研发要求:
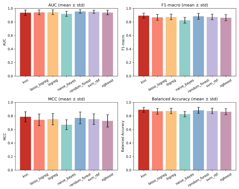
模型指标柱形图
绘图数据库
- 基础结果表格(绘图数据,部分)
绘图主体数据如下:
|---------------|------------------------|-----------------------|--------------------|----------------------|--------------------|---------------------|--------------------|----------------------|
| model | balanced_accuracy_mean | balanced_accuracy_std | f1_macro_mean | f1_macro_std | mcc_mean | mcc_std | roc_auc_mean | roc_auc_std |
| knn | 0.8916666666666667 | 0.03740066207715475 | 0.8914331740832622 | 0.037508348044268065 | 0.7865403443895932 | 0.07472119925775829 | 0.9360833333333333 | 0.03960989084030596 |
| lasso_logreg | 0.8683333333333334 | 0.04377975178854565 | 0.8677022853200794 | 0.044307950126272325 | 0.7426471658672575 | 0.08591119803594947 | 0.9413333333333332 | 0.035991897236276216 |
| logreg | 0.8733333333333333 | 0.04169046939163962 | 0.8728830870339066 | 0.04190768461644646 | 0.7516841690440129 | 0.0832163789908282 | 0.9421666666666667 | 0.035189114929532 |
| naive_bayes | 0.8266666666666667 | 0.04060553563012715 | 0.823992954443956 | 0.042816724373632875 | 0.6705379609973605 | 0.07282923472391678 | 0.9183333333333333 | 0.037460296442017205 |
| random_forest | 0.8833333333333333 | 0.04398322190931229 | 0.883027227293281 | 0.04414080415129268 | 0.7703477401769945 | 0.08759134382943089 | 0.9540000000000001 | 0.026208300211955762 |
| svm_rbf | 0.8733333333333333 | 0.0406055356301271 | 0.8727085376691789 | 0.04114741004379621 | 0.7526944629079465 | 0.07857788941679007 | 0.9491666666666667 | 0.024470584868562604 |
| xgboost | 0.8616666666666667 | 0.04518480570575317 | 0.8613776825771929 | 0.045142018203609365 | 0.7266974396488949 | 0.0913351224439478 | 0.9371666666666666 | 0.03428955831625435 |
model : 模型 名称 ;
balanced_accuracy _mean: balanced_accuracy 均值 ;
balanced_accuracy _std: balanced_accuracy 标准差 ;
mcc _mean: m c c 均值 ;
m c c _std: m c c 标准差 ;
f 1 _mean: f 1 均值 ;
f 1 _std: f 1 标准差 ;
roc_auc _mean: roc_auc 均值 ;
roc_auc _std: roc_auc 标准差 ;
图形展示示例
常规柱形图

注意:
- 需要 四张 图 拼在 一起 , 不是 分开 的
基础【图表调整】参数需求(可以参考 其他 柱形图 展示 , 按实际研发中进行调整和增加)
>> 图表设置
- 图表宽度
- 图表高度
- 每行面板数:只可选1,2,4 (每行的展示图形个数)
- 展示顺序
- 图表样式
- 误差线:标准差、标准误、隐藏
- 填充颜色
- 透明度:分组填充色透明度,范围:[0-1]
- >> 主标题设置
标题样式
- 标题:主标题内容
- 字体/字号
- 颜色
>> X轴设置
标题样式
- 标题:X标题内容
- 字体/字号
- 颜色
标签样式
- 字体/字号
- 颜色
- 角度:范围 :[-90:90]
>> Y轴设置
标题样式
- 标题:Y标题内容
- 字体/字号
- 颜色
标签样式
- 字体/字号
- 颜色
模型算法:
- 勾选需要展示的模型
- 图中的模型展示顺序与该顺序对应
下面是项目里封装好的方法 可以直接调用,上代码:
import * as d3 from "d3";
import { getColorList } from "@/utils/commonMethod";
const CombinationBoxPlot = (options = {}) => {
let data = options.data.plot_data;
if (!data) return;
let chartHeight = 140 * (options.params.height / 100) + 250;
let chartWidth = 250 * (options.params.width / 100);
function getSvgTextStyle({
text = "",
fontSize = 14,
fontFamily = "Arial",
fontWeight = "normal"
} = {}) {
const svg = d3
.select("body")
.append("svg")
.attr("class", "get-svg-text-style");
const textStyle = svg
.append("text")
.text(text)
.attr("font-size", fontSize)
.attr("font-family", fontFamily)
.attr("font-weight", fontWeight)
.node()
.getBBox();
svg.remove();
return {
width: textStyle.width,
height: textStyle.height
};
}
