普通二叉搜索树有时会越插越"歪",最后像链表一样,查找就变慢了。AVL树就是为了解决这个问题:它会在插入后顺着父结点往上检查,一旦发现左右高度差太大,就通过旋转把树"掰回去",让高度一直保持在O(logN)。本文用C++模板代码把平衡因子怎么更新、什么时候该停、四种旋转怎么写讲清楚,并给出校验方法方便自测。
一、AVL的概念
1.1 AVL树是什么
AVL树是一种"自平衡"的二叉搜索树。它要么是空树,要么满足:
- 左右子树都是AVL树;
- 左右子树的高度差(绝对值)不超过1。
它的核心目的很直白:通过控制高度差,避免树退化成链表,让增删查改的效率更稳定。

1.2 平衡因子(balance factor)是什么,有什么用
实现AVL树时通常会给每个结点维护一个平衡因子(balance factor):
- 平衡因子 = 右子树高度 - 左子树高度
- 因为AVL要求高度差不超过1,所以平衡因子只能是:
-1 / 0 / 1
平衡因子不是"必须存在"的信息,但有了它,就能更直观地判断结点是否失衡(类似"风向标"):
一旦出现 2 或 -2,立刻知道哪里失衡、该旋转了。

1.3 为什么要求高度差≤1,而不是必须等于0
直觉上"高度差=0"更完美,但并不是所有结点数都能做到完全左右等高。
举个最小的例子:只有2个结点时,结构只能是:

此时根的高度差必然是1,没法做到0。类似地,4个结点等情况也会出现"最好只能差1"的结构。
所以AVL的规则是:尽可能平衡,但允许差1。
另外,AVL整体结点分布接近完全二叉树,高度可以控制在logN,因此增删查改效率也能控制在O(logN)。
二、AVL树的实现
2.1 AVL树的结构
实现里每个结点至少需要:
_kv:用pair<K,V>存键值对(key在first,value在second)_left/_right:左右孩子_parent:父结点指针(后面更新平衡因子会更顺手)_bf:平衡因子
cpp
template<class K, class V>
struct AVLTreeNode
{
//需要parent指针,后续更新平衡因子可以看到
pair<K, V> _kv;
AVLTreeNode<K, V>* _left;
AVLTreeNode<K, V>* _right;
AVLTreeNode<K, V>* _parent;
int _bf; //balance factor
AVLTreeNode(const pair<K, V>& kv)
:_kv(kv)
, _left(nullptr)
, _right(nullptr)
, _parent(nullptr)
,_bf(0)
{}
};
2.2 AVL树类的基本框架
这里只展示最关键的结构:根指针_root。
cpp
template<class K, class V>
class AVLTree
{
typedef AVLTreeNode<K, V> Node;
public:
//...
private:
Node* _root = nullptr;
};
三、AVL树的插入
3.1 插入一个值的大概过程
总体可分为:
- 按二叉搜索树规则插入新结点;
- 新增结点只会影响它到根路径上的祖先高度,所以沿路径向上更新平衡因子;
- 如果更新过程中一直合法(平衡因子仍在-1/0/1),插入结束;
- 如果更新过程中出现失衡(±2),对失衡子树做旋转:旋转一边"调平衡",一边"降高度",因此不再影响更上一层,插入结束。
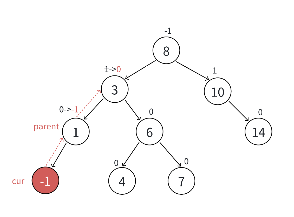
3.2 平衡因子更新原则
重点:
-
平衡因子 = 右子树高度 - 左子树高度
-
插入会导致某一侧高度+1
- 新结点插到
parent的右子树:parent->_bf++ - 新结点插到
parent的左子树:parent->_bf--
- 新结点插到
3.3 更新停止条件
下面这张表把停止条件说清楚(这是插入能否继续往上更新的关键):
| 更新后parent->_bf | 说明 | 高度是否变 | 下一步 |
|---|---|---|---|
| 0 | 从-1->0或1->0,原来一边高一边低,这次插在低的一侧 |
parent子树高度不变 | 结束 |
| 1或-1 | 从0->1或0->-1,原来两边一样高,这次插完变成一边高 |
parent子树高度+1 | 继续往上更新 |
| 2或-2 | 从1->2或-1->-2,本来就一边高,这次插在高的一侧导致更高 |
失衡 | 需要旋转,结束 |
| 更新到根且bf为±1 | 根也满足AVL条件 | - | 结束 |
例如:
更新到10结点,平衡因子为2,10所在的子树已经不平衡,需要旋转处理

