1.pytorch 简介
PyTorch 自 2017 年发布以来,以其简洁的语法和简单的上手难度,风靡全球。作为 Meta 人工智能研究院研发的开源深度学习框架,它采用 Python 原生编程风格,搭配动态计算图机制,让模型编写、调试与迭代都更加直观高效。兼顾科研灵活性与工业级性能,支持 GPU 加速、自动微分与模块化网络搭建,现已广泛应用于计算机视觉、自然语言处理、大模型训练等主流 AI 领域,成为全球开发者与研究人员的首选框架之一。
pytorch 安装请见。
2. 张量
1. 张量的定义
张量本质上是高维数组,支持 CPU 与 GPU 的跨硬件高效计算,同时内置自动微分功能,为深度学习模型的反向传播、梯度求解提供核心支撑。
在 PyTorch 中,张量的创建方式灵活多样,常用的创建方法主要分为以下三类:
一、根据已有数据(Python 原生类型、NumPy 类型)转化为张量
该方式是将已有的 Python 列表、元组,或 NumPy 数组直接封装为张量,完整保留原始数据的数值与维度结构,是从现有数据快速构建张量的最直观方式,适配各类已有数据集的张量转换场景。
python
import torch
import numpy as np
# torch.tensor(data):Python列表转张量-一维示例
# 参数:data为必填原始数据,支持列表、元组等Python原生可迭代类型
print(torch.tensor([1, 2, 3]))
# torch.tensor(data):Python列表转张量-二维示例
print(torch.tensor([[1, 2], [3, 4]]))
# torch.from_numpy(ndarray):NumPy数组转张量
# 参数:ndarray为必填NumPy数组,转换后与原数组共享内存
print(torch.from_numpy(np.array([[5, 6], [7, 8]])))
# tensor([1, 2, 3])
# tensor([[1, 2],
# [3, 4]])
# tensor([[5, 6],
# [7, 8]], dtype=torch.int32)
NumPy 数组转张量基于零复制技术实现,转换时不拷贝数据,PyTorch 张量仅存储指向 NumPy 数组的内存指针,二者共享同一块内存区域,修改一方数据会同步影响另一方,需特别注意。
python
import torch
import numpy as np
# 1. NumPy数组转张量
arr = np.array([1, 2, 3, 4])
t = torch.from_numpy(arr)
print("原始数据:")
print("NumPy数组:", arr) # [1 2 3 4]
print("PyTorch张量:", t) # tensor([1, 2, 3, 4], dtype=torch.int32)
# 2. 修改NumPy数组,张量同步被修改
arr += 1
print("\n修改NumPy数组后:")
print("NumPy数组:", arr) # [2 3 4 5]
print("PyTorch张量:", t) # tensor([2, 3, 4, 5], dtype=torch.int32)
# 3. 张量原地修改(_表示原地操作),NumPy数组同步被修改
t.add_(2)
print("\n张量原地自增2后:")
print("NumPy数组:", arr) # [4 5 6 7]
print("PyTorch张量:", t) # tensor([4, 5, 6, 7], dtype=torch.int32)
# 原始数据:
# NumPy数组: [1 2 3 4]
# PyTorch张量: tensor([1, 2, 3, 4], dtype=torch.int32)
#
# 修改NumPy数组后:
# NumPy数组: [2 3 4 5]
# PyTorch张量: tensor([2, 3, 4, 5], dtype=torch.int32)
#
# 张量原地自增2后:
# NumPy数组: [4 5 6 7]
# PyTorch张量: tensor([4, 5, 6, 7], dtype=torch.int32)
若需将张量转换回 NumPy 数组,直接调用张量的 numpy () 方法即可,同样基于零复制技术,与原张量共享内存,修改同步生效:
python
import torch
import numpy as np
# 张量转NumPy数组
t = torch.tensor([1, 2, 3, 4])
arr = t.numpy()
print("张量类型:", type(t)) # <class 'torch.Tensor'>
print("转换后NumPy数组类型:", type(arr)) # <class 'numpy.ndarray'>
print("NumPy数组:", arr) # [1 2 3 4]
# 张量类型: <class 'torch.Tensor'>
# 转换后NumPy数组类型: <class 'numpy.ndarray'>
# NumPy数组: [1 2 3 4]
总结:三类核心转换方法汇总
- Python 列表 / 元组转张量:
torch.tensor(data)(一维 / 二维均适用,直接封装原始数据) - NumPy 数组转张量:
torch.from_numpy(ndarray)(零复制,与原数组共享内存) - 张量转回 NumPy 数组:
张量.numpy()(零复制,与原张量共享内存)
二、根据形状生成张量
通过指定维度尺寸直接创建张量,无需提前准备数据,分为类构造初始化 和函数构造初始化两种,二者用法与底层逻辑存在明显区别:
torch.Tensor(shape):首字母大写为张量类的构造器,传入形状参数即可创建张量,默认值为内存随机浮点数;torch.tensor(data):小写为张量构造函数,必须传入具体数据,会根据输入数据生成对应张量,是更常用的安全创建方式。
python
import torch
# torch.Tensor(首字母大写:张量类初始化,仅指定形状)
print(torch.Tensor(2, 3))
# torch.tensor(小写:张量构造函数,需传入具体数据值)
print(torch.tensor([[1, 2], [3, 4]]))
# tensor([[0.0000e+00, 0.0000e+00, 1.4013e-45],
# [0.0000e+00, 0.0000e+00, 0.0000e+00]])
# tensor([[1, 2],
# [3, 4]])
三、生成固定值张量
该类方法用于创建数值全为 0、全为 1 等固定值的张量,支持直接指定形状创建 ,或参照已有张量形状创建两种形式,常用于初始化模型参数、构建掩码矩阵等场景。
python
import torch
# 定义参考张量
a = torch.tensor([[1, 2], [3, 4]])
# torch.zeros:直接指定形状,创建全0张量
print(torch.zeros(3, 2))
# torch.zeros_like:参照已有张量的形状,创建同形状全0张量
print(torch.zeros_like(a))
# torch.ones:直接指定形状,创建全1张量
print(torch.ones(3, 2))
# torch.ones_like:参照已有张量的形状,创建同形状全1张量
print(torch.ones_like(a))
# tensor([[0., 0.],
# [0., 0.],
# [0., 0.]])
# tensor([[0, 0],
# [0, 0]])
# tensor([[1., 1.],
# [1., 1.],
# [1., 1.]])
# tensor([[1, 1],
# [1, 1]])
2. 张量的类型
在未显式声明数据类型的情况下,整数型数据创建的张量默认类型为 torch.int64,浮点型数据默认生成 torch.float32 类型。若需自定义张量数据类型,主要有两种常用方式:
一是创建张量时,通过 dtype 参数直接指定所需数据类型;
二是对已创建的张量,调用类型转换方法将其转化为目标数据类型。(一般使用 Python 对象中的 type 方法。)
注:PyTorch 中的张量数据类型和 C++ 中的数值类型定义基本一致,命名与取值规则可相互参考。深度学习中,浮点型张量默认优先使用 float32,仅当大模型训练 / 推理面临内存资源不足时,才会选用精度更低的 float16,甚至极致压缩的 float8 以节省内存。
python
import torch
# 示例1:未声明类型,整数列表创建张量,默认torch.int64类型
a = torch.tensor([1, 2, 3])
print(a.dtype) # torch.int64
# 示例2:创建时通过dtype参数指定数据类型(指定为torch.float32)
b = torch.tensor([1, 2, 3], dtype=torch.float32)
print(b.dtype) # torch.float32
# 示例3:对已创建张量统一使用type方法做类型转换(int64转float64、float32转int32)
c = a.type(torch.float64)
d = b.type(torch.int32)
print(c.dtype) # torch.float64
print(d.dtype) # torch.int32
# torch.int64
# torch.float32
# torch.float64
# torch.int32
3. 张量的基本操作
一,常见生成操作

二、获取基本属性
可通过专属方法 / 函数获取张量的形状、维度、元素总数等核心属性,也可对张量形状进行重塑,还能计算张量的元素和、平均值,操作如下:
.shape:返回张量各维度尺寸,深度学习中一般对应通道数、行、列;
len(张量):获取张量的维度数,等价于张量 shape 属性的第一个数字;
.numel():计算张量中元素的总数,结果为 shape 中所有维度数据的乘积;
.reshape():重塑张量的形状,仅改变维度排列方式,不会更改张量中的元素内容;
.sum():计算张量元素的总和,支持指定维度求和、保持维度等参数配置;
.mean():计算张量元素的平均值,参数规则与.sum()一致。
.sum () 参数

python
import torch
# 定义示例张量(模拟通道数2、行3、列4,固定随机种子保证结果可复现)
torch.manual_seed(0)
t = torch.randn(2, 3, 4)
print("原始张量:\n", t)
print("张量形状:", t.shape) # 获取形状
print("张量维度数:", len(t)) # len(张量)获取维度数
