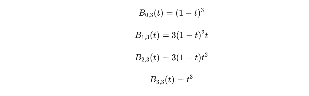
基本定义
三次贝塞尔曲线是由4个控制点定义的参数曲线,是计算机图形学中最常用的贝塞尔曲线形式。
数学公式
给定控制点 ( P_0, P_1, P_2, P_3 ),三次贝塞尔曲线的参数方程为:

其中:
- ( t ) 是参数,从0到1变化
- 各项系数是伯恩斯坦基函数:

重要特性
-
端点性质
- ( B(0) = P_0 ),曲线起点在第一个控制点
- ( B(1) = P_3 ),曲线终点在最后一个控制点
-
端点切线
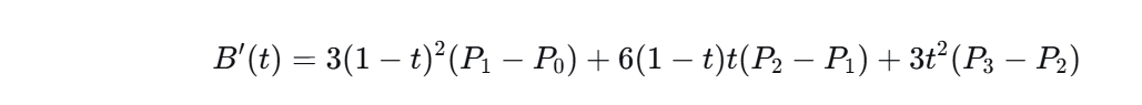
- 起点切线方向:( P_1 - P_0 )
- 终点切线方向:( P_3 - P_2 )
-
凸包性:曲线完全位于控制点的凸包内
-
仿射不变性:对控制点进行仿射变换等价于对曲线进行同样变换
矩阵表示
三次贝塞尔曲线可以用矩阵形式表示:

求导公式
一阶导数(切线方向):

二阶导数:

应用示例(代码)
python
import numpy as np
import matplotlib.pyplot as plt
def cubic_bezier(t, P0, P1, P2, P3):
"""计算三次贝塞尔曲线上的点"""
return (1-t)**3 * P0 + 3*(1-t)**2*t * P1 + 3*(1-t)*t**2 * P2 + t**3 * P3
# 控制点
P0 = np.array([0, 0])
P1 = np.array([1, 3])
P2 = np.array([4, 2])
P3 = np.array([5, 0])
# 生成曲线点
t_values = np.linspace(0, 1, 100)
curve_points = np.array([cubic_bezier(t, P0, P1, P2, P3) for t in t_values])
# 绘图
plt.figure(figsize=(8, 6))
plt.plot(curve_points[:, 0], curve_points[:, 1], 'b-', label='贝塞尔曲线')
plt.plot([P0[0], P1[0], P2[0], P3[0]],
[P0[1], P1[1], P2[1], P3[1]], 'ro--', label='控制点')
plt.legend()
plt.grid(True)
plt.axis('equal')
plt.show()
应用场景
- 字体设计:TrueType字体使用二次贝塞尔曲线,而PostScript字体使用三次贝塞尔曲线
- 计算机图形学:路径绘制、动画轨迹
- 工业设计:汽车、飞机等曲面设计
- UI设计:平滑的过渡动画
与二次贝塞尔曲线的比较
| 特性 | 二次贝塞尔曲线 | 三次贝塞尔曲线 |
|---|---|---|
| 控制点数 | 3个 | 4个 |
| 多项式次数 | 2次 | 3次 |
| 灵活性 | 较低,只能形成抛物线 | 更高,可以形成S形曲线 |
| 应用 | 简单曲线 | 复杂曲线设计 |
三次贝塞尔曲线因其灵活性和平滑性,成为矢量图形和曲线设计中最重要的工具之一。