参考:
教材/书籍:自动控制原理
博客:
【自动控制原理】二阶系统和高阶系统的时域性能分析,主导极点(上海理工大学)
目录
第一章:绪论
1.1基本概念
所谓自动控制,是指在没有人直接参与的情况下,利用外加的设备或控制装置使整个生产过程或工作机械自动地按预定的规律运行,或使它的某些物理量按预定的要求发生变化。
控制系统发展的三个理论阶段:
|--------------|-----------------------------------------------------------------------|
| 经典控制理论阶段 | 建立在s平面上,通过拉普拉斯变换得到传递函数。 包括:时域分析法,根轨迹法,频率特性法,相平面法,描述函数法等。 |
| 现代控制理论阶段 | 建立在状态空间上,对系统建模分析。 现代控制理论的基本内容包括:线性系统基本理论、最优控制、系统辨识、自适应控制、最佳滤波、鲁棒控制理论等 |
| 智能控制理论阶段 | 专家控制系统,模糊控制系统,神经网络,学习控制系统。 |
控制系统的基本构成:
|------------|------------------------------------------------------------------------------------------------------------------------------------------------------------------------------------------------------|
| 开环控制系统 |
没有反馈回路 |
| 闭环控制系统 |
以偏差信号作为控制器的输入 闭环控制系统的特点为: ①由负反馈构成闭环,利用偏差信号进行控制: ②对于外界扰动和系统内参数的变化等引起的偏差能够自动纠正; ③系统元件参数配合不当,容易产生振荡,使系统不能正常工作,因而存在稳定性问题。 |
控制系统的分类:
|--------|----------------------|
| 信号传递路径 | 开环控制系统,闭环控制系统 |
| 输入信号特征 | 恒值控制系统,随动控制系统,程序控制系统 |
| 控制器的形式 | 连续模拟式控制系统,离散数字式控制系统 |
各种类型不是独立的,是相互综合的,比如经典控制理论研究的就是单输入,单输出,线性,定常系统。
1.2自动控制系统的分析和设计步骤
基本要求: 系统的被控量能迅速准确的跟踪参考量的变化,二者保持一定的函数关系,并且尽可能使这种关系不受任何干扰的影响。
- 稳定性:动态过程要平稳
- 快速性:响应动作要快速
- 准确性:最终跟踪要准确
完整的设计过程包含四个步骤:
- 第一步:确定设计目标。设计被控量的性能指标
- 第二步:确定控制系统的结构。选择驱动装置和适配的传感器
- 第三步:理论建模与设计。建立控制系统的数学模型
- 第四步:实验室或现场调试。
第二章:拉普拉斯变换
2.1基本概念
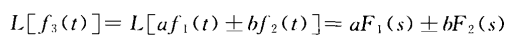
系统的动态数学模型:描述变量各阶导数的相互关系的微分方程
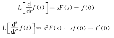
**拉氏变换的定义:**当t≥0时,f(t)有定义,且积分存在
则称F(s)为f(t)的拉氏变换,也称为象函数,f(t)为F(s)的拉氏反变换,也称为原函数。
表示为
基本环节的拉氏变换
|------------|------------------------------------------------------------------------------------------------------------------------------------------------------|
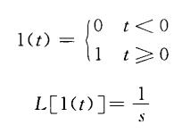
| 单位阶跃函数 | 
|
| 单位斜坡函数 | 
|
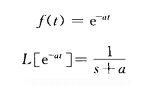
| 指数函数 | 
|
| 正弦函数 |
|
| 余弦函数 |
|
正弦函数和余弦函数的变换可以用欧拉公式得到
2.2常用性质和定理
常用的性质有
|-----------|---------------------------------------------------------------------------------------------------------------------------------------------------------------------------------------------------------------------------------------------------------------------------------------------------------------------------------------------------------------------------------------------------------------------------------------------------------------------------------------------------------------------------------------------------------------------------------------------------------------|
| 线性性质 | 线性系统满足叠加原理
线性性质为:
|
| 微分性质 | 前提是原函数存在高阶微分 
微分性质为: 在零初始条件下可简化:
则 |
| 积分性质 | |
| 延迟性质 | t<0时,f(t)=0 |
| 复位移性质 | |
有如下定理
|----------|--------------------------------------------------------------------------------------------------------------------------|
| 初值定理 | |
| 终值定理 | |
2.3拉普拉斯反变换
象函数的一般表达式

求解拉氏反变换时,一般先采用部分分式分解法将象函数的有理分式分解为简单分式
之和,然后再通过查找拉氏变换表获得各简单分式的原函数。
一般步骤是:
- 对分母进行因式分解
- 确定待定系数
- 拉氏反变换
象函数有重根 的情况,有几个重根就需要构成几个部分分式,具体可以学习分部积分法。
2.4求解微分方程
对微分方程作拉氏变换,可以得到原函数的代数方程,求解代数方程后,再经过拉氏反
变换,就可以得到微分方程的解。
第三章:控制系统的数学模型
经典理论控制中常用的模型是传递函数
3.1系统的微分方程
控制系统是由多个相互关联的物理子系统按特定的关系架构而成的,要分析系统的性
能就必须建立该系统的数学模型。换句话说,需要用数学的语言描述各个物理环节,进而描
述整个系统。一般情况下,可以根据物理系统所满足的某些守恒定律 ,经过线性化近似处
理,建立相应的线性动态系统微分方程 ,描述输人与输出信号之间的特定关系 。在给定输人
信号的作用下,求解微分方程可以得到系统的输出响应。
3.2传递函数
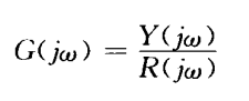
传递函数: 在零初始条件下,输出信号的拉氏变换与输入信号的拉氏变换之比称为该系统的传递函数,用**G(s)**表示
单输入单输出的线性定常系统,由n阶常微分方程描述,拉氏变换后得到传递函数,其中m,n分别为输入输出的最高阶次。
传递函数的性质:
- 一个确定系统的微分方程是唯一的,其传递函数也是唯一的
- 传递函数由系统的结构和参数决定,与系统的输入输出量无关
一些专业术语:
- 系统的闭环特征方程:即令G(s)的分母多项式等于零
- 系统的最高阶次n:是特征方程的最高阶次
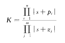
- 系统的特征根:也称为极点,是闭环特征方程的解,用p表示
- 系统的零点:令分子多项式等于零时的解用z表示
3.3系统结构图
系统结构图有四个基本组成部分(要素):