function getSvgBandAxisStyle({
fontSize = 20,
orient = "bottom",
fontFamily = "Arial",
fontWeight = "normal",
rotate = 0,
domain = ["A", "B", "C"],
range = [0, 200]
} = {}) {
let axis;
let svg = d3
.select("body")
.append("svg")
.attr("width", 200)
.attr("height", 100)
.attr("transform", "translate(300, 200)")
.attr("class", "get-svg-axis-style");
let scale = d3.scaleBand().domain(domain).range(range);
if (orient === "bottom" || orient === "top") {
axis = d3.axisBottom(scale);
} else {
axis = d3.axisLeft(scale);
}
let axisStyle = svg
.append("g")
.call(axis)
.call(g => {
g.selectAll("text")
.attr("fill", "#555")
.attr("font-size", fontSize)
.attr("font-family", fontFamily)
.attr("font-weight", fontWeight)
.attr(
"tmpY",
g.select("text").attr("tmpY") || g.select("text").attr("dy")
)
.attr(
"dy",
rotate > 70 && rotate <= 90
? "0.35em"
: rotate >= -90 && rotate < -70
? "0.4em"
: g.select("text").attr("tmpY")
)
.attr(
"text-anchor",
orient === "left"
? "end"
: rotate
? rotate > 0
? "start"
: "end"
: "middle"
)
.attr(
"transform",
`translate(0, 0) ${
rotate ? `rotate(${rotate} 0 ${g.select("text").attr("y")})` : ""
}`
);
})
.node()
.getBBox();
svg.remove();
return {
width: axisStyle.width,
height: axisStyle.height
};
}
let {
margin = { top: 30, right: 20, bottom: 40, left: 50 },
panelsPerRow = 3,
boxHeightRatio = 0.7,
background = "#f0f0f0",
plotAreaBg = "white",
areaBgOpacity = 1,
isBorder = true,
isSmallTitle = true,
grid = false,
isError = true,
barWidthRatio = 1,
barOpacity = 0.7,
errorType = "error",
errorLineColor = "#333",
errorLineWidth = 1,
x_title = "",
x_title_color = "#000",
x_title_font = "Arial",
x_title_size = 14,
x_text_rotate = 90,
x_text_color = "#000000",
x_text_size = 12,
x_text_font = "Arial",
y_title = "",
y_title_color = "#000",
y_title_font = "Arial",
y_title_size = 14,
y_text_color = "#000000",
y_text_size = 12,
y_text_font = "Arial",
main_title = "",
main_title_color = "#000",
main_title_font = "Arial",
main_title_size = 14,
panel_title_font = "Arial",
panel_title_size = 10,
panel_title_color = "#000000",
legend_title = "",
legend_title_color = "#000",
legend_title_size = 14,
legend_title_font = "Arial",
legend_text_color = "#000000",
legend_text_font = "Arial",
legend_text_size = 12,
group_order
} = options.params;
x_text_rotate = -x_text_rotate;
margin.left = isSmallTitle ? 80 : margin.left;
let colors = getColorList(options.params.color);
const box = document.querySelector(options.container);
if (!box || !options.data.plot_data) return;
const metrics = [...new Set(data.map(d => d.metric))];
const dataByMetric = d3.group(data, d => d.metric);
const allGroups = [
...new Set(
metrics.flatMap(metric => dataByMetric.get(metric).map(d => d.group))
)
];
const xDomain =
Array.isArray(group_order) && group_order.length
? group_order.filter(g => allGroups.includes(g))
: allGroups;
const yDomain = options.data.yDomain;
let mainTitleH = getSvgTextStyle({
text: main_title,
fontSize: main_title_size,
fontFamily: main_title_font
}).height;
mainTitleH = main_title ? mainTitleH + 10 : 0;
const xAxisH = getSvgBandAxisStyle({
fontSize: x_text_size,
fontFamily: x_text_font,