print("张量元素总数:", t.numel()) # numel()获取元素总数
# reshape重塑形状(2,3,4→2,12,元素内容不变)
t_reshape = t.reshape(2, 12)
print("重塑后形状:", t_reshape.shape)
print("重塑后元素总数:", t_reshape.numel()) # 元素总数不变
# 1. 无参数:对所有元素求和
sum_all = t.sum()
# 2. 指定dim=2:对最后一维(列维度)求和,压缩该维度
sum_dim2 = t.sum(dim=2)
# 3. 指定dim=1 + keepdim=True:对行维度求和,保持原维度数(求和维度变为1)
sum_dim1_keep = t.sum(dim=1, keepdim=True)
# 4. 计算所有元素平均值
mean_all = t.mean()
print("所有元素总和:", sum_all)
print("dim=2求和结果形状:", sum_dim2.shape, "结果:\n", sum_dim2)
print("dim=1+keepdim=True求和结果形状:", sum_dim1_keep.shape, "结果:\n", sum_dim1_keep)
print("所有元素平均值:", mean_all)
# 运行结果:
# 原始张量:
# tensor([[[ 1.5410, -0.2934, -2.1788, 0.5684],
# [-1.0845, -1.3986, 0.4033, 0.8380],
# [-0.7193, -0.4033, -0.5966, 0.1820]],
#
# [[ 0.8033, -0.8063, -1.2220, 0.2082],
# [-0.9080, -1.0480, 1.2277, -0.5631],
# [ 0.3635, -0.6724, 0.1026, -0.1719]]])
# 张量形状: torch.Size([2, 3, 4])
# 张量维度数: 2
# 张量元素总数: 24
# 重塑后形状: torch.Size([2, 12])
# 重塑后元素总数: 24
# 所有元素总和: tensor(-6.2119)
# dim=2求和结果形状: torch.Size([2, 3]) 结果:
# tensor([[-0.3628, -1.2418, -1.5372],
# [-0.9968, -1.2914, -0.3782]])
# dim=1+keepdim=True求和结果形状: torch.Size([2, 1, 4]) 结果:
# tensor([[[-0.2628, -2.0953, -2.3721, 1.5884]],
#
# [[ 0.2588, -2.5267, 0.1083, -0.5268]]])
# 所有元素平均值: tensor(-0.2588)
三、运算
1.按元素计算
PyTorch 中常见的加减乘除、幂运算,以及指数运算(exp)均为按元素计算 (逐元素运算),运算后张量的shape(形状)保持不变,仅张量内的元素数值发生改变。
python
import torch
# 定义基础张量(保证形状一致,支持按元素运算)
a = torch.tensor([1, 2, 3], dtype=torch.float32)
b = torch.tensor([4, 5, 6], dtype=torch.float32)
print("原始张量a:", a, "形状:", a.shape)
print("原始张量b:", b, "形状:", b.shape)
# 1. 加法运算
add_res = a + b
print("加法结果:", add_res, "形状:", add_res.shape)
# 2. 减法运算
sub_res = a - b
print("减法结果:", sub_res, "形状:", sub_res.shape)
# 3. 乘法运算(按元素)
mul_res = a * b
print("按元素乘法结果:", mul_res, "形状:", mul_res.shape)
# 4. 除法运算(按元素)
div_res = a / b
print("按元素除法结果:", div_res, "形状:", div_res.shape)
# 5. 幂运算(按元素,a的b次幂)
pow_res = a ** b
print("按元素幂运算结果:", pow_res, "形状:", pow_res.shape)
# 6. 指数运算exp(按元素,计算自然常数e的张量元素次幂,e^x)
exp_res = torch.exp(a)
print("指数运算exp结果:", exp_res, "形状:", exp_res.shape)
# 原始张量a: tensor([1., 2., 3.]) 形状: torch.Size([3])
# 原始张量b: tensor([4., 5., 6.]) 形状: torch.Size([3])
# 加法结果: tensor([5., 7., 9.]) 形状: torch.Size([3])
# 减法结果: tensor([-3., -3., -3.]) 形状: torch.Size([3])
# 按元素乘法结果: tensor([ 4., 10., 18.]) 形状: torch.Size([3])
# 按元素除法结果: tensor([0.2500, 0.4000, 0.5000]) 形状: torch.Size([3])
# 按元素幂运算结果: tensor([ 1., 32., 729.]) 形状: torch.Size([3])
# 指数运算exp结果: tensor([ 2.7183, 7.3891, 20.0855]) 形状: torch.Size([3])
注