闭环控制的系统结构图:
如图为自动控制系统的基本结构图,

:被控过程,p为"process"
:控制器,c为"controller"
- **前向通道:**从输入端
到输出端
的信号通道,传递函数为
- **反馈通道:**从输出端
到输入端
的信号通道,传递函数为
- **开环控制函数:**输入端为
,输出为反馈通道在综合点前的输出,传递函数为
典型环节构成的系统:
任何系统都是由多个子系统通过一定连接构成的,而这些子系统又可以分解为某些典型的环节。
| 环节 | 传递函数 |
|---|---|
| 比例环节 | |
| 积分环节 | |
| 惯性环节 | |
| 一阶微分环节 | |
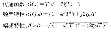
| 二阶震荡环节 |
结构图的化简:
|----------|----------|-----------------------------------------------------------------------------------------------------------------------------------------------------------------------------------------------------------------------------------------------------------------------------------------------------------------------------------------------------------------------------------------------------------------------------------------------------------------------------------------------------------------------------------------------------|
| 化简类别 | 结构 | 化简 |
| 基本结构 | 串联结构 | 化简前:
化简后:
总传递函数等于各串联传递函数的乘积 |
| 基本结构 | 并联结构 | 化简前:
化简后:
总传递函数等于各并联传递函数的代数和 |
| 基本结构 | 反馈结构 | 化简前:
化简后:
|
| 节点移动 | 分支点前移/后移 | 分支点前移: 虚线为封闭区域,无论封闭区域内部的分支点如何移动,都需要保证各输入输出支路在封闭域边缘没有变化。由图a到图b的变化破坏了这个原则,因此正确的变换应该是图c
分支点后移: 和分支点前移的规则一样
总结: 前移,移动支路上需串联跨越的函数方块G(s); 后移,串联1/G(s); |
| 节点移动 | 综合点前移/后移 | 综合点前移:
后移:
总结: 前移,串联跨越函数方块的倒数,1/G(s); 后移,串联跨越的函数方块G(s); |
结构图化简的注意事项:
|-----------------------|----------------------------------------------------------------------------------------------------------------------------------------------------------------------|
| 相邻的综合点可以交换位置 | 将嵌套结构分开,便于后续化简
|
| 相邻的分支点可以交换位置 |
|
| 相邻的综合点和分支点不可以交换位置 |
这样的情况不能交换位置 |
**例题:**需要将综合点a移出反馈回路E1,同时将分支点b移出反馈回路E2
解答:
此时,反馈回路已经独立,不再相互交叉,可以独立化简
3.4信号流图与梅森公式
结构图化简需要多次绘制,很麻烦,信号流图更为简便。
将结构图转化为信号流图,运用梅森公式,能够轻而易举获得系统输入输出传递函数。

信号流图的基本元素:
- 节点:"." 相当于分支点和综合点,其值等于所有进入该节点的信号之和
- 支路:"
" 从一个节点指向另一个
- **增益:**表现为传递函数或常数,相当于函数块
信号流图的术语:
|------------|-----------------------------------|
| 混合节点 | 既有输入信号又有输出信号的节点,如E1 |
| 输入节点 | 只有输出没有输入 |
| 输出节点 | 只有输入没有输出 |
| 通路 | 沿支路上箭头的方向,将多个节点相连的路径,总增益为各支路增益的乘积 |
| 回路 | 起点和终点在同一节点,并通过其他任何支点不多于一次的闭合通路 |
| 互不接触回路 | 互相之间没有任何公共节点的回路 |
信号流图与结构图的转换:
信号流图可以由系统结构图转换得到。一般来说,结构图中的分支点和综合点对应信号流图中的节点;结构图中的函数方块则对应信号流图中的增益;结构图中的负反馈应将负号移入反馈支路的增益中。


虚线框显示了特殊情况,分支点c与综合点d相邻,若分支点在综合点前,则二者之间要有一条增益为1的支路,否则后续会出错;若综合点在分支点前,则二者可以简化为一个点。
梅森(MASON)公式:
对于信号流图,可以利用梅森公式直接求出输入节点到输出节点的总增益,也就是系统的输入输出传递函数,梅森公式的表达式是:
- G:表示总增益
:系统特征式,
描述了所有反馈回路对整个系统的综合影响。
:所有单回路的总增益之和
:所有两两互不接触回路的总增益之和
:所有三三互不接触回路的总增益之和
- ...
- k:表示前向通路的序号
:第k条前向通路
:第k条前向通路的特征余子式,特征余子式 Δk 的核心作用是**精确计算每条前向通路在不受其接触回路影响下的有效增益,**在计算某条前向通路的增益时,剔除该通路所接触的所有回路的影响。
分子是所有前向通路的 "有效增益" 之和。分母描述了所有反馈回路对整个系统的综合影响。
第四章:控制系统的时域分析
4.1线性系统的稳定性
系统的稳定性是系统处于平衡状态时受到外力扰动后的自由运动特性,也就是说,在外力消失后系统从初始偏离位置回到平衡点的能力。
自动控制系统稳定性 的定义为:线性系统处于某一初始平衡状态,在外力作用影响下偏
离了原来的平衡状态,当外力作用消失后,若经过足够长的时间,系统能够回到原平衡状态
或回到平衡点附近,则称系统是稳定的,或称系统具有稳定性;否则,称系统是不稳定的或不
具有稳定性。
稳定性是系统自身去掉外力作用后的一种恢复能力,是系统的一种固有特性,它只取决
于系统的结构和参数,而与初始条件及外力作用无关。
线性系统稳定的充要条件:
系统特征方程的根(即系统的闭环极点),均为负数或具有负实部的共轭复数。
4.2劳斯判据
对于一阶和二阶系统,特征根容易得出,但对于高阶要得到具体的特征根比较困难。事实上,只需要知道特征根是否都位于s平面的左半平面即可,劳斯判据能根据代数方程的各项系数判断该代数方程有几个根位于s平面的右半平面,以确定方程是否具有正实部根。
稳定判据:
设系统的特征方程为:
- 若此闭环特征方程中的各项系数
不是全部同号或有等于零的项(缺项),则系统不稳定
- 若各项系数都是正值,将系数按以下规律排成劳斯表
劳斯表:
|---------------------------------------|---------------------------------------|---------------------------------------|---------------------------------------|---------------------------------------|------------|
| |
|
|
|
| ...... |
| |
|
|
|
| ...... |
| |
|
|
| ...... | |
| |
|
| ...... | | |
| ...... | ...... | | | | |
| |
|
| | | |
| |
|
| | | |
| |
| | | | |
劳斯表主要分为三大块:
- 最左边一列由s的各阶次项从大到小纵向排列;
- 最上面两行由特征方程的各项系数按规定排列构成;
- 其他元素由公式计算得出:


以此类推,直至行为止,为了简化计算,可用一个正数去乘或除某一行中的各项,这样并不改变稳定性的结论。劳斯判据指出,**劳斯表的第一列元素按从上到下的顺序,其符号变化的次数,决定了特征方程正实部根的数目。**这个判据表明,对稳定系统而言,其劳斯表第一列元素没有符号变化,这是线性系统稳定的充要条件。
**劳斯判据:**线性系统稳定的充要条件是劳斯表中第一列各项元素均为正。特征方程具有正实部根的个数,等于劳斯表第一列中系数改变符号的次数。
两种特例的处理:
- 劳斯表中第一列出现0元素: 可以用一个很小的正数
代替这个零元素完成后续计算,此后计算所得不会是一个确定的值,而是含有它的多项式,最后再求极限趋近于0时的值,判断正负性。
- 劳斯表中出现全零行: 如果某行的所有元素都为0,说明特征方程可能具有关于s平面原点对称的根,这部分特征根在特征方程中的表现形式可由前一行元素构成辅助特征多项式获得,如图可构建
,对辅助多项式求导得
,用4代替0来完成计算。
|----------------------------------------------------------------------------|----------------------------------------------------------------------------|
|
|
|
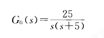
4.3劳斯判据的应用
确定参数的取值范围:
劳斯判据最基本的应用当属在已知闭环特征方程的前提下,判别反馈系统的稳定性。
除此之外,当闭环特征方程中的某个参数未知时,可以应用劳斯判据在保证闭环系统稳定的
条件下,判断参数的取值范围。
例如判断k的取值范围

列出劳斯表后看k如何取值能让系统稳定即可,即为0<K<14/9。
控制系统的相对稳定性:
劳斯判据除判断系统稳定性外,还可以对系统的相对稳定性进行分析。所谓相对稳定
性,是指系统稳定的程度或深度,表示稳定状态距离临界稳定或不稳定的程度,也称为稳定
裕量。
对一个稳定的系统,稳定裕量定义为系统在S左半平面上最靠近虚轴的特征根与虚轴之间的距离。为计算这个稳定裕量,可以用试探法将虚轴左移,如果虚轴在左移过程中与系统的特征根相遇,这时虚轴向左移动的距离就称为稳定裕量。

例:已知特征方程:计算其稳定裕量。
用去试探,即用s-1代替s,刚好新的s平面原点处存在一个特征根,即为试探的
就是系统的稳定裕量。
4.4一阶系统的时域分析
典型的输入测试信号
典型的测试信号有:单位阶跃信号,单位斜坡信号,单位抛物线信号
|----------------------------------------------------------------------------|----------------------------------------------------------------------------|----------------------------------------------------------------------------|
| 单位阶跃信号 | 单位斜坡信号 | 单位抛物线信号 |
|
|
|
|
| |
|
|
一阶系统的典型结构
用一阶微分方程描述的系统称为一阶系统。表达式为:
|----------------------------------------------------------------------------|----------------------------------------------------------------------------|
|
|
|
一阶系统的单位阶跃响应
闭环系统在s平面上的特征根为。在单位阶跃信号作用下,系统的输出响应为

系统的时间常数: 一阶系统传递函数中的参数
,决定了闭环极点的位置,也反映了系统进入稳态的速度,T越大时间越长。
一阶系统的设计:一旦确定了系统类型,只需要少量参数就能求解时间常数。
4.5二阶系统的时域分析
二阶系统是可用二阶常系数线性微分方程描述的线性定常系统 ,是控制理论中最基础且应用最广的系统模型(如 RLC 电路、弹簧 - 质量 - 阻尼系统、电机调速系统等)。其核心特征是动态响应可能存在振荡特性,由两个关键参数决定。
二阶系统的典型结构
无阻尼自然振荡角频率(rad/s)
- ζ:阻尼比(无量纲,核心参数)
二阶系统的单位反馈结构

其中
|------------------------|----------------------------------------------------------------------------|
| 开环传递函数 |
|
| 闭环传递函数 (多项式形式) |
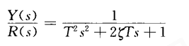
|
| 时间常数形式 |
|
主要有三个参数:
系统的阻尼系数,也称为阻尼比
是系统的自然震荡频率
是系统的时间常数
二阶系统的动态特性主要由和
决定。
阻尼比与单位阶跃响应
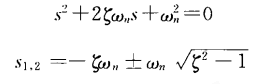
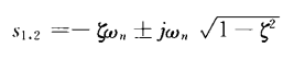
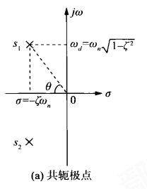
二阶系统一共有两个特征根,围绕闭环传递函数式,求解特征方程可以得到