更新到中间结点,3为根的子树⾼度不变,不会影响上一层,更新结束

最坏更新到根停止

3.4 插入结点及更新平衡因子的代码实现
代码分为两部分:
- 前半段:按BST规则找插入位置;
- 后半段:从插入点向上更新平衡因子,遇到
0/±1/±2分别处理。
cpp
bool Insert(const pair<K, V>& kv)
{
if (_root == nullptr)
{
_root = new Node(kv);
return true;
}
Node* parent = nullptr;
Node* cur = _root;
while (cur)
{
if (cur->_kv.first < kv.first)
{
parent = cur;
cur = cur->_right;
}
else if (cur->_kv.first > kv.first)
{
parent = cur;
cur = cur->_left;
}
else
{
return false;
}
}
cur = new Node(kv);
if (parent->_kv.first < kv.first)
{
parent->_right = cur;
}
else
{
parent->_left = cur;
}
cur->_parent = parent;
//更新平衡因子
while (parent)
{
//更新平衡因子:看cur是挂在parent的哪一边
if (cur == parent->_left)
parent->_bf--;
else
parent->_bf++;
if (parent->_bf == 0)
{
//更新结束
break;
}
else if (parent->_bf == 1 || parent->_bf == -1)
{
//继续往上更新
cur = parent;
parent = parent->_parent;
}
else if (parent->_bf == 2 || parent->_bf == -2)
{
//不平衡了,旋转处理
break;
}
else
{
assert(false);
}
}
return true;
}
重点:
parent->_bf == 0:说明"补低边",高度不变,直接停;parent->_bf == ±1:说明高度+1,会影响上一层,继续往上;parent->_bf == ±2:说明已经失衡,下一步应进入旋转
四、旋转
4.1 旋转的原则
旋转要同时满足两个目标:
- 保持二叉搜索树的大小关系(中序仍然有序)
- 让失衡子树恢复平衡,并且尽量降低它的高度(这样不会继续影响更上一层)
旋转一共四种:
- 右单旋(LL)
- 左单旋(RR)
- 左右双旋(LR)
- 右左双旋(RL)
4.2 右单旋
右单旋通常对应"左边太高"的失衡:
在某个结点(比如10)左子树里插入结点,导致10的平衡因子从-1变成-2,需要把"左高"往右转一转。
可以理解为:
a/b/c是三棵满足AVL的子树(高度为h)- 在
a里插入导致a高度从h变成h+1 - 10的左边变更高 → 需要右单旋





4.3 右单旋代码实现
右单旋的"指针改动"要同时处理:
- 孩子指针(left/right)
- 父指针(parent)
- parent是否是整棵树的根(要不要更新
_root)
cpp
void RotateR(Node* parent)
{
Node* subL = parent->_left;
Node* subLR = subL->_right;
//需要注意除了要修改孩子指针指向,还是修改父亲
parent->_left = subLR;
if (subLR)
subLR->_parent = parent;
Node* parentParent = parent->_parent;
subL->_right = parent;
parent->_parent = subL;
//parent有可能是整棵树的根,也可能是局部的子树
//如果是整棵树的根,要修改_root
//如果是局部的指针要跟上一层链接
if (parentParent == nullptr)
{
_root = subL;
subL->_parent = nullptr;
}
else
{
if (parent == parentParent->_left)
{
parentParent->_left = subL;
}
else
{
parentParent->_right = subL;
}
subL->_parent = parentParent;
}
parent->_bf = subL->_bf = 0;
}
这里最后一句把parent和subL的平衡因子置0,是右单旋最常见的"插入修复"场景。
4.4 左单旋
左单旋对应"右边太高":
在某个结点(比如10)右子树里插入,导致平衡因子从1变成2,需要往左旋转恢复平衡。

4.5 左单旋代码实现
cpp
void RotateL(Node* parent)
{
Node* subR = parent->_right;
Node* subRL = subR->_left;
parent->_right = subRL;
if(subRL)
subRL->_parent = parent;
Node* parentParent = parent->_parent;
subR->_left = parent;
parent->_parent = subR;
if (parentParent == nullptr)
{
_root = subR;
subR->_parent = nullptr;
}
else
{
if (parent == parentParent->_left)
{
parentParent->_left = subR;
}
else
{
parentParent->_right = subR;
}
subR->_parent = parentParent;
}
parent->_bf = subR->_bf = 0;
}
4.6 左右双旋
"左边高"并不总能用右单旋解决。
如果插入位置不是在更"外侧"的a里,而是在"内侧"的b里,会出现这种情况:
- 对10来说:左边高(需要往右转)
- 但对5来说:右边高(需要先把5的右高修正)
所以要做两次旋转:
- 以5为旋转点做一次左单旋;
- 再以10为旋转点做一次右单旋。


