简单
给你一个整数数组 nums ,其中元素已经按 升序 排列,请你将其转换为一棵 平衡 二叉搜索树。
示例 1:

输入:nums = [-10,-3,0,5,9]
输出:[0,-3,9,-10,null,5]
解释:[0,-10,5,null,-3,null,9] 也将被视为正确答案:
示例 2:

输入:nums = [1,3]
输出:[3,1]
解释:[1,null,3] 和 [3,1] 都是高度平衡二叉搜索树。
提示:
1 <= nums.length <= 104-104 <= nums[i] <= 104nums按 严格递增 顺序排列
📝 核心笔记:有序数组转 BST (Convert Sorted Array to BST)
1. 核心思想 (一句话总结)
"二分查找的逆向工程:数组的中点就是树的根。"
- 平衡性 :为了保证生成的是 高度平衡 的 BST,我们必须每次都选数组中间的元素作为根节点,这样左右子树的节点数量差不会超过 1。
- 结构映射:
-
- 数组中间元素 -> 根 (Root)
- 数组左半边 -> 左子树 (Left Subtree)
- 数组右半边 -> 右子树 (Right Subtree)
2. 算法流程 (分治三部曲)
- 找中点 (Find Mid) :计算当前范围
[left, right)的中间位置m。 - 造节点 (Build Node) :
new TreeNode(nums[m])。 - 递归连线 (Connect):
-
- 左孩子 = 递归处理
[left, m)。 - 右孩子 = 递归处理
[m + 1, right)。
- 左孩子 = 递归处理
🔍 代码回忆清单
// 题目:LC 108. Convert Sorted Array to Binary Search Tree
class Solution {
public TreeNode sortedArrayToBST(int[] nums) {
// 初始范围:[0, length),左闭右开
return dfs(nums, 0, nums.length);
}
// 辅助函数:在 nums[left...right-1] 范围内构建树
private TreeNode dfs(int[] nums, int left, int right) {
// 1. Base Case:
// 因为是右开区间 [ ),所以当 left == right 时区间为空,返回 null
if (left == right) {
return null;
}
// 2. 计算中点 (防止溢出写法)
// 比如 left=0, right=5 (5个数), m=2 (第3个数)
int m = (left + right) >>> 1;
// 3. 构建当前节点,并直接在构造函数中递归连接左右子树
// 左区间:[left, m) -> 不包含 m
// 右区间:[m + 1, right) -> 不包含 m
return new TreeNode(
nums[m],
dfs(nums, left, m),
dfs(nums, m + 1, right)
);
}
}
⚡ 快速复习 CheckList (易错点 & 区间对比)
-
\] **左闭右开** **[ )****vs 左闭右闭** **[ ]****?**
-
- 您的写法 (左闭右开):
-
-
- 入口:
dfs(0, len) - 终止:
left == right - 递归:
dfs(left, m)和dfs(m+1, right)
- 入口:
-
-
- 传统写法 (左闭右闭):
-
-
- 入口:
dfs(0, len - 1) - 终止:
left > right - 递归:
dfs(left, m-1)和dfs(m+1, right)
- 入口:
-
-
- 评价:您的写法在处理数组索引时通常更不容易出错。
-
\] **为什么要平衡?**
-
- 如果不选中间,而是选第一个元素做根,有序数组会退化成一个 链表,查找效率从 O(\\log N) 降为 。
-
\] **偶数个元素选哪个?**
-
[1, 2, 3, 4]。>>> 1会选偏右的那个(或偏左,取决于具体计算),这不影响平衡性,只要逻辑一致即可。
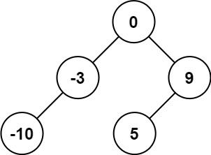
🖼️ 数字演练
数组:[-10, -3, 0, 5, 9] (Length = 5)
- dfs(0, 5):
-
m = 2. Val =0.- Root is
0. - Left:
dfs(0, 2)([-10, -3]). Right:dfs(3, 5)([5, 9]).
- dfs(0, 2) (Left side):
-
m = 1. Val =-3.- Node
-3. - Left:
dfs(0, 1). Right:dfs(2, 2)->null.
- dfs(0, 1):
-
m = 0. Val =-10.- Node
-10. Left/Rightnull.
结果结构:
0
/ \
-3 9
/ /
-10 5
(注:根据算中点的细节,9 和 5 的位置可能互换,或者是 5 做父节点 9 做子节点,都是合法的平衡 BST)