基于Spring Boot的老年社区资源分享平台设计与实现
摘 要
随着社会老龄化的加剧,老年人群体的生活需求日益受到关注。为了提升老年人的生活质量,促进他们的社交活动,通过平台实现老人们的资源共享与信息的交流,鼓励他们积极参与社区活动。通过丰富的活动和资源,提高老人们的生活质量,增强他们的幸福感和归属感。老年人不仅需要基本的生活照料,还渴望参与到社会活动中,以保持身心健康,增强社会归属感。本文设计并实现了一款基于Spring Boot的社区老年生活动资源分享平台。该平台旨在为老年人提供一个便捷的活动信息发布与交流的平台,促进社区内老年人之间的互动与支持。
关键词:SpringBoot; MySQL; 资源分享平台;社交活动
ABSTRACT
With the intensification of social aging, the living needs of the elderly group have attracted more and more attention. In order to improve the quality of life of the elderly and promote their social activities, the platform realizes the resource sharing and information exchange of the elderly, and encourages them to actively participate in community activities. Through abundant activities and resources, we can improve the quality of life of the elderly and enhance their sense of well-being and belonging. Older people not only need basic life care, but also desire to participate in social activities to maintain physical and mental health and enhance their sense of social belonging. In this paper, a Spring Boot-based resource sharing platform for community elderly students is designed and implemented. The platform aims to provide a convenient platform for the elderly to publish and exchange information on activities, and to promote interaction and support among the elderly in the community.
Keywords: SpringBoot; MySQL; resource sharing platform; Social events
目录
[2.3 Springboot 框架简介](#2.3 Springboot 框架简介)
[2.4 MyBatis Plus框架简介](#2.4 MyBatis Plus框架简介)
[2.5 VUE框架简介](#2.5 VUE框架简介)
[2.6 MySQL数据库简介](#2.6 MySQL数据库简介)
[4.3.2 用户登录流程](#4.3.2 用户登录流程)
[4.3.3 系统操作流程](#4.3.3 系统操作流程)
[4.3.4 添加信息流程](#4.3.4 添加信息流程)
[4.3.5 修改信息流程](#4.3.5 修改信息流程)
[4.3.6 删除信息流程](#4.3.6 删除信息流程)
[5.2.2 报名信息管理模块](#5.2.2 报名信息管理模块)
[5.2.3 评价反馈管理模块](#5.2.3 评价反馈管理模块)
[5.2.4 分享信息管理模块](#5.2.4 分享信息管理模块)
[5.2.5 系统管理模块](#5.2.5 系统管理模块)
[5.2.6 公告通知管理模块](#5.2.6 公告通知管理模块)
[5.2.7 资源模块](#5.2.7 资源模块)
[结 论](#结 论)
[致 谢](#致 谢)
1 绪论
1.1项目背景
第七次全国人口普查结果显示,我国60岁及以上人口已经超过了2.64亿人,占比高达 18.7%,65岁及以上人口已经超过了1.9亿人,占比达到13.5%[1][2]。随着我国小型化家庭的增多和老龄化程度的加深,如何提高老年人社会参与,解决老龄化带来的各种问题迫在眉睫[3]。如何处理好如此庞大的老年人口问题与我国未来的经济持续发展密切相关。并且伴随着小型化家庭与独居、空巢老人的比重不断升高,我国传统家庭养老模式受到冲击,老年群体的独立意识增强,可能不再偏好与子女同住,更愿意通过"机构养老"以给家人减负,追求自身社会价值的体现。可见,在多方面因素的影响下,社会参与对老年人的重要性日益提升[4]。
在当前人口老龄化背景下,社区养老服务作为满足老年人基本生活需求和提高其生活质量的重要方式,其发展状况直接影响到老年人的幸福感和社会的和谐稳定[5]。
随着社会老龄化的加剧,老年人群体的生活需求日益增加,尤其是在社区活动和资源分享方面。设计并实现一个易于适应的老年生活动资源分享平台,帮助老人们更好的参与活动。通过平台实现老人们的资源共享与信息的交流,鼓励他们积极参与社区活动。通过丰富的活动和资源,提高老人们的生活质量,增强他们的幸福感和归属感。老年人不仅需要基本的生活照料,还渴望参与到社会活动中,以保持身心健康,增强社会归属感。通过丰富多样的活动,老年人可以建立社交联系,提升生活满意度。
并且各级政府和社会组织越来越重视老年人的生活质量,相关政策和资金支持不断增加,为社区老年活动资源分享平台的建立提供了良好的外部环境。社区老年生活动资源分享平台的建立不仅是应对老龄化社会的必要举措,也是提升老年人生活质量、促进社区发展的重要手段。
1.2项目意义
为了促进老年人之间的交流与互动,提高他们的生活质量,为了老人们的老年生活能够可以丰富多彩为此设计并实现一个基于Spring Boot的社区老年生活动资源分享平台显得尤为重要。大力发展社区养老志愿服务队伍,鼓励更多居民参与到为老服务中来,有利于培养敬老尊老的社会环境,使老年人感受到社会的关爱,有利于提高老年人的生活满意度水平[6]。此系统旨在老人年们晚年生活枯燥乏味,为提高老年生活水平特设计此系统,随着年龄的增加,老年人的身体各器官以及大脑的功能性衰退,容易导致认知功能出现一定障碍,主要表现为记忆力下降、注意力无法集中、反应迟缓、语言障碍以及计算能力下降等[7][8]在鼓励老年人积极投入社会参与的基础上,重点关注城乡社会环境差异,努力实现城乡共同发展[9]。
1.3选题意义
从社会的角度分析:随着全球人口老龄化的加剧,老年人群体的生活质量和社会参与度受到越来越多的关注。社交网络的打开有助于老年人获取更多的信息[10],社区老年生活动资源分享平台可以帮助老年人更好地获取信息、参与活动,促进他们的社交互动和心理健康。此外,农村老年人的认知功能情况不容乐观,应给予农村老年人更多关注,并针对老年个体不同认知维度的衰退,制定更为精细化、可操作性的干预策略,从而延缓老年人认知功能的衰退进程[11]。
从促进社区发展的角度分析:
该平台不仅能为老年人提供活动信息,还能促进社区资源的整合与共享,增强社区的凝聚力和活力。社区社会是政府主导下的参与式社区治理所需的基础资源[12]。通过平台,社区组织和志愿者可以更方便地发布活动信息,吸引更多老年人参与,形成良好的社区氛围。
基于springboot的社区老年生活动资源分享平台的设计与实现,不仅仅具有重要的社会价值,而且还能推动社区的发展,提高老年生活的质量。基于此原因这一选题具有重要的研究价值和实践意义。
1.4国内外研究现状
1.4.1国内研究现状
根据相关研究表明,老年人多参与社会活动有助于身心健康,随着信息技术的发展,越来越多的研究开始关注如何利用互联网来提高老年生活的幸福指数,社区资源共享平台的资源,以便老年人能够方便的获取信息参与活动。在现阶段关于主观幸福感的研究多集中于中青年这一年龄段,以老年人为研究对象的仍较少,而老年人正成为不容忽视的一大群体[13]。并且许多研究也探讨过共享平台在社区的应用,并且尤其在老年人生活这一方面。国内也已经有了针对老年人活动资源分享的平台例如老年人活动中心网站,社区的服务APP等这一类资源分享平台。并且这些都是为了促进老年人的社会交往和信息获取。虽然已经有了不少的研究和实践,但是任然存在一些问题和挑战,比如老年人对这类事物的接受程度,数据的安全,隐私的保护等一系列问题。在未来可以加强对老人能否接受这类新鲜事物的能力,以及设计对用户更加友好的体验感,因为老年人对新鲜事物接受程度慢,所以家庭支持与陪伴是至关重要的,家庭成员可耐心地与老年人共同学习和使用 互联网,提供技术支持和指导,增加他们的使用经验,缓解他们对技术的恐惧心理[14]。当前社区参与实践仍是由社区工作人员主导进行的,忽视了老年群体的主观能动性和累积优势[15],所以对于这些原因,在国内已经开始了这方面的研究探索,但是仍然需要进一步的探索和开发,以便可以满足老年人的需求。通过整合一些资源可以更好的为老年人创造更加丰富的社区资源共享的生活体验。
许多学者关注老年人的社会支持系统,包括家庭支持、社区支持和社会服务的整合。研究表明,良好的社会支持能够显著提高老年人的生活质量[16]。并且一些研究和实践案例展示了如何利用Spring Boot开发社区服务平台,涵盖了用户管理、资源共享、活动发布等功能模块[17]。一些城市已经建立了以老年人为中心的社区服务平台,提供活动信息、志愿者服务、健康咨询等,取得了良好的社会反响。
但是目前仍然存在一些问题,例如资源分配不均匀,社区工作者消极工作,功能不完善等一系列问题需要去解决。
1.4.2国外研究现状
在国外主要研究集中在老人社会参与、信息技术的应用、社区资源共享、以及老年人友好型设计等多个方面美国学者[18]于上世纪 50 年代提出了活动理论并将其应用于老年学研究。
在国外主要研究集中在老人社会参与、信息技术的应用、社区资源共享、以及老年人友好型设计等多个方面。
国外研究普遍强调老年人参与社会活动的重要性。许多研究表明,积极的社会参与能够改善老年人的心理健康和生活质量。
在欧美国家,信息技术在老年人生活中的应用已经取得了显著进展。例如,许多研究关注如何利用移动应用和在线平台为老年人提供健康管理、社交互动和活动组织等服务。研究者们开发了多种应用程序,旨在帮助老年人获取信息、参与活动,并与家人和朋友保持联系。
国外的社区资源共享平台研究主要集中在如何整合和优化社区资源,以便老年人能够更方便地获取信息和参与活动。许多平台通过提供活动信息、志愿服务和社交机会,促进了老年人的社区参与。例如,"Nextdoor" 和 "Meetup" [19][20]等平台在促进社区互动方面取得了成功。
