结论:
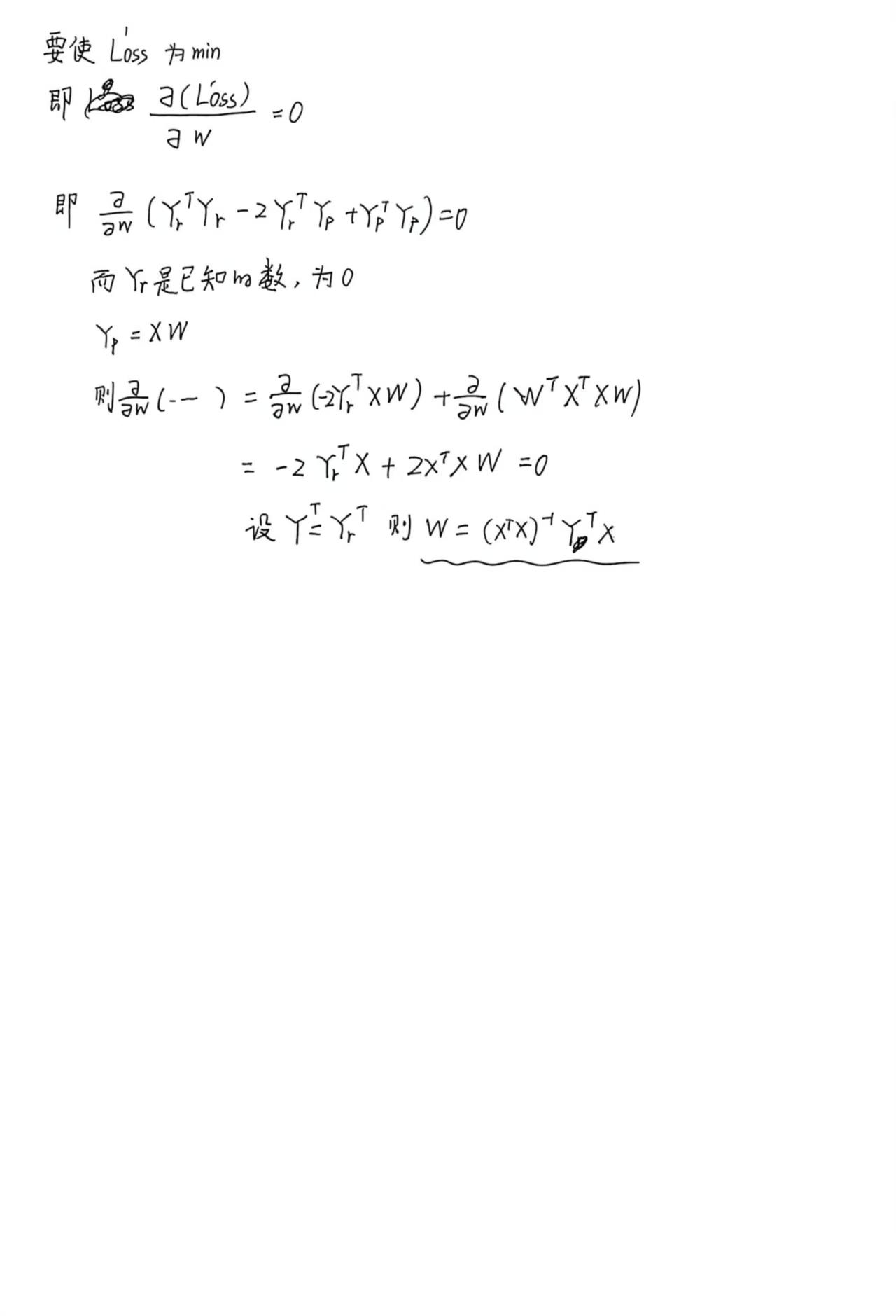
W=(X'X)^(-1)Y'X
' 表示T,转置,(-1)表示矩阵的逆
需知:
数学系中有两门基础课,分别是数分三和高代,其中多元函数的微积分在数分三里有提到,在求多元函数的偏导时,往往使用矩阵
Y=AX,那么Y对X的导数是A,这里Y是m*1的矩阵,A是m*n的矩阵,X是n*1的矩阵
Y=(AX)'(AX),Y对X地导数是A'A
我们考虑一个房价预测问题,我们想要知道一套房子的价格与房子的各个因素之间的关系房屋的价格收到房子的面积,房子的使用年龄以及与市中心的距离等等的影响,
假设y为房屋的价格,x1到xn来表示房子的各个因素,b为房子的基础价格
我们以及m套房子的具体信息,知道这m套房子的x1到xn以及y,我们想要知道关系式中的w1到wn以及b是多少。假设是线性关系
推导过程:y1到ym是已知的m套房子的房价,这m个等式中w1到wn以及b是未知数,
要使得Loss最小,就是对所有未知数求偏导为0,化为矩阵来做:

注意,这里Yp就是预测的Y值,Yr就是实际的Y值,他们都是矩阵
n+1设为n不影响,是因为n的任意性,设n+1=k,那么k可以设为n,不影响
Loss' 不是Loss的导数,是表示去掉1/m之后的那个部分,下面的w,Y等都是矩阵(向量)