rotate: x_text_rotate,
domain: xDomain
}).height;
const maxLength = data.reduce(
(max, item) => Math.max(max, String(item.group).length),
0
);
const legendWidth = 100 + maxLength * 15;
const chartsPerRow = panelsPerRow
? Math.min(panelsPerRow, metrics.length)
: Math.floor(window.innerWidth / chartWidth);
const totalWidth = chartsPerRow * chartWidth + legendWidth;
const rows = Math.ceil(metrics.length / chartsPerRow);
const totalHeight = rows * (chartHeight + xAxisH) + mainTitleH;
!d3.select(options.container).select("svg").empty() &&
d3.select(options.container).select("svg").remove();
const svg = d3
.select(options.container)
.append("svg")
.attr("width", totalWidth)
.attr("height", totalHeight)
.attr("id", "combination-boxPlot");
svg
.append("text")
.attr("class", "main-title")
.attr(
"x",
isSmallTitle
? (totalWidth - legendWidth) / 2
: (totalWidth - legendWidth + margin.left) / 2
)
.attr("y", mainTitleH)
.text(main_title)
.attr("text-anchor", "middle")
.attr("font-family", main_title_font)
.attr("font-size", main_title_size)
.attr("fill", main_title_color);
const chartVerticalOffset = mainTitleH + 25;
metrics.forEach((metric, index) => {
const metricData = dataByMetric.get(metric);
const orderMap = new Map(xDomain.map((g, idx) => [g, idx]));
metricData.sort(
(a, b) => (orderMap.get(a.group) ?? 0) - (orderMap.get(b.group) ?? 0)
);
const row = Math.floor(index / chartsPerRow);
const col = index % chartsPerRow;
const xOffset = col * chartWidth;
const yOffset = row * (chartHeight + xAxisH) + chartVerticalOffset;
const chart = svg
.append("g")
.attr("transform", `translate(${xOffset},${yOffset})`);
const titleWidth = isSmallTitle
? chartWidth - margin.left - margin.right
: 0;
chart
.append("rect")
.attr("class", "title-background")
.attr("x", margin.left)
.attr("y", 0)
.attr("width", titleWidth)
.attr("height", 30)
.style("fill", background)
.style("stroke", "#000")
.style("stroke-width", "1px")
.style("stroke-top", "1px")
.style("stroke-left", "1px")
.style("stroke-right", "1px");
if (isSmallTitle) {
chart
.append("text")
.attr("class", "chart-title")
.attr("x", margin.left + titleWidth / 2)
.attr("y", 20)
.text(metric)
.attr("font-family", panel_title_font)
.attr("font-size", panel_title_size)
.attr("fill", panel_title_color)
.style("text-anchor", "middle");
}
const plotHeight = chartHeight * boxHeightRatio;
if (!isSmallTitle) {
margin.left = 100;
chart
.append("line")
.attr("x1", chartWidth - margin.right)
.attr("y1", margin.top)
.attr("x2", chartWidth - margin.right)
.attr("y2", margin.top + plotHeight)
.style("stroke", "#000")
.style("stroke-width", "1px");
chart
.append("line")
.attr("x1", margin.left)
.attr("y1", margin.top)
.attr("x2", chartWidth - margin.right)
.attr("y2", margin.top)
.style("stroke", "#000")
.style("stroke-width", "1px");
chart
.append("text")
.attr("class", "x-axis-title")
.attr("x", margin.left + (chartWidth - margin.left - margin.right) / 2)
.attr("y", margin.top + plotHeight + margin.bottom + 15)
.text(x_title)
.attr("text-anchor", "middle")
.attr("font-family", x_title_font)
.attr("font-size", x_title_size)
.attr("fill", x_title_color);
chart
.append("text")