尽管国外在老年人活动资源分享平台的研究和实践方面取得了一定进展,但仍面临一些挑战,如老年人对新技术的接受度、平台的可用性设计、数据安全与隐私保护等。未来的研究可以着重于提升老年人的技术接受能力。
国外在基于Spring Boot的社区老年生活动资源分享平台的设计与实现方面,已经积累了一定的理论和实践基础。通过整合信息技术与社区资源,可以为老年人提供更丰富的活动参与机会和更高质量的生活体验。未来的研究可以进一步探索如何优化这些平台,以更好地满足老年人的需求。
2相关技术简介
2.1软件开发环境及工具
操作系统:Windows 11、Windows 10、Windows 8、Windows 7
开发语言:Java
使用框架:spring boot
开发工具:IDEA(2020版)/MyEclipse(2017)/Eclipse
数据库:MySQL 5.6以上
数据库管理工具: Navicat
JDK版本:Java sdk 1.8
Maven:apache-maven 3.6.1-bin
2.2硬件环境
CPU:2.0GHz及以上
内存:8GB及以上
硬盘:100MB以上
2.3 Springboot 框架 简介
Spring Boot,作为Spring生态系统中一颗璀璨的明星,以其"约定优于配置"的核心理念,极大地简化了Java应用的开发、部署与管理流程。它并非是对Spring框架的颠覆,而是在其基础上进行了深度封装与优化,旨在快速搭建独立的、生产级别的Spring应用。Spring Boot通过自动配置功能,减少了大量繁琐的配置工作,让开发者能够更加专注于业务逻辑的实现。同时,它集成了众多常用库,如数据库连接池、缓存、消息队列等,为开发者提供了一站式的解决方案。此外,Spring Boot还支持多种部署方式,无论是传统的WAR包部署,还是现代的容器化部署,都能轻松应对。因此,选择Spring Boot作为老年社区资源分享平台的开发框架,不仅能够提升开发效率,还能确保系统的稳定性和可维护性。
2. 4 MyBatis Plus 框架简介
MyBatis Plus作为MyBatis的强化版,以其卓越的简化开发流程、增强的CRUD操作功能以及灵活的查询构建能力,在Java企业级应用开发中大放异彩。它不仅保留了MyBatis的灵活性和SQL控制能力,还通过内置通用Mapper、条件构造器、代码生成器等工具,极大减轻了开发者的负担。MyBatis Plus的自动填充、乐观锁、逻辑删除等特性,更是为数据管理提供了强大的支持。在基于Spring Boot的老年社区资源分享平台中引入MyBatis Plus,意味着可以更快地实现复杂的数据操作逻辑,更灵活地应对业务需求变化,同时保持代码的清晰和可维护性,是提升开发效率、保障系统稳定性的不二之选。
2. 5 VUE框架简介
Vue框架,作为一款风靡前端的JavaScript框架,以其渐进式、组件化的设计理念,为开发者构建高效、灵活的Web界面提供了强大支持。Vue不仅轻量且易于上手,其核心库专注于视图层,使得开发者能够轻松地将Vue集成到现有项目中,实现前后端分离的现代Web应用开发。其响应式的数据绑定和组件系统,让开发者能够高效地管理界面状态和用户交互,同时Vue丰富的生态系统也提供了众多插件和工具,进一步提升了开发效率和应用的性能。在基于Spring Boot的老年社区资源分享平台中引入Vue作为前端框架,不仅可以优化用户界面的渲染和交互体验,还能通过前后端分离的架构提升系统的可维护性和可扩展性,是构建现代、高效老年社区资源分享平台的理想选择。
2. 6 MySQL数据库简介
MySQL数据库,作为开源关系型数据库管理系统的佼佼者,以其高性能、可靠性、易用性和灵活性,在全球范围内被广泛应用于各类企业级应用中。MySQL采用SQL(结构化查询语言)作为数据操作的标准语言,支持复杂的查询、数据更新、索引优化等功能,确保数据的高效存取和完整性。其强大的事务处理能力,为业务逻辑的原子性、一致性、隔离性和持久性提供了坚实保障。此外,MySQL还具备高度的可配置性和可扩展性,通过优化存储引擎、调整配置参数等手段,可以轻松应对高并发、大数据量的应用场景。在基于Spring Boot的老年社区资源分享平台中,MySQL作为后端数据存储的核心,不仅为系统提供了稳定可靠的数据支持,还通过其丰富的数据操作功能,助力系统实现复杂的业务逻辑和高效的数据管理。
3系统需求分析
3. 1 系统功能性分析
本课题文旨在设计与实现一个基于Spring Boot的老年社区资源分享平台,该平台主要面向老年用户和管理员,提供一系列便捷的功能,以促进老年人之间的资源共享和信息交流。以下是对该平台主要功能的详细分析。
3.1.1老人用户功能分析
登录注册:用户可以通过简单的注册流程创建个人账户,系统提供便捷的登录方式,确保用户信息的安全性和隐私保护。注册过程中,用户需要填写基本信息,如姓名、年龄、联系方式等,以便于后续的服务和活动参与。
首页:老年用户登录后将进入首页,首页展示最新的公告通知、活动信息和分享信息等内容,界面友好且易于操作,方便用户快速获取所需信息。
公告通知:用户可以查看社区发布的公告和通知,包括重要活动、政策变化和社区新闻等,这一功能确保老年人能够及时了解社区动态,参与到社区生活中。
区报资讯:该功能提供地方新闻和生活资讯,老年用户可以浏览与自己生活相关的信息,增强对社区的归属感和参与感。
活动信息:用户可以查看即将举行的各类活动信息,包括文娱活动、健身课程、志愿服务等,促进老年人积极参与社区活动,丰富他们的社交生活。
分享信息:老年用户可以在平台上发布自己的分享信息,如闲置物品、服务信息、经验交流等,也可以查看和评论其他用户发布的分享信息,促进资源的有效利用和信息的互通有无。
我的账户:用户可以在此功能中管理个人信息,包括修改密码、更新联系方式等,确保账户信息的准确性和安全性。
个人中心:个人中心是老年用户的专属管理界面,包含多个子功能:
个人首页:展示用户的基本信息和参与活动的概况。
活动信息:查看自己参与的活动详情和进展。
报名信息:管理已报名参加的活动,方便用户随时查看和取消报名。
评价反馈:用户可以对参与的活动进行评价和反馈,帮助社区优化服务。
分享信息:查看自己发布的分享信息,方便管理和更新。
收藏:用户可以收藏感兴趣的活动或分享信息,方便日后查阅。
评论管理:用户可以管理自己对其他分享信息的评论,维护良好的社区氛围。
3.1.2管理员功能分析
后台首页:管理员登录后将进入后台首页,展示系统的整体运行状态和重要数据概览,便于管理员快速获取关键信息。
系统用户管理:管理员可以对注册用户进行管理,包括审核新用户、修改用户信息、禁用用户等,确保平台的安全和正常运行。
活动信息管理:管理员可以发布、编辑和删除各类活动信息,确保活动信息的及时更新和准确性,方便老年用户参与。
活动类型管理:管理员可以对活动类型进行管理,包括添加新的活动类型和编辑现有类型,便于用户快速找到感兴趣的活动。
报名信息管理:管理员可以查看和管理用户的报名信息,包括确认报名、取消报名等,确保活动的顺利进行。
评价反馈管理:管理员可以查看用户对活动的评价和反馈,及时处理用户的问题和建议,提升服务质量。
分享信息管理:管理员可以管理用户发布的分享信息,确保信息的真实性和合规性,维护良好的社区环境。
分享类型管理:管理员可以对分享信息的类型进行管理,便于用户快速找到相关的分享内容。
系统管理:包括轮播图管理,管理员可以更新平台首页的轮播图,吸引用户关注重要活动或信息。
公告通知管理:管理员可以发布和管理公告通知,确保用户及时了解社区动态。
资源管理:包括区报资讯和资讯分类,管理员可以对地方新闻和生活资讯进行管理,确保信息的准确性和及时性。
通过以上功能的设计与实现,基于Spring Boot的老年社区资源分享平台能够有效促进老年人之间的交流与合作,增强社区的凝聚力,为老年用户提供一个友好、便捷的信息共享环境。
3. 2 系统非功能性分析
基于Spring Boot的老年社区资源分享平台的非功能性需求分析是一个重要的部分。非功能性需求主要关注的是系统如何运行,而不是它具体完成什么功能。这些需求包括性能、可用性、安全性、可维护性、可扩展性、易用性等方面。以下是一个关于基于Spring Boot的老年社区资源分享平台非功能性需求分析的概要。
****性能需求:****系统需确保快速响应和高吞吐量,以支持大量用户同时访问,即使在高峰时段也能保持流畅的操作体验,避免因延迟或卡顿影响用户体验。
可用性 ****:****安系统必须具备高可用性,采用冗余部署、负载均衡等策略,确保即使部分组件故障也能迅速恢复服务,减少服务中断时间,保障用户业务的连续性。
安全性 ****:****鉴于系统处理用户敏感信息,如个人信息等,必须实施严格的安全措施,包括数据加密、访问控制、防攻击机制等,以保护用户数据免受未授权访问或泄露。
****可维护性:****系统设计应注重可维护性,采用模块化、标准化的架构,提供详尽的开发文档和用户手册,确保系统易于理解和维护,降低长期运维成本。
可扩展性 ****:****随着业务的发展,系统可能需要扩展功能或提升性能。因此,系统需具备灵活的可扩展性,能够轻松添加新模块、优化性能,以应对未来增长的需求。
****易用性:****用户界面应直观易用,符合用户习惯,提供清晰的导航和友好的操作反馈,帮助用户快速上手并高效完成任务,提升整体用户满意度。
3. 3 系统可行性分析
通过基于Spring Boot的老年社区资源分享平台的可行性分析,我们可以从技术可行性、经济可行性、操作可行性三个维度进行深入探讨,以确保系统的开发与应用具有坚实的可行性基础。
3.3.1技术可行性
Springboot作为目前流行的Java企业级应用开发框架,以其"约定优于配置"的原则,极大地简化了开发流程,降低了技术门槛。同时,结合MyBatis Plus这一强大的ORM框架,可以高效实现数据持久化操作。前端采用Vue框架,不仅提升了用户界面的交互体验,也实现了前后端分离的现代Web架构。MySQL数据库作为后端数据存储,以其高性能和稳定性为系统提供了可靠的数据支持。综上所述,从技术角度来看,该系统的开发具备高度可行性。
3.3.2经济可行性
考虑到Springboot、Vue、MyBatis Plus及MySQL等均为开源技术,无需支付高昂的许可费用,大大降低了系统的开发成本。同时,这些技术拥有广泛的用户群体和成熟的社区支持,便于获取技术支持和资源共享。此外,系统的实施将显著提升老年社区资源分享平台的效率和用户体验,从而带来潜在的经济效益。因此,从经济角度来看,该系统的开发同样具备可行性。
3.3.3操作可行性
系统设计应遵循用户友好原则,确保用户能够轻松上手并高效使用。通过合理的界面布局、直观的操作流程以及详尽的帮助文档,可以大大降低用户的学习成本,提高系统的操作可行性。此外,系统还应具备完善的权限管理和数据安全机制,确保操作的安全性和合规性。
从技术、经济、操作三个维度来看,基于Spring Boot的老年社区资源分享平台的开发均具备高度的可行性。
3. 4 系统用例分析
基于Spring Boot的老年社区资源分享平台用例分析主要从老人用户和管理员两个实体展开描述。
3.4.1老人用户用例分析
老人用户具备登录注册、首页、公告通知、区报资讯、活动信息、分享信息、我的账户、个人中心(个人首页、活动信息、报名信息、评价反馈、分享信息、收藏、评论管理)等需求用例,详细用例图如图3-1所示。

