题目描述
给你二叉树的根节点 root ,返回其节点值的 锯齿形层序遍历 。(即先从左往右,再从右往左进行下一层遍历,以此类推,层与层之间交替进行)。
示例 1:

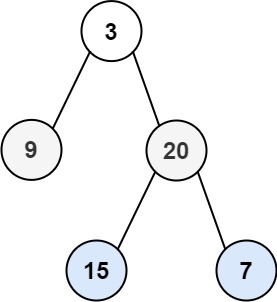
输入:root = [3,9,20,null,null,15,7]
输出:[[3],[20,9],[15,7]]
示例 2:
输入:root = [1]
输出:[[1]]
示例 3:
输入:root = []
输出:[]
提示:
- 树中节点数目在范围
[0, 2000]内 -100 <= Node.val <= 100
解决方案:
这段代码的核心功能是实现二叉树的锯齿形层序遍历(之字形遍历) (即第一层从左到右,第二层从右到左,第三层再从左到右,以此类推交替遍历),在普通层序遍历的基础上增加了 "偶数层反转结果" 的逻辑,时间复杂度 O(n)(n 为节点数),空间复杂度 O(n),是该问题的经典迭代解法。
核心逻辑
代码在普通层序遍历(双数组模拟 BFS)的基础上,通过一个布尔标记控制 "是否反转当前层节点值数组",实现锯齿形效果:
- 边界处理:若根节点为空,直接返回空数组;
- 初始化容器与标记 :
- 保留普通层序遍历的
ans(最终结果)、cur(当前层节点)、nxt(下一层节点)、value(当前层节点值); - 新增布尔变量
even(初始为false),标记当前层是否为 "需要反转的偶数层"(第一层不反转,第二层反转,以此类推);
- 保留普通层序遍历的
- 逐层遍历循环 :
- 与普通层序遍历一致:遍历当前层节点,收集值到
value,并按左→右顺序收集下一层节点到nxt; - 核心新增逻辑:若
even为true(当前是偶数层),调用reverse反转value数组,实现从右到左的遍历效果; - 将处理后的
value加入ans,更新cur为下一层节点,并翻转even的值(切换下一层的遍历方向);
- 与普通层序遍历一致:遍历当前层节点,收集值到
- 返回结果 :遍历完成后,
ans中按锯齿形存储了各层节点值,直接返回即可。
总结
- 核心思路:在普通层序遍历的基础上,通过布尔标记 + 数组反转实现锯齿形,无需改变节点遍历顺序,仅调整结果数组的顺序,逻辑简洁;
- 关键细节:
even初始为false(第一层不反转),每遍历完一层就翻转even,保证奇偶层交替反转; - 效率特点:整体时间
O(n)(反转操作的总时间为O(n),所有节点仅遍历一次),空间开销与普通层序遍历一致,是最优解法之一。
函数源码:
cpp/** * Definition for a binary tree node. * struct TreeNode { * int val; * TreeNode *left; * TreeNode *right; * TreeNode() : val(0), left(nullptr), right(nullptr) {} * TreeNode(int x) : val(x), left(nullptr), right(nullptr) {} * TreeNode(int x, TreeNode *left, TreeNode *right) : val(x), left(left), right(right) {} * }; */ class Solution { public: vector<vector<int>> zigzagLevelOrder(TreeNode* root) { if(!root) return {}; vector<vector<int>>ans={}; vector<TreeNode*>cur={root}; vector<TreeNode*>nxt={}; vector<int>value={}; bool even=false; while(!cur.empty()){ value={}; nxt={}; for(auto i:cur){ value.push_back(i->val); if(i->left) nxt.push_back(i->left); if(i->right)nxt.push_back(i->right); } if(even) reverse(value.begin(),value.end()); ans.push_back(value); cur=nxt; even=!even; } return ans; } };