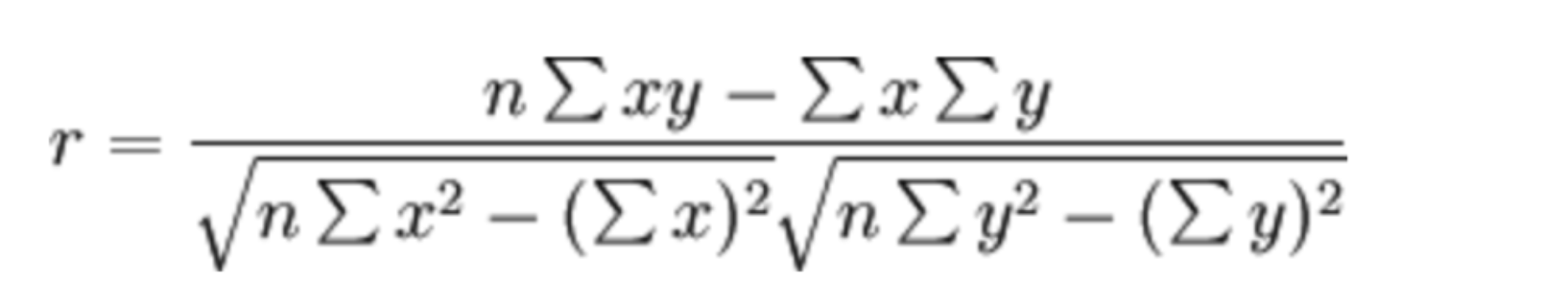
相关系数的计算主要有: 皮尔逊相关系数、斯皮尔曼相关系数。特征之间的相关系数法可以反映变量之间相关关系密切程度。
皮尔逊相关系数的计算公式:


斯皮尔曼相关系数计算公式:

上面的公式中, did_idi 为样本中不同特征在数据中排序的序号差值,计算举例如下所示

python
import pandas as pd
from sklearn.feature_selection import VarianceThreshold
from scipy.stats import pearsonr
from scipy.stats import spearmanr
from sklearn.datasets import load_iris
# 1. 读取数据集(鸢尾花数据集)
data = load_iris()
data = pd.DataFrame(data.data, columns=data.feature_names)
# 2. 皮尔逊相关系数
corr = pearsonr(data['sepal length (cm)'], data['sepal width (cm)'])
print(corr, '皮尔逊相关系数:', corr[0], '不相关性概率:', corr[1])
# (-0.11756978413300204, 0.15189826071144918) 皮尔逊相关系数: -0.11756978413300204 不相关性概率: 0.15189826071144918
# 3. 斯皮尔曼相关系数
corr = spearmanr(data['sepal length (cm)'], data['sepal width (cm)'])
print(corr, '斯皮尔曼相关系数:', corr[0], '不相关性概率:', corr[1])
# SpearmanrResult(correlation=-0.166777658283235, pvalue=0.04136799424884587) 斯皮尔曼相关系数: -0.166777658283235 不相关性概率: 0.04136799424884587
作业
1.完成特征降维部分内容的思维导图
2.动手实现低方差过滤法、主成分分析法和相关系数法