图3-1老人用户用例图
3.4.2管理员用例分析
管理员具备后台首页、系统用户、活动信息管理、活动类型管理、报名信息管理、评价反馈管理、分享信息管理、分享类型管理、系统管理(轮播图管理)、公告通知管理、资源管理(区报资讯、资讯分类)等需求用例。详细用例图如图3-2所示。

图3-2管理员用例图
4系统设计
4.1系统总体设计思路
基于Spring Boot的老年社区资源分享平台采用Browser/Server结构,(浏览器/服务器)和基于Web服务前后台交互的模式,是一个适用于Windows体系环境下的模型结构。只要用户有符合程序运行的硬件系统,并连上互联网,便可以在任何时间、任何地点使用。系统工作原理图如图4-1所示:

图4-1系统工作原理图
其最终前后台交互原理如图4-2所示。

图4-2前后台交互原理
具体交互流程为:浏览器中执行具体操作,操作命令将生成一个do方法。该方法使得浏览器能够访问后台中的Controller层,Controller层由于业务上的需要执行进而访问Service层。Service层收到指令后将会去调用内部DAO层的接口。接口将会和MyBatis层下的一个SQL语句相对接。对接好之后进而访问MySql数据库。更新底层数据,然后将数据同步回MyBatis层,同步变化后的数据将通过DAO层接口,Service层和后台Controller层,直观反映到浏览器页面上。
4.2系统结构设计
基于Spring Boot的老年社区资源分享平台的整体结构设计如图4-3所示。

图4-3整体功能结构设计图
4.3系统功能设计
4.3.1系统开发流程
基于Spring Boot的老年社区资源分享平台开发时,首先进行需求分析,进而对系统进行总体的设计规划,设计系统功能模块,数据库的选择等,本系统的开发流程如图4-4所示。

图4-4系统开发流程图
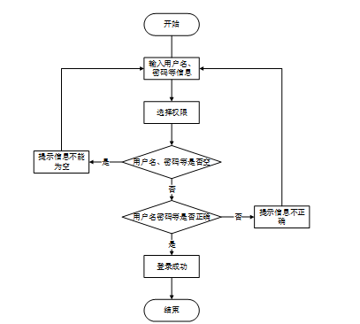
4 . 3 .2 用户登录流程
为了保证系统的安全性,要使用本系统对系统信息进行管理,必须先登陆到系统中。如图4-5所示。

图4-5 登录流程图
4.3.3 系统操作流程
用户打开并进入系统后,会先显示登录界面,输入正确的用户名和密码,系统自动检测信息,若信息无误,则用户会进入系统功能界面,进行操作,否则会提示错误无法登录,操作流程如图4-6所示。

图4-6 系统操作流程图
4.3.4 添加信息流程
管理员可以对公告通知、区报资讯、活动信息等进行信息的添加,用户可以对自己权限内的信息进行添加,输入信息后,系统会自行验证输入的信息和数据,若信息正确,会将其添加到数据库内,若信息有误,则会提示重新输入信息,添加信息流程如图4-7所示。

图4-7 添加信息流程图
4.3.5 修改信息流程
管理员可以对公告通知、区报资讯、活动信息等进行的修改,用户可以对自己权限内的信息进行修改,首先进入修改信息界面,输入修改信息数据,系统进行数据的判断验证,修改信息合法则修改成功,信息更新至数据库,信息不合法则修改失败,重新输入。修改信息流程图如图4-8所示。

图4-8 修改信息流程图
4.3.6 删除信息流程
管理员可以对公告通知、区报资讯、活动信息等进行信息的删除,对要删除的信息进行选中后,点击删除按钮,系统会询问是否确定,若点击确定,则系统会删除掉选中的信息,并在数据库内对信息进行删除,删除信息流程图如图4-9所示。

图4-9 删除信息流程图
4.4系统核心代码设计
基于Spring Boot的老年社区资源分享平台的核心代码设计如下:
4.4.1用户注册
注册页UserController.java,传入user对象,并将"user_id"、 "state"、 "user_group"、"login_time"、"phone"、"phone_state"、 "username"、"nickname"、"password"、"email"、"email_state"、"avatar"、"create_time"输入,重点是 "username"、"nickname"、"password"必须输入,通过获取username,数据库查询是否有该用户,如果存在,则提示"用户已存在",否则执行将UserId置为空(数据库表中该字段已设置自动递增),代码如图4-10所示。

图4-10注册核心代码图
4.4.2用户登录
登录页,首先传入"username"、"email"、"phone"、"password",用户可通过用户名、邮箱、手机号进行登陆,通过判断resultList来确定查询结果,然后执行查询用户组UserGroup,用户组里面不存在,依然报"用户不存在",执行完以上代码,最后涉及到用户带有"审核"的,会查询examine_state(用户的审核状态),数据库表user_group中含有source_table和source_field进行查询,以上步骤完成,对输入的密码进行存储Token到数据库,匹对账号和密码,数据库中的AccessToken为令牌,用于身份认证,代码如图4-11所示。