随着的不同,特征根在s平面的分布也不一样。
|-----------------------------------------------|----------------------------------------------------------------------------------------------------------------------------------------------------------------------------------------|-------------------------------------------------------------------------------------------------------------------------------------------------------|
| | 系统的特征根 | 图像 |
| 欠阻尼: |
一对共轭的复极点 |
|
| 无阻尼: |
一对纯虚根 结合劳斯判据,一对纯虚根的系统是临界稳定的,系统的单位阶跃响应是不衰减的等幅振荡,其震荡频率,称为无阻尼下的自然震荡频率 |
|
| 临界阻尼: | 系统的一对极点位于实轴上,是一对重极点
|
|
| 过阻尼: | 此时,系统在负实轴上有两个相异极点
|
|
matlab仿真
Matlab
function second_order_impulse(zeta, wn)
% SECOND_ORDER_IMPULSE 二阶系统冲激响应仿真与动态性能分析
% 输入参数:
% zeta - 阻尼比(无量纲),zeta >= 0
% wn - 无阻尼自然振荡角频率(rad/s),wn > 0
% 输出:
% 1. 冲激响应曲线图(含不同阻尼状态标注)
% 2. 命令行输出核心动态性能指标(仅欠阻尼状态有效)
%% 1. 参数合法性校验
if wn <= 0
error('无阻尼自然振荡角频率wn必须大于0!');
end
if zeta < 0
error('阻尼比zeta不能为负数!');
end
%% 2. 构建二阶系统传递函数(冲激响应对应传递函数直接输出)
% 二阶系统标准传递函数:G(s) = wn? / (s? + 2*zeta*wn*s + wn?)
num = wn^2; % 分子
den = [1, 2*zeta*wn, wn^2]; % 分母
sys = tf(num, den); % 构建传递函数模型
%% 3. 生成冲激响应数据
t_end = 10 / (zeta*wn + eps); % 仿真时长(保证响应衰减完全,eps避免除零)
t = linspace(0, t_end, 1000); % 时间轴,1000个采样点
[y, t] = impulse(sys, t); % 计算冲激响应
%% 4. 计算动态性能指标(仅欠阻尼0<zeta<1时有效)
if zeta > 0 && zeta < 1
% 阻尼振荡角频率
wd = wn * sqrt(1 - zeta^2);
% 1. 峰值时间tp
[y_max, idx_max] = max(y);
tp = t(idx_max);
% 2. 超调量σ%(冲激响应无稳态值,超调量相对峰值的归一化)
sigma = (y_max - 0) / (wn^2/(2*zeta*wn)) * 100; % 冲激响应超调量定义
% 3. 调节时间ts(2%误差带)
steady_val = 0; % 冲激响应稳态值为0
error_band = 0.02 * max(abs(y)); % 2%误差带(相对最大幅值)
% 从后往前找首次进入误差带的时间
ts = t_end;
for i = length(t):-1:1
if abs(y(i) - steady_val) > error_band
ts = t(i+1);
break;
end
end
% 4. 上升时间tr(从0上升到第一个峰值的时间)
tr = tp - (pi - atan(sqrt(1-zeta^2)/zeta))/wd;
tr = max(tr, 0); % 避免负数
% 命令行输出指标
fprintf('\n========= 二阶系统动态性能指标(欠阻尼,ζ=%.2f,ω?=%.2f rad/s)=========\n', zeta, wn);
fprintf('阻尼振荡角频率 ω_d = %.4f rad/s\n', wd);
fprintf('峰值时间 tp = %.4f s\n', tp);
fprintf('上升时间 tr = %.4f s\n', tr);
fprintf('超调量 σ%% = %.2f %% \n', sigma);
fprintf('调节时间 ts(2%%误差带)= %.4f s\n', ts);
fprintf('=============================================================\n');
elseif zeta == 1
% 临界阻尼
fprintf('\n========= 二阶系统状态(临界阻尼,ζ=1)=========\n');
fprintf('无振荡,响应单调衰减,无超调量/峰值时间指标!\n');
fprintf('=================================================\n');
elseif zeta > 1
% 过阻尼
fprintf('\n========= 二阶系统状态(过阻尼,ζ=%.2f)=========\n', zeta);
fprintf('无振荡,响应单调衰减,无超调量/峰值时间指标!\n');
fprintf('==================================================\n');
else % zeta == 0
% 无阻尼
fprintf('\n========= 二阶系统状态(无阻尼,ζ=0)=========\n');
fprintf('等幅振荡,系统临界稳定,无衰减,无动态性能指标!\n');
fprintf('===============================================\n');
end
%% 5. 绘制冲激响应图像
figure('Color','w','Position',[100,100,800,600]);
plot(t, y, 'b-', 'LineWidth',1.5);
grid on; hold on;
% 标注关键特征点(欠阻尼)
if zeta > 0 && zeta < 1
plot(tp, y_max, 'ro', 'MarkerSize',6, 'DisplayName',['峰值点 (',num2str(tp,'%.3f'),'s, ',num2str(y_max,'%.3f'),')']);
plot(ts, y(find(t>=ts,1)), 'gs', 'MarkerSize',6, 'DisplayName',['调节时间 (',num2str(ts,'%.3f'),'s)']);
legend('冲激响应','峰值点','调节时间','Location','best');
else
legend('冲激响应','Location','best');
end
% 图像标注
title(sprintf('二阶系统冲激响应(ζ=%.2f,ω?=%.2f rad/s)', zeta, wn));
xlabel('时间 t (s)');
ylabel('输出 y(t)');
% 标注阻尼状态
if zeta == 0
text(t_end*0.7, max(y)*0.8, '无阻尼(等幅振荡)', 'Color','r','FontSize',10);
elseif zeta > 0 && zeta < 1
text(t_end*0.7, max(y)*0.8, '欠阻尼(衰减振荡)', 'Color','r','FontSize',10);
elseif zeta == 1
text(t_end*0.7, max(y)*0.8, '临界阻尼(无振荡)', 'Color','r','FontSize',10);
else
text(t_end*0.7, max(y)*0.8, '过阻尼(无振荡)', 'Color','r','FontSize',10);
end
hold off;
end
仿真出来的图像为
|------|-------------------------------------------------------------------------------------------------------------------------------------------------------|
| 无阻尼 |
|
| 欠阻尼 |
|
| 临界阻尼 |
|
| 过阻尼 |
|
动态性能指标
控制系统的动态性能指标是以系统的单位阶跃响应来进行评价的,
|--------------------------------------------|---------------------------------------------------------------------------------------------------------------------------------------------------------------------------------------------------|
| 动态性能指标 | 含义与计算公式 |
| 上升时间 | 输出响应从零到第一次到达稳态值的时间。对于过阻尼系统,由于不存在超调,因此取输出响应在稳态值的10%~90%的这段时间作为上升时间。
|
| 峰值时间 | 系统输出第一次达到的最大值称为峰值,达到峰值所花费的时间称为峰值时间。
|
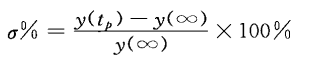
| 最大超调量% | 反映系统响应的最大值超出系统稳态值的百分比。
|
| 调整时间 | 当输出与稳态值之间的偏差达到了规定允许的范围(稳态值的
5%或
2%),且之后不再超出此范围所需的最小时间。
|
主要参数与系统动态性能的关系
- 平稳性:对应最大超调量,越小,平稳性越好
- 快速性:对应调整时间,在阻尼比一定时,主要由自然震荡频率决定。时间越短,快速性越好。
4.6二阶系统的设计
总结上述动态性能指标的概念和计算,可以得出以下4句口诀:
- 研究一个闭环系统
- 包含两个主要参数,
和
- 关心三类性能指标,时间
,峰值
,超调
%
- 利用4个计算公式
已知开环传递函数求主要参数
例如:开环传递参数如下

求解系统的阻尼比和自然震荡频率
解答:直接和二阶系统的典型结构对比,得出阻尼比为0.5,自然震荡频率是5
同样的有以下问题
- 已知闭环传递函数求动态性能指标
- 已知动态性能指标求传递函数
- 已知单位阶跃响应求传递函数
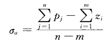
4.7控制系统的稳态误差
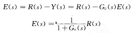
稳态误差是控制系统的一个重要稳态性能指标。对控制系统而言,希望控制系统的输
出量按输人的期望值变化,并尽量不受内部和外部的干扰影响。但是,实际的控制系统输出
响应与期望值相比可能存在误差,这是由于系统结构中存在不可避免的影响因素以及输入
信号的不同类型等造成的。
误差定义为:
为反馈量
误差可以由系统的输入量与实际输出量定义:
闭环控制系统的典型结构:
|----------------------------------------------------------------------------|----------------------------------------------------------------------------|
|
|
|
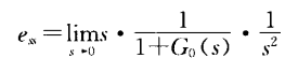
稳态误差的计算
需要用到拉氏变换的终值定理:

具有如下推导


讨论的前提是闭环控制系统是稳定的。
以开环传递函数包含的积分环节数目,将系统分为
- v = 0,不含积分环节,为0型系统,开环传递函数为

- v = 1,含有一个积分环节,称为Ⅰ型系统,开环传递函数为

- v = 2,含有两个积分环节,称为Ⅱ型系统,开环传递函数为

对于v>2的系统,一般不做研究.
在不同输入信号作用下的稳态误差
|-----------------------------------------------------------------------------|---------------------------------------------------------------------------------------------------------------------------------------------------------------------------------------------------------------------------------------------------------------------------------------------------------------------------------------------------------------------------------------------------------------------------------------------|
| 单位阶跃输入 | 稳态误差为:
定义位置误差系数:
带入可得对于三种系统的稳态误差: * 0型系统,
* Ⅰ型系统,
* Ⅱ型系统,
|
| 斜坡输入 |
|
| 单位抛物线输入 |
|
不同信号作用下的稳态误差和稳态误差系数
|------|--------------------------------------|--------------------------------------|-------------------------------------|---------|--------------------------------------|--------------------------------------|
| 系统类型 | 稳态误差系数 ||| 典型输入信号作用下的稳态误差 |||
| 系统类型 | |
|
| 单位阶跃 | 单位斜坡 | 单位抛物线 |
| 0型 | K | 0 | 0 | 1/(1+K) | |
|
| Ⅰ型 | | K | 0 | 0 | 1/K |
|
| Ⅱ型 | |
| K | 0 | 0 | 1/K |
扰动误差的概念
在任何情况下,所有控制系统除了承受给定输入信号作用外,还不可避免的受到扰动信号的影响而破坏系统的期望性能。这两种信号作用于系统的位置是不同的。

通常用于计算在不同扰动信号下的稳态误差。

第五章:根轨迹法
5.1基本概念
控制系统的稳定性完全由它的特征根所确定,而特征根又与系统参数有密切关系。在
控制系统的时域分析中,研究了某些参数对系统的动态响应和稳态性能的影响,尤其在系统
稳定性方面,限制了参数的取值范围。如果系统中某个参数发生变化,特征根会发生怎样的
变化,是否会导致系统稳定性发生改变呢?仅采用劳斯判据计算参数的每一次具体取值对
系统稳定性的影响,显然是很繁琐的,难以在实际中应用。
1948年,W.R.Evans研究了一种求特征根的图解方法。它根据系统开环传递函数中
极点和零点的分布,依照特定的规则,用作图的方法绘制出随系统某个参数变化时特征根的
变化轨迹。不仅避免了复杂的数学计算,而且系统中该参数的变化对特征根的分布会产生
怎样的影响,也可以很容易地从图中看出来。
根轨迹的定义
根轨迹就是当系统中某一参数发生变化时,系统闭环特征根在s平面上描绘的曲线
举例:设有单位反馈系统的开环对象为
判断当开环增益(开环放大倍数)K从0逐渐增大到,闭环系统特征根的变化趋势。
解:
先求闭环特征方程,再获得特征根
这是一个二阶对象,有两个特征根,K小于0.25时,是实根;大于0.25时,是一对共轭复根
- 参数K从(0,0.25)选数,看特征根随K的选择如何变化
- 再从(0.25,
)选数,看特征根随K的选择如何变化
- 画出特征根随k变化的根轨迹

如图所示,图中一共有两条根轨迹,分别对应两个特征根的变化轨迹。
- 轨迹从K=0的对应位置开始,分别是一2和一3,正好是开环对象的极点;
- 轨迹的终止位置对应K=
时的特征根,是一对共轭复数,实部均等于一2.5,而虚部则分别为
和
,即延伸到无穷远处。
从例中可以了解一部分绘制根轨迹的规则:
- 根轨迹的数量取决于闭环特征根的数量;
- 根轨迹的起点在开环对象的极点位置;
- 根轨迹是关于实轴对称的。
根轨迹的开环传递函数
除了开环增益,开环传递函数中的其它参数也有可能是可变参数

根轨迹的增益
在绘制根轨迹时,开环对象通常采用零极点形式:
其中和
分别是开环对象的零点和极点,K称为根轨迹增益
5.2根轨迹的基本条件
闭环控制系统:

闭环传递函数为:

研究闭环特征根,从而研究根轨迹:

即为,s平面上的任意一点带入等式成立即为根轨迹上的一点。
开环传递函数的零极点形式反映了向量的加减乘除关系,其结果也是向量,可用极坐标形式描述

比较可得这两个条件
- 幅值条件:幅值为1

- 相角条件,

幅值条件和相角条件是绘制根轨迹的基础,我们在这个基础上已经总结出了七条规则,顺着这些规则可以逐步绘制出准确的根轨迹图。
(1)根轨迹的数量和对称性。
(2)根轨迹的起点和终点。
(3)根轨迹的渐近线。
(4)实轴上的根轨迹段落。
(5)根轨迹在实轴上的分离点和会合点。
(6)根轨迹的出射角和人射角。
(7)根轨迹与虚轴的交点。
5.3绘制根轨迹的基本法则一
根轨迹的连续性,对称性
特征方程中的系数是连续变化的,其根也连续变化,所以特征方程的根轨迹是连续的。对于开环传递函数,其分子是m阶有理多项式,有m个开环零点;分母是n阶有理多项式,有n个开环极点。这些零极点要么位于实轴上,是实数;要么位于实轴以外,是共轭复数,而且成对出现。因此,根轨迹是一组对称于实轴的有向曲线。
根轨迹的起点与终点
根轨迹的起点是指K=0时 根轨迹的点。根轨迹的**终点是指K→**时根轨迹的点。
由闭环系统的特征方程:

根轨迹的数量
根轨迹起始于开环极点,终止于开环零点。而开环极点的个数通常大于开环零点的个数,因此根轨迹的数量等于开环极点的个数。开环零点不足的则以无穷远处作为开环零点。
实轴上的根轨迹段落
位于实轴上的开环零极点将实轴分为多个段落,凡是右边具有奇数个零极点的部分是根轨迹。

5.4绘制根轨迹的基本法则二
根轨迹的渐近线
根轨迹的数量取决于开环极点,但终止于开环零点,当开环零点数量不足,根轨迹将趋于无穷远处,因此需要渐近线将根轨迹沿特定方向引向无穷远处。
渐近线的数量: 系统有n个开环极点,m个开环零点时,需要n一m条渐近线。
渐近线在实轴上的交点:

渐近线从实轴发散的角度:

从式中可以看出渐近线的角度仅取决于渐近线的数量,而与开环零极点的位置无关。为此,我们可以对渐近线的发散角度总结出结论。

根轨迹在实轴上的分离点和会和点
两条根轨迹在s平面上相遇又分开的点,称为根轨迹的分离点或会和点,大多数时候位于实轴上。

值得一提的是,根轨迹在分离点和会合点的根轨迹数量只有两条,并不能以该点处连接着四条线段而认为有四条根轨迹。它们表示开环根轨迹增益在不同值时,闭环特征根的轨迹变化。
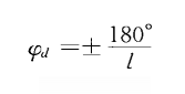
在分离点和会合点上,根轨迹的切线与正实轴的夹角称为分离角 或会合角。分离角与相分离的根轨迹数量L的关系为:

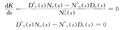
将系统的特征方程用零极点形式表示,可得到k

变换可得

求解 式并对得到的解进行判断,若解位于实轴上的根轨迹段内,则解为分离点或者会合点;若解不在实轴上的根轨迹段内,那么这个解不是特征方程的重根 ,需要舍去。最后,将分离点或会合点代入求K 的式子中,得到对应的开环根轨迹增益K的值。
一般情况下,在相邻两开环极点形成的根轨迹段内存在分离点 ·在相邻两开环零点形成的根轨迹段内存在会合点。
根轨迹与虚轴的交点
根轨迹与虚轴相交时,闭环特征方程会出现一对纯虚根。可以应用劳斯判据的第二种特例情况计算纯虚根和相应的开环根轨迹增益值。
借助k在劳斯表中构建全零行,算出此时的特征根,得到的这对纯虚根就是根轨迹与虚轴的交点。
5.5绘制根轨迹的基本法则三
根轨迹起始于实轴 上的开环极点时,是沿着实轴以0°或180° 的角度发出的;根轨迹终止于实轴上的开环零点时,也是沿着实轴以0°或180°的角度进入的。而开环复数零极点 则不然,它们所连接的根轨迹以什么样的出射角 度离开开环复数极点或以什么样的人射角度进人开环复数零点,需要通过计算才能获得。
开环共轭复极点的出射角:起始于开环复极点的根轨迹在起点处的切线 与正实轴方向 的夹角。

由根轨迹的相角条件,以及近似用p2代替sd点,可以得到

由于开环复极点 总是成对地出现 ,而且根轨迹是关于实轴对称的。因此,p2的共轭复极点p的出射角是p2出射角的相反数。
|----------------------------------------------------------------------------|----------------------------------------------------------------------------|
|
|
|
开环共轭复极点的入射角:终止于开环复零点的根轨迹在终点处的切线 与正实轴 方向的夹角。
同样的由根轨迹的相角条件得到

总结绘制根轨迹的步骤:
- 求出开环零极点,并得到m和n
- 实轴上的开环零极点决定根轨迹在实轴上的根轨迹段
- 判断是否有渐近线 ,若有则求出渐近线在实轴上的交点和发散角度
- 求出根轨迹在实轴上的分离点和会合点
- 求出与虚轴的交点
- 判断是否存在开环复极点或零点,计算出射角和入射角
- 绘制根轨迹
5.6根轨迹中闭环极点的计算
对于一个具体的控制系统,绘制出其根轨迹 后可以定性地分析 闭环系统的动态性能和稳态性能 。但要定量 地计算各项性能指标的话,就需要计算出相应的闭环极点 。由根轨迹的幅值条件可知,对于根轨迹上的任意一点,都对应一个开环根轨迹增益K。一个开环根轨迹增益K 则对应n阶闭环系统的n个极点 。也就是说,n条根轨迹上各有一个极点与一个开环根轨迹增益K对应。
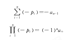
对于特征方程

所有闭环极点的和等于,所有闭环极点的积等于

对于阶次较低的系统,在已知部分闭环极点时,可利用这两个等式,确定其余闭环极点的值。
带入轨迹上任意一点,由幅值条件可得k值

没有零点时

添加开环零极点对根轨迹的影响
|--------|--------------------------------------------------------------------------------------------------------------------------------------------------------------------------------------------------------------------------------------------|
| 增加开环极点 | s左半平面增加一个极点后,系统阶次会上升到n+1,渐近线条数会增加到n-m+1,由此带来的渐近线发散角度减小,最终引导根轨迹方向向虚轴方向偏倒。同时,根轨迹数量增加一条
|
| 增加开环零点 | 渐近线条数减少,发散角度增大
|
形象的说,极点排斥根轨迹,零点吸引根轨迹
5.7根轨迹的应用-比例控制
根轨迹的分析多是定性的,但还需要定量计算,以及算出动态响应验证系统设计是否满足要求。

传递函数

当系统动态性能为时域指标,如超调量、调整时间时 ,可以把对系统性能指标的要求通过系统主导极点的形式表示出来,从而可以把系统近似看成标准的二阶系统,忽略其他非主导极点和零点对系统性能的影响,
最简单的一种情况是,当期望的主导极点位于根轨迹上时,通过选择根轨迹增益的取
值,确定闭环传递函数。根轨迹增益的取值可通过比例控制器实现 。
本质就是求K
根据指定的阻尼比,设定闭环极点
三阶系统,阻尼比ζ = 0.5,确定闭环系统的一对主导极点并确定此时K
解答:
闭环传递函数:
特征多项式推算开环对象
0.1K变为新的k'
绘制根轨迹
根据阻尼角确定主导极点位置
极点带入求k
第六章:控制系统的频率分析
分析系统的稳定特性和稳定裕量,进而学习频域下的系统设计。
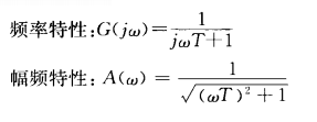
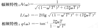
6.1频率特性的基本概念
系统的频率特性:线性系统在正弦输人信号的作用下,稳态输出与输入的傅里叶变换之比,称为系统的频率特性。

输出正弦信号与输入正弦信号的幅值之比,称为系统的幅频特性

输出正弦信号与输人正弦信号的相位差,称为相频特性

工程上常用图形来表示频率特性,主要有以下两种:
(1)对数频率特性曲线
对数频率特性曲线将幅频特性曲线和相频特性曲线分别绘制在对数坐标图中,也称为波特(Bode)图。其最突出的特点是横坐标采用了频率的对数形式,将更广的频率范围浓缩在有限的坐标图内。另一方面,纵坐标也采用了幅值的对数形式,将多环节幅值相乘转换为对数幅值相加,从而简化了系统的计算。这一点我们将在后续章节中详细介绍。
(2)幅相频率特性曲线
幅相频率特性曲线也称为乃奎斯特(Nyquist)图,或极坐标图,是将频率特性中针对不同的频率,及相应的相位和幅值共同构成极坐标图中的一个点,随着频率的变化,极坐标图中的点也随之移动,从而形成一条幅相特性曲线。
6.2幅角原理与奈奎斯特稳定判据
柯西(Cauchy)幅角原理
若复变函数 F(s) 满足:
- 在闭合曲线 C 上解析且不为零;
- 在 C 内部除有限个极点外处处解析。
则有如下定量关系:

- 左侧:1 /2π乘以 s 绕 C 一周时 F(s) 的幅角总变化量,物理意义是 F(s) 绕原点的净圈数(逆时针为正,顺时针为负)。
- 右侧:F(s) 在 C 内的零点总数 Z 与极点总数 P 的差值。
是根轨迹的相角条件的基础。
|----------------------------------------------------------------------------|----------------------------------------------------------------------------|
|
|
|
柯西幅角原理关注的是奈奎斯特围线中零极点的数量,即不稳定的极点
系统的特征方程F(s)和开环传递函数之间的关系是:
因此可以得到二者的平面转换关系
|----------------------------------------------------------------------------|----------------------------------------------------------------------------|
|
|
|
得到奈奎斯特稳定判据
奈奎斯特稳定判据
- 如果已知开环传递函数极点在S右半平面的个数n和它的乃奎斯特曲线绕(一1,j0)点的圈数N,就可以推算出闭环特征根在S右半平面的个数:m=N十n。若系统开环稳定,则闭环系统稳定的充要条件是乃奎斯特图不包围(一1.j0)点。因为当开环系统稳定时,G(s)在S右半平面的极点数n=0;要使闭环稳定m=0.则只有N=m一n=0。
2.闭环系统稳定的充要条件是乃奎斯特图包围(一1,j0)点的圈数为N=一n;
从以上判据中还可以得出一条推论:
当乃奎斯特图顺时针包围(一1,j0)点时,即N>0时,闭环系统一定不稳定。
乃奎斯特稳定判据归纳为上述判据和推论是为了实际应用的需要。在实际应用中,如
果用实验的方法得到开环频率特性G(ja)的极坐标图(也称乃奎斯特图).而系统的开环传
递函数G(s)的表达式可能是未知的,因此,开环极点个数n也可能未知,若使用乃奎斯特
稳定判据第一条和推论就可以对大多数系统作出正确判断。
6.3奈奎斯特图的绘制
直接看例题

试着略绘制奈奎斯特曲线
解:确定系统的开环频率特性,幅频相频
确定正频段起点终点
确定正频段与实轴虚轴的交点,再绘制负频段
|----------------------------------------------------------------------------|----------------------------------------------------------------------------|----------------------------------------------------------------------------|
||
|
|
6.4奈奎斯特稳定裕量
系统开环奈奎斯特图接近(-1,j0)点的程度代表了系统的相对稳定性
计算相位穿越频率,利用穿越实轴时虚部为0计算 ,再将频率带入计算此时幅值,幅值放大k倍为1,即为与(-1,j0)点相交,此时:

6.5对数频率特性法
对数频率特性图又称为波特图,横坐标是频率,相邻两刻度相差十倍,因此每个单位长度称为一个10倍频程dec(decade)


取为纵坐标,单位为分贝(dB),同样的绘制相频特性
|----------------------------------------------------------------------------|----------------------------------------------------------------------------|
|
|
|
开环传递函数的分子分母都可以表示成因式相乘的形式,这些因式也就是各个典型环节的传递函数表达式,对其幅频特性进行20倍的对数运算,可绘制各个典型环节的波特图然后进行叠加。

|-----------------|--------------------------------------------------------------------------------------------------------------------------------------------------------------------------------------------------------------------------------------------------------------------------------------------------------------------------|-------------------------------------------------------------------------------------------------------------------------------------------------------|
| 比例环节 |
无转折频率 |
|
| 积分环节 |
|
|
| 惯性环节 |
转折频率为w = 1/T |
|
| 二阶震荡 环节 |
转折频率为w |
|
| 纯微分环节 |
|
|
| 一阶微分 环节 |
转折频率为w = 1/T |
|
| 二阶微分 环节 |
转折频率为w |
|
绘制开环系统波特图的步骤
(1)将系统开环传递函数转换成时间常数形式,以便获得各环节的转折频率;
(2)根据各环节的转折频率确定波特图的横坐标范围一一从最小转折频率的低十倍频
程到最大转折频率的高十倍频程,以及该范围内的各关键频率点;
(3)分别绘制各环节的对数幅频特性曲线;
(4)按频率从小到大的顺序将各对数幅频特性曲线进行叠加·得到开环对象幅频特性
曲线;
(5)分别绘制各环节的相频特性曲线;
(6)按频率从小到大的顺序将各相频特性曲线进行叠加,得到开环对象相频特性曲线。
计算转折频率是很重要的点,若传递函数有多个典型环节,每个环节的转折频率都需计算,最终得到传递函数的所有转折频率点。
最小相位系统:
最小相位系统 是控制理论和信号处理中针对线性时不变(LTI)系统的重要概念,核心特征是系统的零点和极点全部位于复平面的左半平面(包括虚轴),且满足 "相同幅频特性下,相位滞后最小" 的特性。最小相位系统的稳定性是默认的,所以不能位于右半平面。
- 严格最小相位系统:零极点全位于左半平面
- 广义最小相位系统:允许零极点位于虚轴上,但不能位于右半平面
核心特性:
- 相位滞后最小,对于幅频特性完全相同 的多个 LTI 系统,最小相位系统的相频特性相位滞后是最小的
- 幅频特性与相频特性一一对应, 最小相位系统的幅频特性唯一决定相频特性,反之亦然。
- 逆系统也稳,定严格最小相位系统的逆系统 的零点和极点也全部位于左半平面,因此逆系统也是稳定的最小相位系统。
6.6波特图中的频域指标
在分析最小相位系统的稳态裕量时,系统开环对象的波特图也能体现系统的稳态裕量,并且比乃奎斯特图更方便。实际上,乃奎斯特图中界定稳态裕量的基线,在波特图中也能找到对应的关系。
(1)乃奎斯特图上的单位圆,对应波特图对数幅频特性上的0dB线;
(2)乃奎斯特图上的负实轴,对应波特图相频特性上的一180°线。
根据这两条基线,可以确定波特图上稳态裕量的定义。
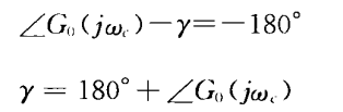
相位穿越频率: 相位穿越相频特性图的一180°线时所对应的频率;
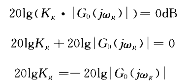
幅值裕量: 在**
**时,幅值提升到0dB线所需要的放大倍数,用对数表示如下

幅值穿越频率: 幅值穿越对数幅频特性图的0dB线时所对应的频率;
相位裕量: 在**
**处,相位距离一180°线的角度,计算公式如下

在波特图上定义如下


第七章:反馈控制系统的设计
7.1系统设计方法介绍
控制系统的设计过程就是通过安排系统的结构 和调整系统的参数 使系统性能达到期待的要求。控制系统的设计过程可称为控制系统的校正,对校正装置的设计是控制系统校正的主要内容。
|--------|--------|---------------------------------------------------------------------------------------------------------------------------------------------------------|
| 稳态性能指标 | 稳态误差 | |
| 稳态性能指标 | 稳态响应指标 | |
| 动态性能指标 | 时域指标 | 系统单位阶跃响应的性能 在设计过程中,时域指标可以转换成对控制系统的闭环零极点位置的设计要求,一般通过系统的主导极点确定系统的时域响应,并考虑非主导极点和零点对系统时域响应的影响。当确定闭环极点在S平面上的预期位置后,采用根轨迹的分析方法设计适当的校正装置,使根轨迹通过期望的闭环极点。 |
| 动态性能指标 | 频域指标 | 控制系统的频域指标一般取系统开环幅频特性的相位裕量和幅值穿越频率。系统的频域指标确定后,采用波特图对系统的频率特性进行分析和调整,使其满足期望的要求。 |
校正方式
串联校正:校正装置配置在前向通道