- 按元素运算要求参与运算的张量形状完全一致(单目运算如
exp无此要求),否则会触发形状不匹配错误; - 也可通过 PyTorch 专属方法实现(效果与运算符一致):
torch.add(a,b)、torch.sub(a,b)、torch.mul(a,b)、torch.div(a,b)、torch.pow(a,b),指数运算仅支持torch.exp(x); - 所有按元素运算后,张量的维度、尺寸均与原张量保持一致,仅元素数值更新;
torch.exp(x)为自然指数运算,计算 ex(e 为自然常数,约等于 2.71828),是深度学习中激活函数、概率计算等场景的常用操作。
2、广播机制
在张量计算中,若参与运算的张量形状不同,可通过广播机制实现按元素运算:广播机制会自动复制元素对张量进行虚拟扩展,使所有张量最终拥有相同形状,再对扩展后的张量执行按元素操作,无需手动复制,节省内存且简化代码。
python
import torch
# 2行3列矩阵
a = torch.tensor([[1,2,3],
[4,5,6]]) # shape: [2,3]
print("张量a:",a)
# 长度3的向量(广播时自动匹配列维度,虚拟扩为2行3列)
b = torch.tensor([10,20,30]) # shape: [3]
print("张量b:",b)
# 广播相加(不用手动把b变成2行3列!)
res1 = a + b
print("广播结果:")
print(res1)
# 手动复制对比(结果完全一样,只是多占内存)
b_copy = b.repeat(2,1) # 手动复制成2行3列
print("b_copy:",b_copy)
res2 = a + b_copy
print("\n手动复制结果:")
print(res2) # 和res1完全相同
# 运行结果:
# 张量a: tensor([[1, 2, 3],
# [4, 5, 6]])
# 张量b: tensor([10, 20, 30])
# 广播结果:
# tensor([[11, 22, 33],
# [14, 25, 36]])
# b_copy: tensor([[10, 20, 30],
# [10, 20, 30]])
#
# 手动复制结果:
# tensor([[11, 22, 33],
# [14, 25, 36]])
可以看到。 b由一行三列复制成了两行三列,并与a进行按元素相加。
注:进行广播的条件:
- 假设有两个张量的形状为 (a,b) 和 (c,d) 等维度形式,当 a!=c 且 a,c!=1、b!=d 且 b,d!=1 时,广播可以 进行。也就是说:从两个张量的最后一个维度开始向前依次匹配,对应维度需满足二者相等,或其中一个维度为 1;维度数少的张量会在最左侧自动补 1 后再参与匹配。
四,元素分割
1.索引和切片
- 逗号是 Torch 多维张量维度分割符,不同维度的索引 / 切片通过逗号分隔,按「从左到右」对应张量的各个维度;
- 单个维度内的操作规则与 Python 数组完全一致:索引从 0 开始,切片
start:end遵循左闭右开,:表示取该维度全部元素; - 适配任意维度张量:二维
[行, 列]、三维[通道, 行, 列],更高维度按维度顺序依次用逗号分割即可; - 索引 / 切片为张量视图操作,不额外占用内存,修改切片结果会同步影响原张量。
python
import torch
# 定义2行3列二维示例张量
t = torch.tensor([[1, 2, 3],
[4, 5, 6]]) # shape: [2, 3]
print("原始二维张量:\n", t)
# 1. 单元素索引:逗号分割行、列维度,索引从0开始
print("第1行第2列元素:", t[0, 1]) # 行索引0,列索引1
print("第2行第3列元素:", t[1, 2]) # 行索引1,列索引2
# 2. 维度切片:逗号分割不同维度,各维度独立使用切片规则(左闭右开)
print("所有行,前2列:\n", t[:, :2]) # 行取全部(:),列取0-1列(:2)
print("第2行,所有列:\n", t[1, :]) # 行取索引1,列取全部(:)
print("第1-2行,第2-3列:\n", t[0:2, 1:3]) # 行0-1,列1-2
# 3. 三维张量示例:逗号分割通道、行、列维度
t3 = torch.tensor([[[1,2], [3,4]],
[[5,6], [7,8]]]) # shape: [2, 2, 2]
print("\n原始三维张量:\n", t3)
print("第2个通道,所有行,第1列:\n", t3[1, :, 0]) # 通道1,行全部,列0
# 运行结果:
# 原始二维张量:
# tensor([[1, 2, 3],
# [4, 5, 6]])
# 第1行第2列元素: tensor(2)
# 第2行第3列元素: tensor(6)
# 所有行,前2列:
# tensor([[1, 2],
# [4, 5]])
# 第2行,所有列:
# tensor([4, 5, 6])
# 第1-2行,第2-3列:
# tensor([[2, 3],
# [5, 6]])
#
# 原始三维张量:
# tensor([[[1, 2],
# [3, 4]],
# [[5, 6],
# [7, 8]]])
# 第2个通道,所有行,第1列:
# tensor([5, 7])
2. split 分割