图4-11用户登录核心代码图
4.4.3修改密码
修改密码,通过请求data,获取旧密码,并将新密码重新赋值,期间都是需要通过加密,代码如图4-12所示。

图4-12修改密码核心代码图
4.4.4修改数据
修改一个数据,原理与add基本一致,不同点在于通过readConfig()读取关键字,以及通过readQuery()获取URL后面?指定位置的标识,转成Map对象后,执行update操作,同样通过拼接的sql语句执行,执行过程读取query,toWhereSql()语句完成数据库操作,body为修改对象的值,代码如图4-13所示。

图4-13修改数据核心代码图
4.4.5删除数据
删除一条数据,通过readQuery(),获取URL后面的对象地址,删除FROM具体的table,query删除查询FindConfig语句,代码如图4-14所示。

图4-14删除数据核心代码图
4.4.6获取列表
通过请求的参数获取列表数据,代码如图4-15所示。

图4-15获取列表核心代码图
4.4.7图片上传
通过请求的参数获取列表数据,代码如图4-16所示。

图4-16图片上传核心代码图
4.5数据库设计
4.5.1数据库设计原则
基于Spring Boot的老年社区资源分享平台在进行数据库设计时,考虑到个人能力与数据库选择,选择了数据库Mysql。以下将使用E-R展示数据库中设计的实体及主要的字段和类型及数据库的描述。
4.5.2数据库实体
通过建立基于Spring Boot的老年社区资源分享平台的E-R模型图。以此来设计详细的数据库资料实体,以下为具体图例:
(1)老人用户实体图如图4-17所示;

图4-17老人用户实体图
(2)活动信息实体图如图4-18所示;

图4-18活动信息实体图
(3)分享信息实体E-R图如图4-19所示;

图4-19分享信息实体E-R图
(4)报名信息实体图如图4-20所示;

图4-20报名信息实体图
(5)评价反馈实体图如图4-21所示;

图4-21评价反馈实体图
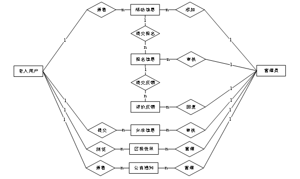
(6)数据库实体E-R图如图4-26所示:

图4-22数据库E-R图
4.5.3数据库表设计
以下为本课题开发过程中所使用的数据表结构:
表access_token (登陆访问时长)
|----|-------------|-----------|-------|-----|------|----|-------------------|------------|
| 编号 | 名称 | 数据类型 | 长度 | 小数位 | 允许空值 | 主键 | 默认值 | 说明 |
| 1 | token_id | int | 10 | 0 | N | Y | | 临时访问牌ID |
| 2 | token | varchar | 64 | 0 | Y | N | | 临时访问牌 |
| 3 | info | text | 65535 | 0 | Y | N | | |
| 4 | maxage | int | 10 | 0 | N | N | 2 | 最大寿命:默认2小时 |
| 5 | create_time | timestamp | 19 | 0 | N | N | CURRENT_TIMESTAMP | 创建时间: |
| 6 | update_time | timestamp | 19 | 0 | N | N | CURRENT_TIMESTAMP | 更新时间: |
| 7 | user_id | int | 10 | 0 | N | N | 0 | 用户编号: |
表activity_type (活动类型)
|----|------------------|-----------|----|-----|------|----|-------------------|--------|
| 编号 | 名称 | 数据类型 | 长度 | 小数位 | 允许空值 | 主键 | 默认值 | 说明 |
| 1 | activity_type_id | int | 10 | 0 | N | Y | | 活动类型ID |
| 2 | activity_type | varchar | 64 | 0 | Y | N | | 活动类型 |
| 3 | create_time | datetime | 19 | 0 | N | N | CURRENT_TIMESTAMP | 创建时间 |
| 4 | update_time | timestamp | 19 | 0 | N | N | CURRENT_TIMESTAMP | 更新时间 |
表article (文章:用于内容管理系统的文章)
|----|-------------|-----------|------------|-----|------|----|-------------------|------------------------------------|
| 编号 | 名称 | 数据类型 | 长度 | 小数位 | 允许空值 | 主键 | 默认值 | 说明 |
| 1 | article_id | mediumint | 8 | 0 | N | Y | | 文章id:[0,8388607] |
| 2 | title | varchar | 125 | 0 | N | Y | | 标题:[0,125]用于文章和html的title标签中 |
| 3 | type | varchar | 64 | 0 | N | N | 0 | 文章分类:[0,1000]用来搜索指定类型的文章 |
| 4 | hits | int | 10 | 0 | N | N | 0 | 点击数:[0,1000000000]访问这篇文章的人次 |
| 5 | praise_len | int | 10 | 0 | N | N | 0 | 点赞数 |
| 6 | create_time | timestamp | 19 | 0 | N | N | CURRENT_TIMESTAMP | 创建时间: |
| 7 | update_time | timestamp | 19 | 0 | N | N | CURRENT_TIMESTAMP | 更新时间: |
| 8 | source | varchar | 255 | 0 | Y | N | | 来源:[0,255]文章的出处 |
| 9 | url | varchar | 255 | 0 | Y | N | | 来源地址:[0,255]用于跳转到发布该文章的网站 |
| 10 | tag | varchar | 255 | 0 | Y | N | | 标签:[0,255]用于标注文章所属相关内容,多个标签用空格隔开 |
| 11 | content | longtext | 2147483647 | 0 | Y | N | | 正文:文章的主体内容 |
| 12 | img | varchar | 255 | 0 | Y | N | | 封面图 |
| 13 | description | text | 65535 | 0 | Y | N | | 文章描述 |
表article_type (文章分类)
|----|-------------|-----------|-------|-----|------|----|-------------------|-------------------------------------------|
| 编号 | 名称 | 数据类型 | 长度 | 小数位 | 允许空值 | 主键 | 默认值 | 说明 |
| 1 | type_id | smallint | 5 | 0 | N | Y | | 分类ID:[0,10000] |
| 2 | display | smallint | 5 | 0 | N | N | 100 | 显示顺序:[0,1000]决定分类显示的先后顺序 |
| 3 | name | varchar | 16 | 0 | N | N | | 分类名称:[2,16] |
| 4 | father_id | smallint | 5 | 0 | N | N | 0 | 上级分类ID:[0,32767] |
| 5 | description | varchar | 255 | 0 | Y | N | | 描述:[0,255]描述该分类的作用 |
| 6 | icon | text | 65535 | 0 | Y | N | | 分类图标: |
| 7 | url | varchar | 255 | 0 | Y | N | | 外链地址:[0,255]如果该分类是跳转到其他网站的情况下,就在该URL上设置 |
| 8 | create_time | timestamp | 19 | 0 | N | N | CURRENT_TIMESTAMP | 创建时间: |
| 9 | update_time | timestamp | 19 | 0 | N | N | CURRENT_TIMESTAMP | 更新时间: |
表auth (用户权限管理)
|----|----------------|-----------|-------|-----|------|----|-------------------|---------|
| 编号 | 名称 | 数据类型 | 长度 | 小数位 | 允许空值 | 主键 | 默认值 | 说明 |
| 1 | auth_id | int | 10 | 0 | N | Y | | 授权ID: |
| 2 | user_group | varchar | 64 | 0 | Y | N | | 用户组: |
| 3 | mod_name | varchar | 64 | 0 | Y | N | | 模块名: |
| 4 | table_name | varchar | 64 | 0 | Y | N | | 表名: |
| 5 | page_title | varchar | 255 | 0 | Y | N | | 页面标题: |
| 6 | path | varchar | 255 | 0 | Y | N | | 路由路径: |
| 7 | parent | varchar | 64 | 0 | Y | N | | 父级菜单 |
| 8 | parent_sort | int | 10 | 0 | N | N | 0 | 父级菜单排序 |
| 9 | position | varchar | 32 | 0 | Y | N | | 位置: |
| 10 | mode | varchar | 32 | 0 | N | N | _blank | 跳转方式: |
| 11 | add | tinyint | 3 | 0 | N | N | 1 | 是否可增加: |
| 12 | del | tinyint | 3 | 0 | N | N | 1 | 是否可删除: |
| 13 | set | tinyint | 3 | 0 | N | N | 1 | 是否可修改: |
| 14 | get | tinyint | 3 | 0 | N | N | 1 | 是否可查看: |
| 15 | field_add | text | 65535 | 0 | Y | N | | 添加字段: |
| 16 | field_set | text | 65535 | 0 | Y | N | | 修改字段: |
| 17 | field_get | text | 65535 | 0 | Y | N | | 查询字段: |
| 18 | table_nav_name | varchar | 500 | 0 | Y | N | | 跨表导航名称: |
| 19 | table_nav | varchar | 500 | 0 | Y | N | | 跨表导航: |
| 20 | option | text | 65535 | 0 | Y | N | | 配置: |
| 21 | create_time | timestamp | 19 | 0 | N | N | CURRENT_TIMESTAMP | 创建时间: |
| 22 | update_time | timestamp | 19 | 0 | N | N | CURRENT_TIMESTAMP | 更新时间: |
表code_token
|----|---------------|-----------|-----|-----|------|----|-------------------|-------|
| 编号 | 名称 | 数据类型 | 长度 | 小数位 | 允许空值 | 主键 | 默认值 | 说明 |
| 1 | code_token_id | int | 10 | 0 | N | Y | | |
| 2 | token | varchar | 255 | 0 | Y | N | | |
| 3 | code | varchar | 255 | 0 | Y | N | | 验证码 |
| 4 | expire_time | timestamp | 19 | 0 | N | N | CURRENT_TIMESTAMP | 失效时间 |
| 5 | create_time | timestamp | 19 | 0 | N | N | CURRENT_TIMESTAMP | 创建时间 |
| 6 | update_time | timestamp | 19 | 0 | N | N | CURRENT_TIMESTAMP | 更新时间: |
表collect (收藏)
|----|--------------|-----------|-----|-----|------|----|-------------------|--------|
| 编号 | 名称 | 数据类型 | 长度 | 小数位 | 允许空值 | 主键 | 默认值 | 说明 |
| 1 | collect_id | int | 10 | 0 | N | Y | | 收藏ID: |
| 2 | user_id | int | 10 | 0 | N | N | 0 | 收藏人ID: |
| 3 | source_table | varchar | 255 | 0 | Y | N | | 来源表: |
| 4 | source_field | varchar | 255 | 0 | Y | N | | 来源字段: |
| 5 | source_id | int | 10 | 0 | N | N | 0 | 来源ID: |
| 6 | title | varchar | 255 | 0 | Y | N | | 标题: |
| 7 | img | varchar | 255 | 0 | Y | N | | 封面: |
| 8 | create_time | timestamp | 19 | 0 | N | N | CURRENT_TIMESTAMP | 创建时间: |
| 9 | update_time | timestamp | 19 | 0 | N | N | CURRENT_TIMESTAMP | 更新时间: |
表comment (评论)
|----|--------------|-----------|------------|-----|------|----|-------------------|----------------|
| 编号 | 名称 | 数据类型 | 长度 | 小数位 | 允许空值 | 主键 | 默认值 | 说明 |
| 1 | comment_id | int | 10 | 0 | N | Y | | 评论ID: |
| 2 | user_id | int | 10 | 0 | N | N | 0 | 评论人ID: |
| 3 | reply_to_id | int | 10 | 0 | N | N | 0 | 回复评论ID:空为0 |
| 4 | content | longtext | 2147483647 | 0 | Y | N | | 内容: |
| 5 | nickname | varchar | 255 | 0 | Y | N | | 昵称: |
| 6 | avatar | varchar | 255 | 0 | Y | N | | 头像地址:[0,255] |
| 7 | create_time | timestamp | 19 | 0 | N | N | CURRENT_TIMESTAMP | 创建时间: |
| 8 | update_time | timestamp | 19 | 0 | N | N | CURRENT_TIMESTAMP | 更新时间: |
| 9 | source_table | varchar | 255 | 0 | Y | N | | 来源表: |
| 10 | source_field | varchar | 255 | 0 | Y | N | | 来源字段: |
| 11 | source_id | int | 10 | 0 | N | N | 0 | 来源ID: |
表elderly_users (老人用户)
|----|---------------------|-----------|----|-----|------|----|-------------------|--------|
| 编号 | 名称 | 数据类型 | 长度 | 小数位 | 允许空值 | 主键 | 默认值 | 说明 |
| 1 | elderly_users_id | int | 10 | 0 | N | Y | | 老人用户ID |
| 2 | user_name | varchar | 64 | 0 | Y | N | | 用户姓名 |
| 3 | user_gender | varchar | 64 | 0 | Y | N | | 用户性别 |
| 4 | user_age | varchar | 64 | 0 | Y | N | | 用户年龄 |
| 5 | contact_information | varchar | 64 | 0 | Y | N | | 联系方式 |
| 6 | examine_state | varchar | 16 | 0 | N | N | 已通过 | 审核状态 |
| 7 | user_id | int | 10 | 0 | N | N | 0 | 用户ID |
| 8 | create_time | datetime | 19 | 0 | N | N | CURRENT_TIMESTAMP | 创建时间 |
| 9 | update_time | timestamp | 19 | 0 | N | N | CURRENT_TIMESTAMP | 更新时间 |
表evaluation_feedback (评价反馈)
|----|------------------------|-----------|-------|-----|------|----|-------------------|--------|
| 编号 | 名称 | 数据类型 | 长度 | 小数位 | 允许空值 | 主键 | 默认值 | 说明 |
| 1 | evaluation_feedback_id | int | 10 | 0 | N | Y | | 评价反馈ID |
| 2 | activity_number | varchar | 64 | 0 | Y | N | | 活动编号 |
| 3 | event_name | varchar | 64 | 0 | Y | N | | 活动名称 |
| 4 | activity_type | varchar | 64 | 0 | Y | N | | 活动类型 |
| 5 | organize_user_events | int | 10 | 0 | Y | N | 0 | 举办用户 |
| 6 | evaluate_users | int | 10 | 0 | Y | N | 0 | 评价用户 |
| 7 | evaluation_time | datetime | 19 | 0 | Y | N | | 评价时间 |
| 8 | evaluation_type | varchar | 64 | 0 | Y | N | | 评价类型 |
| 9 | evaluation_score | double | 9 | 2 | Y | N | 0.00 | 评价分数 |
| 10 | evaluation_details | text | 65535 | 0 | Y | N | | 评价详情 |
| 11 | create_time | datetime | 19 | 0 | N | N | CURRENT_TIMESTAMP | 创建时间 |
| 12 | update_time | timestamp | 19 | 0 | N | N | CURRENT_TIMESTAMP | 更新时间 |
| 13 | source_table | varchar | 255 | 0 | Y | N | | 来源表 |
| 14 | source_id | int | 10 | 0 | Y | N | | 来源ID |
| 15 | source_user_id | int | 10 | 0 | Y | N | | 来源用户 |
表event_information (活动信息)
|----|--------------------------------------|-----------|------------|-----|------|----|-------------------|--------|
| 编号 | 名称 | 数据类型 | 长度 | 小数位 | 允许空值 | 主键 | 默认值 | 说明 |
| 1 | event_information_id | int | 10 | 0 | N | Y | | 活动信息ID |
| 2 | activity_number | varchar | 64 | 0 | Y | N | | 活动编号 |
| 3 | event_name | varchar | 64 | 0 | Y | N | | 活动名称 |
| 4 | activity_type | varchar | 64 | 0 | Y | N | | 活动类型 |
| 5 | cover_photo | varchar | 255 | 0 | Y | N | | 封面图片 |
| 6 | organize_user_events | int | 10 | 0 | Y | N | 0 | 举办用户 |
| 7 | start_time | datetime | 19 | 0 | Y | N | | 开始时间 |
| 8 | participation_conditions | varchar | 64 | 0 | Y | N | | 参与条件 |
| 9 | registration_fee | varchar | 64 | 0 | Y | N | | 报名费用 |
| 10 | venue_of_the_event | varchar | 64 | 0 | Y | N | | 举办地点 |
| 11 | event_details | longtext | 2147483647 | 0 | Y | N | | 活动详情 |
| 12 | hits | int | 10 | 0 | N | N | 0 | 点击数 |
