给定一个二叉树,判断它是否是 平衡二叉树。
示例 1:

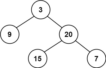
输入:root = [3,9,20,null,null,15,7]
输出:true
示例 2:

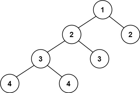
输入:root = [1,2,2,3,3,null,null,4,4]
输出:false
示例 3:
输入:root = []
输出:true
提示:
- 树中的节点数在范围
[0, 5000]内 -10^4 <= Node.val <= 10^4
分析:一棵树是平衡的,要么它是空树,要么它的左子树和右子树的高度之差的绝对值小于等于 1.用一个函数计算一个节点的子树高度,主函数内递归地判断所有的节点是否平衡。
cpp
/**
* Definition for a binary tree node.
* struct TreeNode {
* int val;
* struct TreeNode *left;
* struct TreeNode *right;
* };
*/
int height(struct TreeNode* node)
{
if(node==NULL)return 1;
return fmax(height(node->left),height(node->right))+1;
}
bool isBalanced(struct TreeNode* root) {
if(root==NULL)return true;
if(isBalanced(root->left)&&isBalanced(root->right)&&abs(height(root->right)-height(root->left))<=1)return true;
return false;
}