给你一棵二叉搜索树,请你返回一棵 平衡后 的二叉搜索树,新生成的树应该与原来的树有着相同的节点值。如果有多种构造方法,请你返回任意一种。
如果一棵二叉搜索树中,每个节点的两棵子树高度差不超过 1 ,我们就称这棵二叉搜索树是 平衡的 。
示例 1:

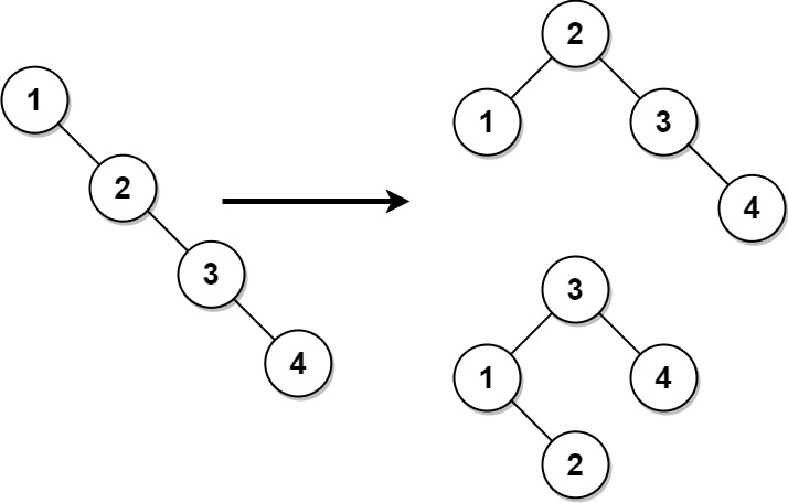
输入:root = [1,null,2,null,3,null,4,null,null]
输出:[2,1,3,null,null,null,4]
解释:这不是唯一的正确答案,[3,1,4,null,2,null,null] 也是一个可行的构造方案。
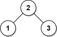
示例 2:

输入: root = [2,1,3]
输出: [2,1,3]
提示:
- 树节点的数目在
[1, 10^4]范围内。 1 <= Node.val <= 10^5
分析:先对原来的二叉搜索树进行中序遍历,得到递增序列。之后令中点作为新平衡树的根,再递归地建立根的左、右子树。
cpp
/**
* Definition for a binary tree node.
* struct TreeNode {
* int val;
* TreeNode *left;
* TreeNode *right;
* TreeNode() : val(0), left(nullptr), right(nullptr) {}
* TreeNode(int x) : val(x), left(nullptr), right(nullptr) {}
* TreeNode(int x, TreeNode *left, TreeNode *right) : val(x), left(left), right(right) {}
* };
*/
class Solution {
public:
void inorder(TreeNode* node,vector<int>&val)
{
if(node->left!=NULL)inorder(node->left,val);
val.push_back(node->val);
if(node->right!=NULL)inorder(node->right,val);
}
TreeNode* build(vector<int>&val,int l,int r)
{
if(l==r)return NULL;
int mid=(l+r)/2;
TreeNode *p=(TreeNode*)malloc(sizeof(TreeNode));
p->val=val[mid];p->left=build(val,l,mid);p->right=build(val,mid+1,r);
return p;
}
TreeNode* balanceBST(TreeNode* root) {
vector<int>val;
inorder(root,val);
int n=val.size();
TreeNode *root_new=build(val,0,n);
return root_new;
}
};