| 13 | praise_len | int | 10 | 0 | N | N | 0 | 点赞数 |
| 14 | examine_state | varchar | 16 | 0 | N | N | 未审核 | 审核状态 |
| 15 | examine_reply | varchar | 16 | 0 | Y | N | | 审核回复 |
| 16 | registration_information_limit_times | int | 10 | 0 | N | N | 0 | 报名限制次数 |
| 17 | create_time | datetime | 19 | 0 | N | N | CURRENT_TIMESTAMP | 创建时间 |
| 18 | update_time | timestamp | 19 | 0 | N | N | CURRENT_TIMESTAMP | 更新时间 |
表hits (用户点击)
|----|--------------|-----------|-----|-----|------|----|-------------------|-------|
| 编号 | 名称 | 数据类型 | 长度 | 小数位 | 允许空值 | 主键 | 默认值 | 说明 |
| 1 | hits_id | int | 10 | 0 | N | Y | | 点赞ID: |
| 2 | user_id | int | 10 | 0 | N | N | 0 | 点赞人: |
| 3 | create_time | timestamp | 19 | 0 | N | N | CURRENT_TIMESTAMP | 创建时间: |
| 4 | update_time | timestamp | 19 | 0 | N | N | CURRENT_TIMESTAMP | 更新时间: |
| 5 | source_table | varchar | 255 | 0 | Y | N | | 来源表: |
| 6 | source_field | varchar | 255 | 0 | Y | N | | 来源字段: |
| 7 | source_id | int | 10 | 0 | N | N | 0 | 来源ID: |
表notice (公告)
|----|-------------|-----------|------------|-----|------|----|-------------------|-------|
| 编号 | 名称 | 数据类型 | 长度 | 小数位 | 允许空值 | 主键 | 默认值 | 说明 |
| 1 | notice_id | mediumint | 8 | 0 | N | Y | | 公告id: |
| 2 | title | varchar | 125 | 0 | N | N | | 标题: |
| 3 | content | longtext | 2147483647 | 0 | Y | N | | 正文: |
| 4 | create_time | timestamp | 19 | 0 | N | N | CURRENT_TIMESTAMP | 创建时间: |
| 5 | update_time | timestamp | 19 | 0 | N | N | CURRENT_TIMESTAMP | 更新时间: |
表praise (点赞)
|----|--------------|-----------|-----|-----|------|----|-------------------|----------------|
| 编号 | 名称 | 数据类型 | 长度 | 小数位 | 允许空值 | 主键 | 默认值 | 说明 |
| 1 | praise_id | int | 10 | 0 | N | Y | | 点赞ID: |
| 2 | user_id | int | 10 | 0 | N | N | 0 | 点赞人: |
| 3 | create_time | timestamp | 19 | 0 | N | N | CURRENT_TIMESTAMP | 创建时间: |
| 4 | update_time | timestamp | 19 | 0 | N | N | CURRENT_TIMESTAMP | 更新时间: |
| 5 | source_table | varchar | 255 | 0 | Y | N | | 来源表: |
| 6 | source_field | varchar | 255 | 0 | Y | N | | 来源字段: |
| 7 | source_id | int | 10 | 0 | N | N | 0 | 来源ID: |
| 8 | status | bit | 1 | 0 | N | N | 1 | 点赞状态:1为点赞,0已取消 |
表registration_information (报名信息)
|----|---------------------------------|-----------|-------|-----|------|----|-------------------|----------|
| 编号 | 名称 | 数据类型 | 长度 | 小数位 | 允许空值 | 主键 | 默认值 | 说明 |
| 1 | registration_information_id | int | 10 | 0 | N | Y | | 报名信息ID |
| 2 | activity_number | varchar | 64 | 0 | Y | N | | 活动编号 |
| 3 | event_name | varchar | 64 | 0 | Y | N | | 活动名称 |
| 4 | activity_type | varchar | 64 | 0 | Y | N | | 活动类型 |
| 5 | organize_user_events | int | 10 | 0 | Y | N | 0 | 举办用户 |
| 6 | registered_users | int | 10 | 0 | Y | N | 0 | 报名用户 |
| 7 | registration_time | datetime | 19 | 0 | Y | N | | 报名时间 |
| 8 | reason_for_registration | varchar | 64 | 0 | Y | N | | 报名原因 |
| 9 | registration_remarks | text | 65535 | 0 | Y | N | | 报名备注 |
| 10 | evaluation_feedback_limit_times | int | 10 | 0 | N | N | 0 | 评价反馈限制次数 |
| 11 | create_time | datetime | 19 | 0 | N | N | CURRENT_TIMESTAMP | 创建时间 |
| 12 | update_time | timestamp | 19 | 0 | N | N | CURRENT_TIMESTAMP | 更新时间 |
| 13 | source_table | varchar | 255 | 0 | Y | N | | 来源表 |
| 14 | source_id | int | 10 | 0 | Y | N | | 来源ID |
| 15 | source_user_id | int | 10 | 0 | Y | N | | 来源用户 |
表schedule (日程管理)
|----|----------------|----------|-----|-----|------|----|-----|------------------|
| 编号 | 名称 | 数据类型 | 长度 | 小数位 | 允许空值 | 主键 | 默认值 | 说明 |
| 1 | schedule_id | smallint | 5 | 0 | N | Y | | 日程ID:[0,32767] |
| 2 | content | varchar | 255 | 0 | Y | N | | 日程内容 |
| 3 | scheduled_time | datetime | 19 | 0 | Y | N | | 计划时间 |
| 4 | user_id | int | 10 | 0 | N | N | | 用户id |
| 5 | create_time | datetime | 19 | 0 | Y | N | | 创建时间 |
| 6 | update_time | datetime | 19 | 0 | Y | N | | 更新时间 |
表score (评分)
|----|--------------|-----------|-----|-----|------|----|-------------------|-------|
| 编号 | 名称 | 数据类型 | 长度 | 小数位 | 允许空值 | 主键 | 默认值 | 说明 |
| 1 | score_id | int | 10 | 0 | N | Y | | 评分ID: |
| 2 | user_id | int | 10 | 0 | N | N | 0 | 评分人: |
| 3 | nickname | varchar | 64 | 0 | Y | N | | 昵称: |
| 4 | score_num | double | 5 | 2 | N | N | 0.00 | 评分: |
| 5 | create_time | timestamp | 19 | 0 | N | N | CURRENT_TIMESTAMP | 创建时间: |
| 6 | update_time | timestamp | 19 | 0 | N | N | CURRENT_TIMESTAMP | 更新时间: |
| 7 | source_table | varchar | 255 | 0 | Y | N | | 来源表: |
| 8 | source_field | varchar | 255 | 0 | Y | N | | 来源字段: |
| 9 | source_id | int | 10 | 0 | N | N | 0 | 来源ID: |
表share_information (分享信息)
|----|----------------------|-----------|------------|-----|------|----|-------------------|--------|
| 编号 | 名称 | 数据类型 | 长度 | 小数位 | 允许空值 | 主键 | 默认值 | 说明 |
| 1 | share_information_id | int | 10 | 0 | N | Y | | 分享信息ID |
| 2 | resource_title | varchar | 64 | 0 | Y | N | | 资源标题 |
| 3 | sharing_type | varchar | 64 | 0 | Y | N | | 分享类型 |
| 4 | cover_photo | varchar | 255 | 0 | Y | N | | 封面图片 |
| 5 | share_users | int | 10 | 0 | Y | N | 0 | 分享用户 |
| 6 | user_name | varchar | 64 | 0 | Y | N | | 用户姓名 |
| 7 | share_time | datetime | 19 | 0 | Y | N | | 分享时间 |
| 8 | share_details | longtext | 2147483647 | 0 | Y | N | | 分享详情 |
| 9 | hits | int | 10 | 0 | N | N | 0 | 点击数 |
| 10 | praise_len | int | 10 | 0 | N | N | 0 | 点赞数 |
| 11 | examine_state | varchar | 16 | 0 | N | N | 未审核 | 审核状态 |
| 12 | create_time | datetime | 19 | 0 | N | N | CURRENT_TIMESTAMP | 创建时间 |
| 13 | update_time | timestamp | 19 | 0 | N | N | CURRENT_TIMESTAMP | 更新时间 |
表sharing_type (分享类型)
|----|-----------------|-----------|----|-----|------|----|-------------------|--------|
| 编号 | 名称 | 数据类型 | 长度 | 小数位 | 允许空值 | 主键 | 默认值 | 说明 |
| 1 | sharing_type_id | int | 10 | 0 | N | Y | | 分享类型ID |
| 2 | sharing_type | varchar | 64 | 0 | Y | N | | 分享类型 |
| 3 | create_time | datetime | 19 | 0 | N | N | CURRENT_TIMESTAMP | 创建时间 |
| 4 | update_time | timestamp | 19 | 0 | N | N | CURRENT_TIMESTAMP | 更新时间 |
表slides (轮播图)
|----|-------------|-----------|-----|-----|------|----|-------------------|--------|
| 编号 | 名称 | 数据类型 | 长度 | 小数位 | 允许空值 | 主键 | 默认值 | 说明 |
| 1 | slides_id | int | 10 | 0 | N | Y | | 轮播图ID: |
| 2 | title | varchar | 64 | 0 | Y | N | | 标题: |
| 3 | content | varchar | 255 | 0 | Y | N | | 内容: |
| 4 | url | varchar | 255 | 0 | Y | N | | 链接: |
| 5 | img | varchar | 255 | 0 | Y | N | | 轮播图: |
| 6 | hits | int | 10 | 0 | N | N | 0 | 点击量: |
| 7 | create_time | timestamp | 19 | 0 | N | N | CURRENT_TIMESTAMP | 创建时间: |
| 8 | update_time | timestamp | 19 | 0 | N | N | CURRENT_TIMESTAMP | 更新时间: |
表upload (文件上传)
|----|-----------|---------|-----|-----|------|----|-----|------|
| 编号 | 名称 | 数据类型 | 长度 | 小数位 | 允许空值 | 主键 | 默认值 | 说明 |
| 1 | upload_id | int | 10 | 0 | N | Y | | 上传ID |
| 2 | name | varchar | 64 | 0 | Y | N | | 文件名 |
| 3 | path | varchar | 255 | 0 | Y | N | | 访问路径 |
| 4 | file | varchar | 255 | 0 | Y | N | | 文件路径 |
| 5 | display | varchar | 255 | 0 | Y | N | | 显示顺序 |
| 6 | father_id | int | 10 | 0 | Y | N | 0 | 父级ID |
| 7 | dir | varchar | 255 | 0 | Y | N | | 文件夹 |
| 8 | type | varchar | 32 | 0 | Y | N | | 文件类型 |
表user (用户账户:用于保存用户登录信息)
|----|-------------|-----------|-----|-----|------|----|-------------------|-------------------------------------|
| 编号 | 名称 | 数据类型 | 长度 | 小数位 | 允许空值 | 主键 | 默认值 | 说明 |
| 1 | user_id | int | 10 | 0 | N | Y | | 用户ID:[0,8388607]用户获取其他与用户相关的数据 |
| 2 | state | smallint | 5 | 0 | N | N | 1 | 账户状态:[0,10](1可用|2异常|3已冻结|4已注销) |
| 3 | user_group | varchar | 32 | 0 | Y | N | | 所在用户组:[0,32767]决定用户身份和权限 |
| 4 | login_time | timestamp | 19 | 0 | N | N | CURRENT_TIMESTAMP | 上次登录时间: |
| 5 | phone | varchar | 11 | 0 | Y | N | | 手机号码:[0,11]用户的手机号码,用于找回密码时或登录时 |
| 6 | phone_state | smallint | 5 | 0 | N | N | 0 | 手机认证:[0,1](0未认证|1审核中|2已认证) |
| 7 | username | varchar | 16 | 0 | N | N | | 用户名:[0,16]用户登录时所用的账户名称 |
| 8 | nickname | varchar | 16 | 0 | Y | N | | 昵称:[0,16] |
| 9 | password | varchar | 64 | 0 | N | N | | 密码:[0,32]用户登录所需的密码,由6-16位数字或英文组成 |
| 10 | email | varchar | 64 | 0 | Y | N | | 邮箱:[0,64]用户的邮箱,用于找回密码时或登录时 |
| 11 | email_state | smallint | 5 | 0 | N | N | 0 | 邮箱认证:[0,1](0未认证|1审核中|2已认证) |
| 12 | avatar | varchar | 255 | 0 | Y | N | | 头像地址:[0,255] |
| 13 | open_id | varchar | 255 | 0 | Y | N | | 针对获取用户信息字段 |
| 14 | create_time | timestamp | 19 | 0 | N | N | CURRENT_TIMESTAMP | 创建时间: |
表user_group (用户组:用于用户前端身份和鉴权)
|----|--------------|-----------|-----|-----|------|----|-------------------|----------------------------|
| 编号 | 名称 | 数据类型 | 长度 | 小数位 | 允许空值 | 主键 | 默认值 | 说明 |
| 1 | group_id | mediumint | 8 | 0 | N | Y | | 用户组ID:[0,8388607] |
| 2 | display | smallint | 5 | 0 | N | N | 100 | 显示顺序:[0,1000] |
| 3 | name | varchar | 16 | 0 | N | N | | 名称:[0,16] |
| 4 | description | varchar | 255 | 0 | Y | N | | 描述:[0,255]描述该用户组的特点或权限范围 |
| 5 | source_table | varchar | 255 | 0 | Y | N | | 来源表: |
| 6 | source_field | varchar | 255 | 0 | Y | N | | 来源字段: |
| 7 | source_id | int | 10 | 0 | N | N | 0 | 来源ID: |
| 8 | register | smallint | 5 | 0 | Y | N | 0 | 注册位置: |
| 9 | create_time | timestamp | 19 | 0 | N | N | CURRENT_TIMESTAMP | 创建时间: |
| 10 | update_time | timestamp | 19 | 0 | N | N | CURRENT_TIMESTAMP | 更新时间: |
5系统实现
5.1 老人用户 功能实现
5.1.1系统首页模块
首页是系统的主界面,展示平台的核心内容,包括公告通知、区报资讯、活动信息等。用户可以通过首页快速访问各个功能模块,还可以根据关键词搜索相关内容,如图5-1所示。