若需对张量进行不均等分割 ,可使用split方法,支持按指定长度在目标维度上完成任意长度的分割,是张量分割的常用方法。
split 核心参数

代码示例
python
import torch
# 定义示例张量:1维张量(长度8)、2维张量(4行3列)
t1 = torch.tensor([1,2,3,4,5,6,7,8]) # shape: [8]
t2 = torch.tensor([[1,2,3], [4,5,6], [7,8,9], [10,11,12]]) # shape: [4,3]
print("原始1维张量:", t1)
print("原始2维张量:\n", t2)
# 1. 1维张量不均等分割:按[3,2,3]分割(列表和=8),默认dim=0
split_t1 = t1.split([3,2,3])
print("\n1维张量不均等分割结果:", split_t1)
# 2. 2维张量行维度(dim=0)均等分割:按固定长度2分割
split_t2_0 = t2.split(2, dim=0)
print("\n2维张量dim=0均等分割结果:")
for i in split_t2_0:
print(i)
# 3. 2维张量列维度(dim=1)不均等分割:按[1,2]分割(列表和=3)
split_t2_1 = t2.split([1,2], dim=1)
print("\n2维张量dim=1不均等分割结果:")
for i in split_t2_1:
print(i)
# 运行结果:
# 原始1维张量: tensor([1, 2, 3, 4, 5, 6, 7, 8])
# 原始2维张量:
# tensor([[ 1, 2, 3],
# [ 4, 5, 6],
# [ 7, 8, 9],
# [10, 11, 12]])
#
# 1维张量不均等分割结果: (tensor([1, 2, 3]), tensor([4, 5]), tensor([6, 7, 8]))
#
# 2维张量dim=0均等分割结果:
# tensor([[1, 2, 3],
# [4, 5, 6]])
# tensor([[ 7, 8, 9],
# [10, 11, 12]])
#
# 2维张量dim=1不均等分割结果:
# tensor([[ 1],
# [ 4],
# [ 7],
# [10]])
# tensor([[ 2, 3],
# [ 5, 6],
# [ 8, 9],
# [11, 12]])
注:
split返回张量元组 ,每个元素为分割后的子张量,可通过索引提取(如split_t1[0]);- 不均等分割时,整数列表的元素和必须等于目标维度的总长度,否则会报错;
- 均等分割传入单个整数时,若目标维度长度无法被该整数整除,最后一个子张量长度会小于指定值(如长度 8 按 3 分割,结果为 [3,3,2]);
- 分割后所有子张量的非分割维度形状与原张量一致,仅分割维度按规则拆分。
4. 张量的代数运算
1. 哈达玛积(Hadamard Product)
哈达玛积是张量按元素相乘的代数运算,数学符号为 ⊙,核心作用是对两个张量的对应位置元素进行乘法融合,能更好地融合两个张量的特征信息,是深度学习中特征融合的常用基础运算。
核心特性
- 哈达玛积不会改变张量的形状,运算后张量的
shape与原张量完全一致; - 运算要求参与计算的两个张量形状完全相同(或满足广播机制),否则无法执行按元素相乘;
- 哈达玛积为逐元素独立运算,每个位置的结果仅由两个张量对应位置的元素相乘得到,无维度间的交叉计算。
python
import torch
# 基础哈达玛积:形状相同的张量按元素相乘
x = torch.tensor([[1, 2], [3, 4]], dtype=torch.float32)
y = torch.tensor([[5, 6], [7, 8]], dtype=torch.float32)
print("特征张量x:\n", x)
print("特征张量y:\n", y)
# 哈达玛积实现(两种方式效果一致)
hadamard_prod = x * y # 简洁写法,推荐使用
# hadamard_prod = torch.mul(x, y) # 方法调用写法
print("哈达玛积(x⊙y)结果:\n", hadamard_prod)
print("基础运算结果形状:", hadamard_prod.shape)
# 广播机制下的哈达玛积:形状不同但满足广播条件
a = torch.tensor([[1, 2], [3, 4]], dtype=torch.float32) # shape: [2,2]
b = torch.tensor([[2, 3]], dtype=torch.float32) # shape: [1,2]
print("\n广播运算-张量a:\n", a)
print("广播运算-张量b:\n", b)
broadcast_prod = a * b
print("广播后哈达玛积结果:\n", broadcast_prod)
print("广播运算结果形状:", broadcast_prod.shape)
# 运行结果:
# 特征张量x:
# tensor([[1., 2.],
# [3., 4.]])
# 特征张量y:
# tensor([[5., 6.],
# [7., 8.]])
# 哈达玛积(x⊙y)结果:
# tensor([[ 5., 12.],
# [21., 32.]])
# 基础运算结果形状: torch.Size([2, 2])
#
# 广播运算-张量a:
# tensor([[1., 2.],
# [3., 4.]])
# 广播运算-张量b:
# tensor([[2., 3.]])
# 广播后哈达玛积结果:
# tensor([[ 2., 6.],
# [ 6., 12.]])
# 广播运算结果形状: torch.Size([2, 2])
与矩阵乘法的区别
需注意哈达玛积(⊙)与普通矩阵乘法(×)的核心差异:
- 哈达玛积:按元素相乘,形状不变,要求形状相同 / 满足广播,用
x * y或torch.mul(x,y)实现; - 矩阵乘法:按矩阵运算规则计算(行 × 列),形状由原矩阵行列数决定,要求前一矩阵列数 = 后一矩阵行数,用
torch.matmul(x,y)或x @ y实现。
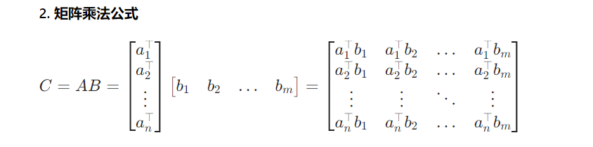
2.矩阵向量积和矩阵乘矩阵
矩阵与向量相乘使用torch.mv,矩阵与矩阵相乘使用torch.mm,二者均为 PyTorch 针对二维张量线性运算的专属方法,规则严格匹配线性代数学理。
(1)矩阵向量积:torch.mv
torch.mv(mat, vec)
参数介绍
mat:输入二维矩阵张量,形状为[m,n](m 行 n 列),要求为二维张量,不可为一维 / 三维及以上;vec:输入向量张量,形状为[n](一维张量)或[n,1](二维列向量),需满足矩阵列数 = 向量维度。
(2)矩阵乘矩阵:torch.mm
torch.mm(mat1, mat2)
参数介绍
mat1:第一个输入二维矩阵张量,形状为[m,n](m 行 n 列),要求为二维张量;mat2:第二个输入二维矩阵张量,形状为[n,k](n 行 k 列),要求为二维张量,需满足前矩阵列数 = 后矩阵行数。
python
import torch
# ===================== 矩阵向量积:torch.mv =====================
# 定义3行2列矩阵、2维一维向量(形状匹配)
mat = torch.tensor([[1,2], [3,4], [5,6]], dtype=torch.float32) # shape: [3,2]
vec = torch.tensor([7,8], dtype=torch.float32) # shape: [2]
mv_res = torch.mv(mat, vec)
print("【矩阵向量积】结果:", mv_res, " 形状:", mv_res.shape)
# ===================== 矩阵乘矩阵:torch.mm =====================
# 定义3行2列矩阵mat1、2行4列矩阵mat2(形状匹配)
mat1 = torch.tensor([[1,2], [3,4], [5,6]], dtype=torch.float32) # shape: [3,2]
mat2 = torch.tensor([[1,2,3,4], [5,6,7,8]], dtype=torch.float32)# shape: [2,4]
mm_res = torch.mm(mat1, mat2)
print("【矩阵乘矩阵】结果:\n", mm_res, " 形状:", mm_res.shape)
# 运行结果:
# 【矩阵向量积】结果: tensor([23., 53., 83.]) 形状: torch.Size([3])
# 【矩阵乘矩阵】结果:
# tensor([[11., 14., 17., 20.],
# [23., 30., 37., 44.],
# [35., 46., 57., 68.]]) 形状: torch.Size([3, 4])
注:
torch.mv和torch.mm仅支持二维张量 (矩阵)参与运算,一维张量仅可作为torch.mv的 vec 参数,三维及以上张量需使用torch.matmul;- 二者均要求形状严格匹配,不满足匹配规则会直接触发形状不匹配错误,无广播机制;