左右双旋里,关键看中间结点(示例里的8)的平衡因子不同,会导致旋转后平衡因子修正不同,常见分三类:
- 新结点插在"e侧"→ 中间结点bf为
-1 - 新结点插在"f侧"→ 中间结点bf为
1 - h==0时中间结点bf为
0

4.7 左右双旋代码实现
重点:
- 先记录
subLR->_bf,因为旋转后结构变了,但我们需要它来决定平衡因子怎么修正 - 旋转顺序固定:
RotateL(parent->_left)再RotateR(parent)
cpp
void RotateLR(Node* parent)
{
Node* subL = parent->_left;
Node* subLR = subL->_right;
int bf = subLR->_bf;
RotateL(parent->_left);
RotateR(parent);
if (bf == 0)
{
subL->_bf = 0;
subLR->_bf = 0;
parent->_bf = 0;
}
else if (bf == -1)
{
subL->_bf = 0;
subLR->_bf = 0;
parent->_bf = 1;
}
else if(bf == 1)
{
subL->_bf = -1;
subLR->_bf = 0;
parent->_bf = 0;
}
else
{
assert(false);
}
}
4.8 右左双旋
右左双旋和左右双旋是对称关系:
-
"右边高"但插在"内侧"位置
-
单次左旋不够,需要:
- 先对右孩子做右单旋
- 再对当前结点做左单旋
同样地,中间结点(示例里的12)平衡因子不同,会分三种场景讨论。

4.9 右左双旋代码实现
cpp
void RotateRL(Node* parent)
{
Node* subR = parent->_right;
Node* subRL = subR->_left;
int bf = subRL->_bf;
RotateR(parent->_right);
RotateL(parent);
if (bf == 0)
{
subR->_bf = 0;
subRL->_bf = 0;
parent->_bf = 0;
}
else if (bf == 1)
{
subR->_bf = 0;
subRL->_bf = 0;
parent->_bf = -1;
}
else if (bf == -1)
{
subR->_bf = 1;
subRL->_bf = 0;
parent->_bf = 0;
}
else
{
assert(false);
}
}
五、AVL树的查找
5.1 查找思路
查找完全沿用二叉搜索树逻辑:
- 目标key小于当前结点key → 去左子树
- 大于 → 去右子树
- 等于 → 找到
因为AVL高度是logN级别,所以查找效率是O(logN)。
5.2 查找代码
cpp
Node* Find(const K& key)
{
Node* cur = _root;
while (cur)
{
if (cur->_kv.first < key)
{
cur = cur->_right;
}
else if (cur->_kv.first > key)
{
cur = cur->_left;
}
else
{
return cur;
}
}
return nullptr;
}
如果存的是pair<K,V>,找到结点后就能直接用node->_kv.second读写value(比如做词频统计、字典映射等)。
六、AVL树平衡检测
实现完AVL树后,最好验证两件事:
- 每个结点左右子树高度差是否在[-1,1]范围内;
- 结点里保存的
_bf是否和"真实高度差"一致(防止更新逻辑写错)。
6.1 求高度
cpp
int _Height(Node* root)
{
if (root == nullptr)
return 0;
int leftHeight = _Height(root->_left);
int rightHeight = _Height(root->_right);
return leftHeight > rightHeight ? leftHeight + 1 : rightHeight + 1;
}
6.2 检查是否平衡
cpp
bool _IsBalanceTree(Node* root)
{
//空树也是AVL树
if (nullptr == root)
return true;
//计算root结点的平衡因子:即root左右子树的高度差
int leftHeight = _Height(root->_left);
int rightHeight = _Height(root->_right);
int diff = rightHeight - leftHeight;
//如果计算出的平衡因子与root的平衡因子不相等,或者
//root平衡因子的绝对值超过1,则一定不是AVL树
if (abs(diff) >= 2)
{
cout << root->_kv.first << "高度差异常" << endl;
return false;
}
if (root->_bf != diff)
{
cout << root->_kv.first << "平衡因子异常" << endl;
return false;
}
//root的左和右如果都是AVL树,则该树一定是AVL树
return _IsBalanceTree(root->_left) && _IsBalanceTree(root->_right);
}
完