在大语言模型(LLMs)的训练与落地过程中,"梯度消失 / 爆炸""训练不稳定""深层模型难收敛" 是高频痛点。而 Layer Normalization(层归一化,简称 LN)及其变体(RMS Norm、Deep Norm),正是解决这些问题的核心技术 ------ 它们通过标准化网络层的输入分布,让模型参数更新更平稳、收敛更快,同时适配 NLP 任务中变长序列的特性。
本文将从「核心方法原理」「在 LLMs 中的位置差异」「主流模型应用实践」三个维度,系统拆解 Layer Normalization 相关知识,帮你掌握这一 LLMs 基础核心知识点。
一、核心方法篇:从基础 LN 到主流变体
Layer Normalization 的核心思路是对 "单个样本在单个网络层的所有神经元输出" 做标准化(而非 Batch Norm 依赖批次数据),完美适配 NLP 变长序列场景。在此基础上,研究者衍生出 RMS Norm、Deep Norm 等变体,进一步优化性能与效率。
1. 基础款:Layer Norm(层归一化)
1.1 核心计算公式
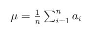
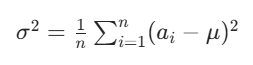
设某网络层的输出向量为 a=[a1,a2,...,an](n 为该层神经元数量),Layer Norm 的计算分为 4 步:
- 计算向量均值

- 计算向量方差

- 标准化(加入 ϵ 避免分母为 0):
(ϵ 通常取 10−5,防止方差为 0 导致计算错误) - 缩放与平移(保留模型表达能力):
注:γ(缩放参数)和 β(平移参数)是可学习参数,让归一化后的数据仍能保留层的特征信息。
2. 优化款:RMS Norm(均方根归一化)
RMS Norm 是 LN 的轻量化变体,核心是简化计算、提升效率,同时保证效果。
2.1 核心计算公式
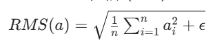
同样设层输出向量为 a=[a1,a2,...,an],RMS Norm 计算过程:
- 计算向量的均方根(RMS):

- 仅做缩放(去除平移步骤):

2.2 对比 Layer Norm 的核心特点
- 计算更高效:去除了 "计算均值 μ" 和 "平移 β" 步骤,减少计算量,训练 / 推理速度更快;
- 效果持平甚至更优:在多数 LLMs 任务中,RMS Norm 效果与 LN 基本一致,部分场景略有提升;
- 参数更少:仅需学习缩放参数 γ,无需平移参数 β,降低模型参数量。
3. 深层优化款:Deep Norm
Deep Norm 是针对 "深层 Transformer 训练爆炸" 问题设计的增强型 LN 方案,核心是通过参数缩放稳定训练。
3.1 核心思路
- 前置操作:在执行 Layer Norm 之前,对残差连接做 "上缩放"(up-scale),即乘以 α(α>1);
- 初始化操作:在模型参数初始化阶段,对参数做 "下缩放"(down-scale),即乘以 β(β<1)。
3.2 代码实现(PyTorch 示例)
python
运行
import torch
import torch.nn as nn
class DeepNorm(nn.Module):
def __init__(self, hidden_size, alpha=1.05, beta=0.95, eps=1e-5):
super().__init__()
self.alpha = alpha # 残差连接上缩放系数
self.beta = beta # 参数初始化下缩放系数
self.layer_norm = nn.LayerNorm(hidden_size, eps=eps)
def forward(self, x, residual):
# 1. 对残差连接做up-scale
residual_scaled = residual * self.alpha
# 2. 拼接残差与当前层输出(Transformer残差逻辑)
h = x + residual_scaled
# 3. 执行Layer Norm
h_norm = self.layer_norm(h)
return h_norm
def init_weights(self, module):
# 对模型参数做down-scale初始化
if isinstance(module, (nn.Linear, nn.Embedding)):
module.weight.data = module.weight.data * self.beta
if module.bias is not None:
module.bias.data = module.bias.data * self.beta
3.3 核心优点
- 限制模型参数的 "爆炸式更新",将更新幅度约束在常数范围内;
- 大幅提升深层 Transformer(如千层以上)的训练稳定性,避免梯度失控。
二、位置篇:LN 在 LLMs 中的不同位置差异
LN 在 Transformer 层中的位置直接影响模型训练稳定性和最终效果,主流有 3 种部署方式:
| 类型 | 位置特点 | 核心优势 | 核心缺点 |
|---|---|---|---|
| Post LN | 层归一化在残差连接之后 | - | 深层梯度范式逐渐增大,深层 Transformer 训练易不稳定 |
| Pre-LN | 层归一化在残差连接中(输入层之前) | 深层梯度范式近似相等,训练更稳定,缓解深层崩溃问题 | 模型最终效果略差于 Post-LN |
| Sandwich-LN | Pre-LN 基础上额外插入一个 LN | 避免值爆炸问题(Cogview 模型专用) | 训练稳定性差,可能导致训练崩溃 |
关键总结
- 追求 "训练稳定" 优先选 Pre-LN(主流 LLMs 如 LLaMA、GPT 系列均采用);
- 追求 "极致效果" 且模型较浅时可选 Post-LN;
- Sandwich-LN 仅为特定场景(如 Cogview 避免值爆炸)设计,通用性差。
三、对比篇:LLMs 中归一化方案的实践选择
不同主流 LLMs 对归一化方案的选择,反映了 "训练稳定性" 与 "模型性能" 的权衡:
- BLOOM 模型:在 embedding 层后直接添加 Layer Normalization,核心目标是提升训练稳定性,但会带来一定的性能损失;
- LLaMA/LLaMA 2 系列:采用 RMS Norm 替代传统 LN,兼顾效率与效果;
- GPT 系列:早期用 Post-LN,后期切换为 Pre-LN + RMS Norm,平衡稳定性与效率;
- 深层大模型(如千层 Transformer):采用 Deep Norm 增强 LN,解决深层训练爆炸问题。
核心知识点总结
- 基础逻辑:Layer Norm 是 LLMs 中适配变长序列的核心归一化方案,通过标准化层输出分布稳定训练;
- 变体优化:RMS Norm 简化 LN 计算提升效率,Deep Norm 通过参数缩放解决深层训练爆炸问题;
- 位置选择:Pre-LN 是当前 LLMs 主流选择(稳定优先),Post-LN 效果略优但训练风险高;
- 实践权衡:模型设计需在 "训练稳定性" 与 "性能 / 效率" 之间取舍(如 BLOOM 牺牲部分性能换稳定)。