串联校正应用最多,因为处于系统的信号端,容易实现
反馈校正:校正装置配置在反馈通道

PID校正
PID校正是在控制系统中应用较普遍的一种校正方式,其调节器的结构比较简单,由比例放大、积分环节和微分环节叠加组成,也称为比例积分微分调节器,简写为PID。
传递函数:
还可以写成时间常数形式和零极点形式
|----------------------------------------------------------------------------|----------------------------------------------------------------------------|
| 时间常数形式 | 零极点形式 |
|
|
|
由零极点形式可以看出,有一个位于原点处的极点和两个位于s左半平面的零点。

从时间常数形式可绘制出对数幅频特性

除了三个环节叠加的情况,还可以只用PI或者PD
7.2超前校正与滞后校正
一阶超前校正网络的传递函数:
|----------------------------------------------------------------------------|----------------------------------------------------------------------------|
|
|
|
一阶滞后校正网络的传递函数:
|----------------------------------------------------------------------------|----------------------------------------------------------------------------|
|
|
|
滞后-超前校正网络的传递函数:
|----------------------------------------------------------------------------|----------------------------------------------------------------------------|
|
|
|
7.3利用根轨迹的系统校正
时域性能和期望极点
当系统动态性能为时域指标,如超调量、调整时间等,可以把系统性能指标的要求转换成系统主导极点在S平面上的期望位置 。这种转换的方法就是将系统(一般可认为是高阶系统)的一对主导复极点作为决定系统性能的主要因素,忽略其他非主导极点和零点的影响,从而可以把系统近似看成标准的2阶系统。在标准2阶系统中,时域指标可以用于确定两个参数和 ,进而确定主导复极点,即期望极点的坐标。
对于高阶系统·需近似成标准2阶系统,选定的主导极点应远离其他非主导极点和零点。确定系统的期望极点位置后,采用根轨迹法设计控制系统的校正装置是比较合适的。
设计步骤主要有:
(1)根据给定的瞬态性能指标确定主导极点的位置;
(2)绘制未校正系统的根轨迹。若期望的主导极点不在此根轨迹上,说明根轨迹增益无论如何取值,都不能满足性能指标的要求,需要增加适当的校正装置改造系统的根轨迹,使其通过希望的主导极点:
(3)当校正后的根轨迹已通过希望的主导极点,还需要检验相应的开环增益是否满足稳态要求。若不满足,则需要调节开环增益,同时保持根轨迹仍通过希望的主导极点。
串联超前校正
稳态精度已达到要求,但动态性能不满足的系统,改变根轨迹的形状,使闭环主导极点放置在期望的极点位置。
超前校正环节的结构特点是零点更接近坐标原点·因而零点的作用比极点的作用更显著,能改变根轨迹的方向,使之更远离虚轴。
完成超前校正网络的设计后,还需要重新审定系统的稳态误差。如果稳态误差不满足设计要求,则需要调整低频段的增益,使之在不影响动态性能指标的基础上,获得更好的稳态性能。
串联滞后校正
串联滞后校正用于校正系统的稳态精度,适用于动态性能已达到指标而稳态精度还不
满足要求的系统。用根轨迹方法设计串联滞后校正网络的基本方法是在原点附近放置滞后
校正网络的零极点对,这对零极点十分靠近原点,以减小它们对主导极点的影响,不至于影
响系统的动态性能。但零点仍然比极点大一定的倍数,以便提升低频段的开环增益,从而提
高系统的稳态精度。这样的零极点对也称为偶极子对。
7.4利用频率特性的系统校正
期望的开环频率特性模型
控制系统的频域指标以相位裕量、幅值穿越频率等稳定裕量为主,这些指标表征了系统的动态性能。即使开环模型未知,也可以通过实验获得系统的开环对数幅频特性,进而知道系统的开环增益和积分环节个数,从而得到系统的稳态性能指标。因此,从频率特性图,可以很容易得到系统的稳态和动态性能指标。
分析系统频率特性图的形成原理,可以发现理想的系统有如下几个特征:
(1)在低频段有足够高度,以保证稳态精度·但不能有转折频率很低的惯性环节,否则对应的时间常数将会过大,导致系统响应太慢;
(2)在中频段,穿越频率o的位置合适,且以一20dB/dec的斜率,十倍频程左右的宽度穿越0dB线,并保证足够的相位裕量40°~60°;
(3)在高频段有足够的衰减特性,抗干扰性好。因为干扰等噪声信号都属于高频信号,需在高频段截止这些信号。
串联超前校正
串联超前校正用于校正系统的动态性能。采用波特图设计系统时,可以先调整开环系统的增益,使稳态精度达到系统的设计要求。然后,在中频段的幅值穿越频率处,叠加串联超前校正网络的频率特性,利用超前校正提供的>0,提升原系统在幅值穿越频率处的相位
,使交点处的相位裕量得到最大提升
利用频率特性设计串联校正网络的步骤如下
(1)根据稳态误差要求,确定开环增益K;
(2)根据已确定的开环增益K,绘制未校正系统开环传递函数的波特图,确定未校正系
统的截止频率,和相位裕度
;
(3)计算超前校正环节所需提供的最大相位超前角。其中
是
相位裕量的设计指标,是校正前系统的相位裕度,5°~10°用来补偿附加的相位滞后角,这
个角度是为补偿由于超前校正提升了系统的穿越频率而导致的相位减小(滞后);
(4)利用式(7-7),确定超前校正网络的参数α,并确定校正网络在几何中心频率处所
能提供的幅值;
(5)在未校正系统的对数幅频特性上确定幅值为一10lga的频率点,并将其定义为新的
穿越频率,令超前校正网络的几何中心频率
,该点的幅值在超前校正后将被提升
至0dB;
(6)利用二确定超前校正网络的另一个参数T;
(7)检验校正后系统的相位裕量是否满足期望的要求。
串联滞后校正
利用波特图设计串联滞后校正时,首先必须通过调整幅频特性曲线使动态性能达到指标。配置串联滞后校正的原则是应将滞后校正网络放置在低频段,增加系统开环增益,提高稳态精度,而不致影响系统的动态性能。这就要求滞后校正网络远离开环系统的穿越频率。但是,滞后校正网络设置在过低的频率上时,会使系统出现衰减很慢的极点,导致系统的响应过程出现"爬行"现象,这也要避免。因此,滞后校正网络在不影响系统动态性能的前提下,应尽量靠近穿越频率。













|
|
|