图5-1系统首页界面图
5.1.2用户注册模块
用户注册:输入账号、设置密码、确认密码、姓名、邮箱、性别、头像等用户个人信息,点击注册按钮进行注册,如图5-2所示。

图5-2用户注册界面图
5.1.3用户登录模块
用户登录:输入账号跟密码点击登录按钮,校验通过后即可登录,用户登录如图5-3所示。

图5-3用户登录界面图
5.1.4区报资讯模块
点击系统导航栏上的"区报资讯"菜单按钮,将进入区报资讯列表,用户可以查看系统发布的所有区报资讯。点击资讯后进入详情页,可以查看资讯的详情内容。区报资讯页面如图5-4所示。

图5-4区报资讯界面图
5.1.5活动信息模块
点击系统导航栏上的"活动信息"菜单按钮,将进入活动信息列表,用户可以浏览所有的活动信息,支持根据关键词搜索感兴趣的活动信息。点击某条活动信息可查看详细内容,用户可以直接在线报名。活动信息列表如图5-5所示。活动信息详情页如图5-6所示。活动报名页如图5-7所示。

图5-5活动信息列表界面图

图5-6活动信息详情界面图

图5-7活动报名页界面图
5.1.6分享信息模块
点击系统导航栏上的"分享信息"菜单按钮,将进入分享信息列表,用户可以浏览所有的分享信息,用户可以根据关键词进行搜索和下拉搜索。点击某条分享信息可查看每个积分商品分享信息的详情内容,用户可以进行点赞、收藏、评论。分享信息列表如图5-8所示。分享信息详情页如图5-9所示。

图5-8分享信息列表界面图

图5-9分享信息详情界面图
5.1.7个人中心模块
个人中心:包括个人首页、活动信息、报名信息、评价反馈、分享信息、收藏、评论管理等功能。活动信息:可以查看自己参与的活动详情和进展,还可以发布活动信息。报名信息:管理已报名参加的活动,方便用户随时查看和取消报名。评价反馈:用户可以对参与的活动进行评价和反馈,帮助社区优化服务。分享信息:用户可以发布自己的分享信息。收藏:用户可以收藏感兴趣的活动或分享信息,方便日后查阅。评论管理:用户可以查看自己的评论记录和被回复信息。报名信息页面如图5-10。评价反馈提交页面如图5-11。活动信息发布页面如图5-12。分享信息发布页面如图5-13。

图5-10报名信息界面

图5-11评价反馈提交界面

图5-12活动信息发布界面

图5-13分享信息发布界面
5. 2 管理员功能实现
5.2.1活动信息管理模块
管理员点击"活动信息管理"这一菜单会显示活动信息列表和活动信息添加两个子菜单,管理员可以对活动信息进行增删改查操作,还可审核用户发布的活动信息和查看评论信息。活动信息列表界面如下图5-14所示。

图5-14活动信息列表界面图
5.2.2 报名信息管理模块
管理员点击"报名信息管理"这一菜单会显示报名信息列表子菜单,管理员可以查看和管理用户的报名信息,还可以查看用户的评价反馈,报名信息列表界面如下图5-15所示。

图5-15报名信息列表界面图
5.2.3 评价反馈管理模块
管理员点击系统左侧导航栏上"评价反馈管理"菜单,将会显示评价反馈列表子菜单,管理员可以查看用户对活动的评价和反馈,还可以进行查询、删除、重置等操作。评价反馈列表界面如下图5-16所示。

图5-16评价反馈列表界面图
5.2.4 分享信息管理模块
管理员点击系统左侧导航栏上"分享信息管理"菜单,将会显示分享信息列表和分享信息添加两个子菜单。点击"分享信息列表"可以审核、重置、删除、查询用户发布的活动信息,还可点击"查看评论"查看用户的评论信息。点击"分享信息添加",管理员可以发布新的分享信息。分享信息列表界面如下图5-17所示。

图5-17分享信息列表界面图
5.2.5 系统管理模块
管理员点击"系统管理-轮播图管理"菜单,可以对前台展示的轮播图进行设置,界面如下图5-18所示。

图5-18轮播图管理界面图
5.2.6 公告通知管理模块
管理员点击"公告通知管理"这个菜单,可以对系统中的公告通知进行管理,包括公告通知的增删改查等操作。公告通知管理界面如下图所示。

图5-19公告通知管理界面图
5.2.7 资源模块
管理员点击"资源管理"菜单,管理员可以上传、编辑或删除系统的资源,如文章、图片、视频等。这些资源可用于区报资讯模块的展示。管理员还可以对资讯进行分类和标签化,方便用户查找和使用,界面如下图所示。

图5-20资源管理界面图
6系统测试
6.1系统测试目标
为了保证"基于Spring Boot的老年社区资源分享平台"的质量,使其能够稳定的运行,并排除其可能存在的未知隐患。解除软件可能存在的故障,理清楚测试与纠错的关系,如图6-1所示。