.attr("class", "y-axis-title")
.attr("x", -margin.top - plotHeight / 2)
.attr("y", margin.left / 2 - 15)
.text(y_title)
.attr("text-anchor", "middle")
.attr("transform", "rotate(-90)")
.attr("font-family", y_title_font)
.attr("font-size", y_title_size)
.attr("fill", y_title_color);
}
const xScale = d3
.scaleBand()
.domain(xDomain)
.range([margin.left, chartWidth - margin.right])
.padding(0.2);
let metricYDomain = yDomain[metric];
const yScale = d3
.scaleLinear()
.domain(metricYDomain)
.range([plotHeight, 0]);
chart
.append("rect")
.attr("x", margin.left)
.attr("y", margin.top)
.attr("width", titleWidth)
.attr("height", plotHeight)
.style("fill", plotAreaBg)
.style("opacity", areaBgOpacity);
if (grid) {
chart
.selectAll(".y-grid")
.data(yScale.ticks())
.enter()
.append("line")
.attr("class", "y-grid")
.attr("x1", margin.left)
.attr("x2", chartWidth - margin.right)
.attr("y1", d => margin.top + yScale(d))
.attr("y2", d => margin.top + yScale(d))
.style("stroke", "rgba(0, 0, 0, 0.2)")
.style("stroke-opacity", 1)
.style("stroke-width", 0.5);
chart
.selectAll(".x-grid")
.data(xScale.domain())
.enter()
.append("line")
.attr("class", "x-grid")
.attr("x1", d => xScale(d) + xScale.bandwidth() / 2)
.attr("x2", d => xScale(d) + xScale.bandwidth() / 2)
.attr("y1", margin.top)
.attr("y2", margin.top + plotHeight)
.style("stroke", "rgba(0, 0, 0, 0.2)")
.style("stroke-opacity", 1)
.style("stroke-width", 0.5);
}
if (isBorder) {
chart
.append("rect")
.attr("x", margin.left)
.attr("y", margin.top)
.attr("width", titleWidth)
.attr("height", plotHeight)
.style("stroke", "#000")
.style("stroke-width", "1px")
.style("fill", "none");
}
metricData.forEach((d, i) => {
if (!d.bar) return;
const color = colors[i % colors.length];
const center = xScale(d.group) + xScale.bandwidth() / 2;
const barWidth = xScale.bandwidth() * barWidthRatio;
chart
.append("rect")
.attr("class", "bar")
.attr("x", center - barWidth / 2)
.attr("y", margin.top + yScale(d.bar.value))
.attr("width", barWidth)
.attr("height", plotHeight - yScale(d.bar.value))
.attr("fill", color)
.attr("opacity", barOpacity);
if (isError && d.bar.error) {
const currentYDomain = yDomain[metric];
let errorTop = 0;
let errorBottom = 0;
if (errorType === "error") {
errorTop = Math.min(d.bar.value + d.bar.error, currentYDomain[1]);
errorBottom = Math.max(d.bar.value - d.bar.error, currentYDomain[0]);
} else {
errorTop = Math.min(d.bar.value + d.bar.deviation, currentYDomain[1]);
errorBottom = Math.max(
d.bar.value - d.bar.deviation,
currentYDomain[0]
);
}
chart
.append("line")
.attr("class", "error-line")
.attr("x1", center)
.attr("x2", center)
.attr("y1", margin.top + yScale(errorTop))
.attr("y2", margin.top + yScale(errorBottom))
.attr("stroke", errorLineColor)
.attr("stroke-width", errorLineWidth);
chart
.append("line")
.attr("class", "error-cap")
.attr("x1", center - barWidth / 5)
.attr("x2", center + barWidth / 5)
.attr("y1", margin.top + yScale(errorTop))
.attr("y2", margin.top + yScale(errorTop))
.attr("stroke", errorLineColor)
.attr("stroke-width", errorLineWidth);
chart
.append("line")
.attr("class", "error-cap")
.attr("x1", center - barWidth / 5)