图6-1测试与纠错信息流程
6.2系统功能测试
通过对系统中所含的主要实体对象及其功能操作进行测试用例设计。以下是详细的测试:
表6-1用户注册登录测试表
用户注册登录测试用例:
|---------|-------------|-----------------------------------------------------|-------------|----------|------|
| 用例说明 | 测试目的 | 测试步骤 | 预期结果 | 输出结果 | 通过情况 |
| 用户注册、登录 | 测试用户正确注册、登录 | 1. 在首页界面注册一个新用户,按规定输入合理的注册信息,提交。 2. 用户在登录界面输入账户密码登录 | 用户注册成功,登录成功 | 结果输出符合预期 | 通过 |
表6-2活动信息报名测试表
活动信息报名用例:
|--------|--------------|---------------------------|-----------------|----------|------|
| 用例说明 | 测试目的 | 测试步骤 | 预期结果 | 输出结果 | 通过情况 |
| 活动信息报名 | 测试用户活动信息报名功能 | 1. 在首页点击活动信息并看详情; 2. 点击报名 | 用户报名成功,生成报名信息列表 | 结果输出符合预期 | 通过 |
表6-3评论测试表
评论测试用例:
|------|----------|------------------------------------|----------|----------|------|
| 用例说明 | 测试目的 | 测试步骤 | 预期结果 | 输出结果 | 通过情况 |
| 评论 | 测试用户评论功能 | 1、在首页点击分享信息并看详情; 2、点击评论,输入相关信息点击提交 | 生成新的评论信息 | 结果输出符合预期 | 通过 |
表6-4区报资讯添加测试表
管理员区报资讯添加测试用例:
|----------|---------------|------------------------------------|----------|----------|------|
| 用例说明 | 测试目的 | 测试步骤 | 预期结果 | 输出结果 | 通过情况 |
| 区报资讯添加测试 | 测试管理员添加区报资讯功能 | 1. 管理员点击区报资讯管理,点击新增; 2. 输入相关信息点击提交 | 区报资讯添加成功 | 结果输出符合预期 | 通过 |
表6-5公告通知删除测试表
公告通知删除测试用例:
|----------|------------|------------------------------------|------------------|----------|------|
| 用例说明 | 测试目的 | 测试步骤 | 预期结果 | 输出结果 | 通过情况 |
| 公告通知删除测试 | 测试公告通知删除功能 | 1. 管理员点击公告通知管理; 2. 选择一个公告点击删除并确认删除 | 公告删除成功,前端不在展示该公告 | 结果输出符合预期 | 通过 |
6.3测试结果总结
经过上述测试,并对测试数据结果综合分析。基于Spring Boot的老年社区资源分享平台具备简便,数据透明等特性。完全符合老年社区资源分享平台的要求。
结 论
本论文围绕基于Spring Boot的老年社区资源分享平台的设计与实现进行了全面的研究与探讨。通过对系统需求的深入分析和功能模块的合理规划,成功构建了一个面向老年用户和管理员的多功能平台,旨在促进老年人之间的资源共享和信息交流,提升社区的整体服务质量。
在系统的设计过程中,充分考虑了老年用户的需求和使用习惯,确保界面友好、操作简便。系统提供的功能模块,如登录注册、公告通知、活动信息、分享信息以及个人中心等,极大地丰富了老年用户的社区生活,增强了他们的参与感和归属感。同时,管理员后台的设计,使得社区管理者能够高效地管理用户、活动和分享信息,确保平台的正常运行和信息的准确性。
通过系统的实现,老年用户能够方便地获取社区动态、参与各类活动、发布分享信息,从而形成一个良好的互动环境。管理员则能够通过系统高效地处理各类事务,提高社区管理的效率和服务质量。该平台不仅为老年人提供了一个信息交流和资源共享的渠道,也为社区的可持续发展奠定了基础。
在未来的工作中,可以进一步扩展平台的功能,例如引入智能推荐系统,根据用户的兴趣和历史活动推荐相关信息;同时,可以考虑整合更多的社交功能,促进老年人之间的互动与交流。此外,随着技术的不断发展,平台也应积极适应新技术的应用,如移动端支持和数据分析功能,以更好地满足老年用户日益增长的需求。
综上所述,基于Spring Boot的老年社区资源分享平台的设计与实现,不仅具有较高的实用价值和社会意义,也为后续相关研究和开发提供了良好的基础和借鉴。希望该平台能够在实际应用中发挥积极作用,促进老年社区的和谐发展。
参考文献
1\]宁吉喆. 第七次全国人口普查主要数据情况\[J\]. 中国统计, 2021(5): 4-5. \[2\]潘石. 中国人口结构失衡及其调整战略------基于第七次全国人口普查数据的分\[J\]. 税务与经济, 2022, (5): 1-10. \[3\]赵颖.积极老龄化背景下老年人社会参与的影响因素研究\[J\].运筹与模糊学,2022,12(4):1124-1130. \[4\]左苏齐,王耀毅.积极老龄化视域下老年人社会参与现状及路径研究\[J\].老龄化研究,2024,11(3):803-808. \[5\]苏海媚. 人口老龄化视角下社会工作介入社区养老服务路径探究\[J\]. 老龄化研究, 2024, 11(2): 267-271. https://doi.org/10.12677/ar.2024.112038. \[6\]孙月. 不同类型居家养老服务对老年人生活满意度的影响研究\[J\]. 社会福利(理论版), 2022(4): 15-24. \[7\]姚进忠,潘静文.积极老龄化:社区为本老年社会工作服务项目行动研究\[J\].社会工作与管理,2018,18(3):12-19+58. \[8\]左思洁, 汪颖. 老年人在线社交平台功能需求设计研究------基于2018年CHARLS数据\[J\]. 运筹与模糊学, 2023, 13(2): 593-601. \[9\]梁晓林,张冲.社会参与对老年人健康的影响研究---基于城乡差异视角\[J\].西华大学学报(哲学社会科学版),2023,42(2)57−71. \[10\]贺静雯, 梅妍妍, 皮道坤, 张燨文, 张雪伍. 老年群体数字化生存能力研究\[J\]. 老龄化研究, 2024, 11(3): 584-590. https://doi.org/10.12677/ar.2024.113077. \[11\]鲍瑞, 毛慧娟, 宋花玲, 谢国群, 陈学芬. 社会活动参与对我国老年人认知功能的影响------基于中国健康与养老追踪调查数据\[J\]. 数理医药学杂志, 2024, 37(1): 41-51. DOI: 10.12173/j.issn.1004-4337.202311040. \[12\]蓝宇蕴, 谢利发. 社区参与中的资源发掘路径探析------以F街社区互助会为例\[J\]. 华南师范大学学报(社会科学版), 2024, (2): 149-162. \[13\]侯捷. 社交活动对老年人主观幸福感的影响研究\[J\]. 可持续发展, 2023, 13(2): 441-448. DOI: 10.12677/sd.2023.132046. \[14\]吴厚津. 数字时代下老年人互联网使用影响因素研究\[J\]. 老龄化研究, 2023, 10(3): 504-511. DOI: 10.12677/ar.2023.103065. \[15\]林璐, 幸晓玥. 国内外老年社区参与研究热点及展望------基于CiteSpace知识图谱的可视化分析\[J\]. 老龄化研究, 2023, 10(4): 1366-1378. https://doi.org/10.12677/AR.2023.104179. \[16\]郭江月, 成喜玲.社会参与对老年人心理健康的影响研究\[J\].老龄化研究,2023,10(3):751-761. \[17\]蓝宇蕴, 谢利发. 社区参与中的资源发掘路径探析------以F街社区互助会为例\[J\]. 华南师范大学学报(社会科学版), 2024, (2): 149-162. \[18\]Cattan,M., \& Kime, N. (2013). "The role of social networks in the health of older people: A review of the literature." Aging \& Mental Health, 17(8), 1056-1066.DOI:10.1080/13607869.2013.795199. \[19\]Zheng, Z., Chen, H. and Yang, L. (2019) Transfer of Promotion Effects on Elderly Health with Age: From Physical Environment to Interpersonal Environment and Social Participation. International Journal of Environmental Research and Public Health, 16, 2794.https://doi.org/10.3390/ijerph16152794. \[20\]Bowlby,J.(2020)."The role of community in the lives of older adults: A qualitative study."Journal of Community Health, 45(5),1021-1028.DOI: 10.1007/s10900-020-00845-1.. 致 谢 在撰写这篇基于Spring Boot的老年社区资源分享平台的毕业论文之际,我满怀感激之情,回顾整个设计过程,从最初的构想到最终的成果,每一步都凝聚了众多人的支持与帮助。 在此,我要特别感谢我的导师。是您的悉心指导与无私奉献,让我在迷茫时找到了方向,在困难前鼓起了勇气。您的严谨治学态度和深厚学术造诣,不仅让我在学术上受益匪浅,更在人生道路上树立了榜样。 我也要感谢我的同学们。我们一起熬夜讨论,一起解决难题,你们的陪伴与帮助,让我的大学生活更加丰富多彩。在团队合作中,我学会了沟通与协作,也更加珍惜这份难得的友谊。 我还要感谢我的家人。是你们的理解与支持,让我能够全身心地投入到学业中。在我遇到挫折时,是你们给予我温暖与鼓励,让我有勇气面对一切挑战。 展望未来,我将带着这份感激与收获,继续前行。我深知,技术的道路永无止境,我将不断学习新知识,掌握新技能,为未来的工作与研究打下坚实的基础。同时,我也希望能将所学应用到更广阔的领域,为社会的发展贡献自己的一份力量。 > **请关注点赞+私信博主,免费领取项目源码**