.attr("x2", center + barWidth / 5)
.attr("y1", margin.top + yScale(errorBottom))
.attr("y2", margin.top + yScale(errorBottom))
.attr("stroke", errorLineColor)
.attr("stroke-width", errorLineWidth);
}
});
const xAxis = d3.axisBottom(xScale);
chart
.append("g")
.attr("class", "x-axis")
.attr("transform", `translate(0,${margin.top + plotHeight})`)
.call(xAxis)
.call(g => {
g.selectAll(".tick text")
.attr("fill", x_text_color)
.attr("font-size", x_text_size)
.attr("font-family", x_text_font)
.each(function () {
const text = d3.select(this);
text.attr("tmpY", text.attr("dy") || 0);
})
.attr("dy", (d, i, nodes) => {
const text = d3.select(nodes[i]);
const rotate = x_text_rotate;
if (rotate > 70 && rotate <= 90) return "0.35em";
if (rotate >= -90 && rotate < -70) return "0.4em";
return text.attr("tmpY");
})
.attr("text-anchor", () =>
x_text_rotate ? (x_text_rotate > 0 ? "start" : "end") : "middle"
)
.attr("transform", (d, i, nodes) =>
x_text_rotate
? `rotate(${x_text_rotate} 0 ${d3.select(nodes[i]).attr("y")})`
: ""
);
});
const yAxis = d3.axisLeft(yScale);
chart
.append("g")
.attr("class", "y-axis")
.attr("transform", `translate(${margin.left},${margin.top})`)
.call(yAxis)
.selectAll(".tick text")
.attr("fill", y_text_color)
.attr("font-size", y_text_size)
.attr("font-family", y_text_font);
});
const legend = svg
.append("g")
.attr("class", "legend")
.attr(
"transform",
`translate(${chartsPerRow * chartWidth + 20}, ${
30 + chartVerticalOffset
})`
);
legend
.append("text")
.attr("class", "legend-title")
.attr("x", 0)
.attr("y", -15)
.text(legend_title)
.attr("font-family", legend_title_font)
.attr("fill", legend_title_color)
.attr("font-size", legend_title_size);
const groups = xDomain;
groups.forEach((group, i) => {
const legendItem = legend
.append("g")
.attr("transform", `translate(0, ${i * 15})`);
legendItem
.append("rect")
.attr("width", 10)
.attr("height", 10)
.attr("fill", colors[i % colors.length]);
legendItem
.append("text")
.attr("class", "legend-item")
.attr("x", 15)
.attr("y", 9)
.text(group)
.attr("font-family", legend_text_font)
.attr("fill", legend_text_color)
.attr("font-size", legend_text_size);
});
};
export default CombinationBoxPlot;
调用:
multibarplot({
container: "#barplot-container",
data: plots,
params: chartParam
});
参数:
const bar_params = {
width: 100,
height: 100,
panelsPerRow: 2,
type: "barPlot",
grid: false,
meanValue: false,
color: "NPG",
barOpacity: 0.7,
signColor: "rgba(0, 0, 0, 0.8)",
background: "#f0f0f0",
borderSelect: "fill",
isSmallTitle: true,
errorType: "error",
group_order: [],
main_title: "",
main_title_font: "Arial",
main_title_color: "#000000",
main_title_size: 12,
x_title: "111",
x_title_size: 12,
x_title_font: "Arial",
x_title_color: "#000000",
x_text_font: "Arial",
x_text_size: 12,
x_text_color: "#000000",
x_text_rotate: 45,
y_title: "222",
y_title_size: 12,
y_title_font: "Arial",
y_title_color: "#000000",
y_text_font: "Arial",
y_text_size: 12,
y_text_color: "#000000",
legend_title: "",
legend_title_size: 12,
legend_title_font: "Arial",
legend_title_color: "#000000",
legend_text_font: "Arial",
legend_text_size: 12,
legend_text_color: "#000000"
};
效果图:

