个人对递归的理解
如果读者已经阅读过我的动态规划相关的文章,特别是两个数组的动态规划这篇。你们会发现动态规划和递归非常的相似,甚至可以说动态规划就是递归的迭代实现。
当然这个说法是不太准确的,这要求问题必须有最优子结构,才能动态规划。
言归正传,在我看来递归的本质就缩小规模。对于一些问题,规模较小的时候我们能直接处理。规模大了就很难处理,那么递归就是我们只处理一部分,剩下部分交给递归处理。
干说有点晦涩,我们举两个实际的例子
两两交换链表中的节点
给你一个链表,两两交换其中相邻的节点,并返回交换后链表的头节点。你必须在不修改节点内部的值的情况下完成本题(即,只能进行节点交换)。

这个题目就非常符合我们缩减规模的思路,不管他给的链表多长,我们就只反转前两个结点,剩下部分就交给递归处理:
cpp
class Solution {
public:
ListNode* swapPairs(ListNode* head) {
if(!head||!head->next)return head;
ListNode*next=head->next;
head->next=swapPairs(next->next);//交给递归处理
next->next=head;//只反转头两个
return next;
}
};
知道为什么我们递归一定能实现吗。因为我们设置了一个规模最小值的出口。这里是链表为空或者只有一个结点就无需翻转。然后我们对原问题一直缩减规模,他最终一定会变成最小规模,然后解决。
这里就是我们递归设计的本质:
⑴ 边界条件:确定递归到何时终止;
⑵ 递归模式:大问题是如何分解为小问题的。
我们再看另一种形式的缩小规模。
全排列
给定一个不含重复数字的整数数组 nums ,返回其 所有可能的全排列 。可以 按任意顺序 返回答案。
示例 1:
输入:nums = [1,2,3]
输出:[[1,2,3],[1,3,2],[2,1,3],[2,3,1],[3,1,2],[3,2,1]]
例如我们要寻找1,2,3,4四个元素的全排列。直接求是比较困难的,但我们可以只做一部分工作,比如只确定排列的开头是哪个元素:

实际上就四种情况,我们确定好了哪个元素开头,再递归处理剩下三个元素的全排列即可。
这样我们就做到了缩小问题规模。
实际上实现要复杂一点,我们要标记已经排列好的元素,让他不能再后续出现。
具体实现:
cpp
class Solution {
public:
vector<vector<int>> permute(vector<int>& nums) {
int n=nums.size();
vector<bool>vis(n);
vector<vector<int>>ret;
vector<int>arrange(n);
function<void(int)>dfs=[&](int pos){//从哪个位置开始排列,即排列pos后的剩余元素
if(pos==n){//已经排列完所有元素,是其中一种结果
ret.emplace_back(arrange);
return;
}
for(int i=0;i<n;++i){
if(!vis[i]){//检测元素是否没被用过
arrange[pos]=nums[i];//1.没用过就当作首元素
vis[i]=true;
dfs(pos+1);//2.递归处理剩余排列
vis[i]=false;
}
}
};
dfs(0);
return ret;
}
};
值得注意的是,这就是所谓的回溯算法。
汉诺塔问题
题目描述
在经典汉诺塔问题中,有 3 根柱子及 N 个不同大小的穿孔圆盘,盘子可以滑入任意一根柱子。一开始,所有盘子自上而下按升序依次套在第一根柱子上(即每一个盘子只能放在更大的盘子上面)。移动圆盘时受到以下限制:
(1) 每次只能移动一个盘子;
(2) 盘子只能从柱子顶端滑出移到下一根柱子;
(3) 盘子只能叠在比它大的盘子上。
请编写程序,用栈将所有盘子从第一根柱子移到最后一根柱子。
你需要原地修改栈。
示例 1:
输入:A = [2, 1, 0], B = [], C = []
输出:C = [2, 1, 0]
示例 2:
输入:A = [1, 0], B = [], C = []
输出:C = [1, 0]
提示:
- A 中盘子的数目不大于 14 个。
算法原理和实现
根据我最开始的理论,我们可以缩小问题规模来解决问题。
首先只有一个盘子的情况我们是非常清晰的,直接挪过去就行了。
那多个盘子呢?

模糊其中过程,关键步骤无非就是:

我们先将上面n-1个盘子移动到中间柱子,然后把剩下盘子挪到最后一个柱子,最后把中间的柱子上的盘子挪到最后一个柱子。
那么我们是不是就将问题从n缩减到n-1规模。
这里缩减规模和前面全排列缩减规模区别无非就是,全排列是先解决小规模问题,再处理递归缩小规模问题。
这里是先处理递归缩小规模的问题,在处理小规模问题。
那么具体实现:
cpp
class Solution {
public:
void hanota(vector<int>& A, vector<int>& B, vector<int>& C) {
move(A.size(),A,B,C);
}
void move(int n,vector<int>& A, vector<int>& B, vector<int>& C){
if(!n)return;//没盘子了,无需移动
move(n-1,A,C,B);//将A上n-1盘子放到B
C.push_back(A.back());//将A的最后一个盘子放到C
A.pop_back();
move(n-1,B,A,C);//将B上的盘子挪到C
}
};
实际上这题如果想要跑的快,我们直接将AC交换即可:
cpp
class Solution {
public:
void hanota(vector<int>& A, vector<int>& B, vector<int>& C) {
swap(A,C);
}
};
合并两个有序链表
题目描述
将两个升序链表合并为一个新的 升序 链表并返回。新链表是通过拼接给定的两个链表的所有节点组成的。
示例 1:
输入:l1 = [1,2,4], l2 = [1,3,4]
输出:[1,1,2,3,4,4]
示例 2:
输入:l1 = [], l2 = []
输出:[]
示例 3:
输入:l1 = [], l2 = [0]
输出:[0]
提示:
- 两个链表的节点数目范围是 [0, 50]
- -100 <= Node.val <= 100
- l1 和 l2 均按 非递减顺序 排列
算法原理和实现
有了前面的缩减规模的经验,读者是不是已经猜到了我们要怎么做了?没错,我们这次一次合并一个结点,剩下交给递归处理。
cpp
/**
* Definition for singly-linked list.
* struct ListNode {
* int val;
* ListNode *next;
* ListNode() : val(0), next(nullptr) {}
* ListNode(int x) : val(x), next(nullptr) {}
* ListNode(int x, ListNode *next) : val(x), next(next) {}
* };
*/
class Solution {
public:
ListNode* dfs(ListNode* list1, ListNode* list2){
if(!list1)return list2;//如果list1空,直接合并list2
if(!list2)return list1;//同理
ListNode*ret;
if(list1->val>list2->val)swap(list1,list2);//首元素选择较小的一个
ret=list1;
ret->next=dfs(list1->next,list2);
return ret;
}
ListNode* mergeTwoLists(ListNode* list1, ListNode* list2) {
ListNode*dummy=new ListNode(),*ret;//哨兵位
dummy->next=dfs(list1,list2);
ret=dummy->next;
delete dummy;
return ret;
}
};
我们这里添加哨兵位 是为了避免边界判断,不管list1和list2是不是空,都是一套逻辑。这是链表类问题的通常做法。
当然我这样只是为了演示链表问题解法,递归更简略的解法如下:
cpp
class Solution {
public:
ListNode* mergeTwoLists(ListNode* list1, ListNode* list2) {
if(!list1)return list2;
if(!list2)return list1;
if(list1->val>list2->val)swap(list1,list2);
list1->next=mergeTwoLists(list1->next,list2);
return list1;
}
};
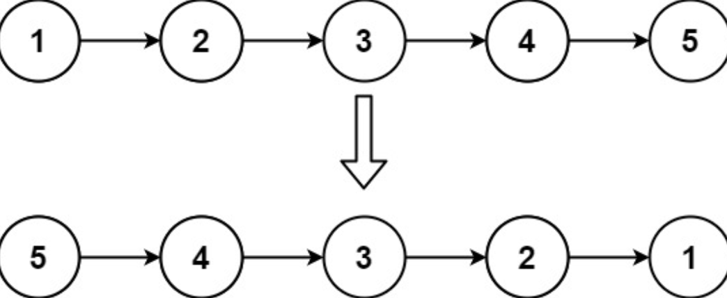
反转链表
题目描述
给你单链表的头节点 head ,请你反转链表,并返回反转后的链表。
示例 1:

输入:head = [1,2,3,4,5]
输出:[5,4,3,2,1]
示例 2:
输入:head = [1,2]
输出:[2,1]
示例 3:
输入:head = []
输出:[]
提示:
- 链表中节点的数目范围是 [0, 5000]
- -5000 <= Node.val <= 5000
算法原理和实现
我们缩减规模的思路就是,先逆序首元素的后续结点,然后让首元素的后续结点指向首元素,最后返回末尾结点:
cpp
/**
* Definition for singly-linked list.
* struct ListNode {
* int val;
* ListNode *next;
* ListNode() : val(0), next(nullptr) {}
* ListNode(int x) : val(x), next(nullptr) {}
* ListNode(int x, ListNode *next) : val(x), next(next) {}
* };
*/
class Solution {
public:
ListNode *dfs(ListNode* head){
if(!head->next)return head;
head->next=dfs(head->next);
head->next->next=head;
head->next=nullptr;
return head;
}
ListNode* reverseList(ListNode* head) {
if(!head)return nullptr;
ListNode*ret=head;
while(ret->next)ret=ret->next;
dfs(head);
return ret;
}
};
实际上我们能直接合并这个过程:
cpp
class Solution {
public:
ListNode* reverseList(ListNode* head) {
if(!head||!head->next)return head;
ListNode*ret=reverseList(head->next);//逆序后续结点,并记录返回值
head->next->next=head;//逆序当前结点
head->next=nullptr;
return ret;
}
};
Pow(x, n)
题目描述
实现 pow(x, n) ,即计算 x 的整数 n 次幂函数(即,xn )。
示例 1:
输入:x = 2.00000, n = 10
输出:1024.00000
示例 2:
输入:x = 2.10000, n = 3
输出:9.26100
示例 3:
输入:x = 2.00000, n = -2
输出:0.25000
解释:2-2 = 1/22 = 1/4 = 0.25
提示:
- -100.0 < x < 100.0
- -231 <= n <= 231-1
- n 是一个整数
- 要么 x 不为零,要么 n > 0 。
- -104 <= xn <= 104
算法原理和实现
这个根据上述题目的经验,我们很容易知道这次缩减规模就是,只乘一次,然后返回剩余结果。
不过要注意这里有负数幂,我们可以转化为整数幂,比如Pow(3,-2)=Pow(1/3,2)。
问题是这里n的取值是可能为INT_MIN,如果直接取-n是会越界的,因此我们最好是这样Pow(x,n)=1/x*Pow(1/x,-1-n).
cpp
class Solution {
public:
double myPow(double x, int n) {
if(n==0)return 1;
else if(n<0)return 1/x*myPow(1/x,-1-n);
else return x*myPow(x,n-1);
}
};
不出意外,我们的代码栈溢出了:


快速幂
因为我们一次次减少可以是可以,但是太慢了。
我们能不能直接取得Pow(x,n/2),然后返回Pow(x,n/2)*Pow(x,n/2)呢
当然可以了,但是注意我们n是可能为奇数,所以正确返回应该是Pow(x,n/2)*Pow(x,(n+1)/2)
cpp
class Solution {
public:
double myPow(double x, int n) {
if(n==0)return 1;
else if(n==1)return x;
else if(n<0)return 1/x*myPow(1/x,-1-n);
else return myPow(x,n/2)*myPow(x,(n+1)/2);
}
};
注意这里要加上n==1的判断,因为n为1时(n+1)/2==1,如果不加就会死循环的。
那么问题来了,我们这个做法就能过了吗?
答案是不能:

直接超出时间限制了,这是为什么呢?
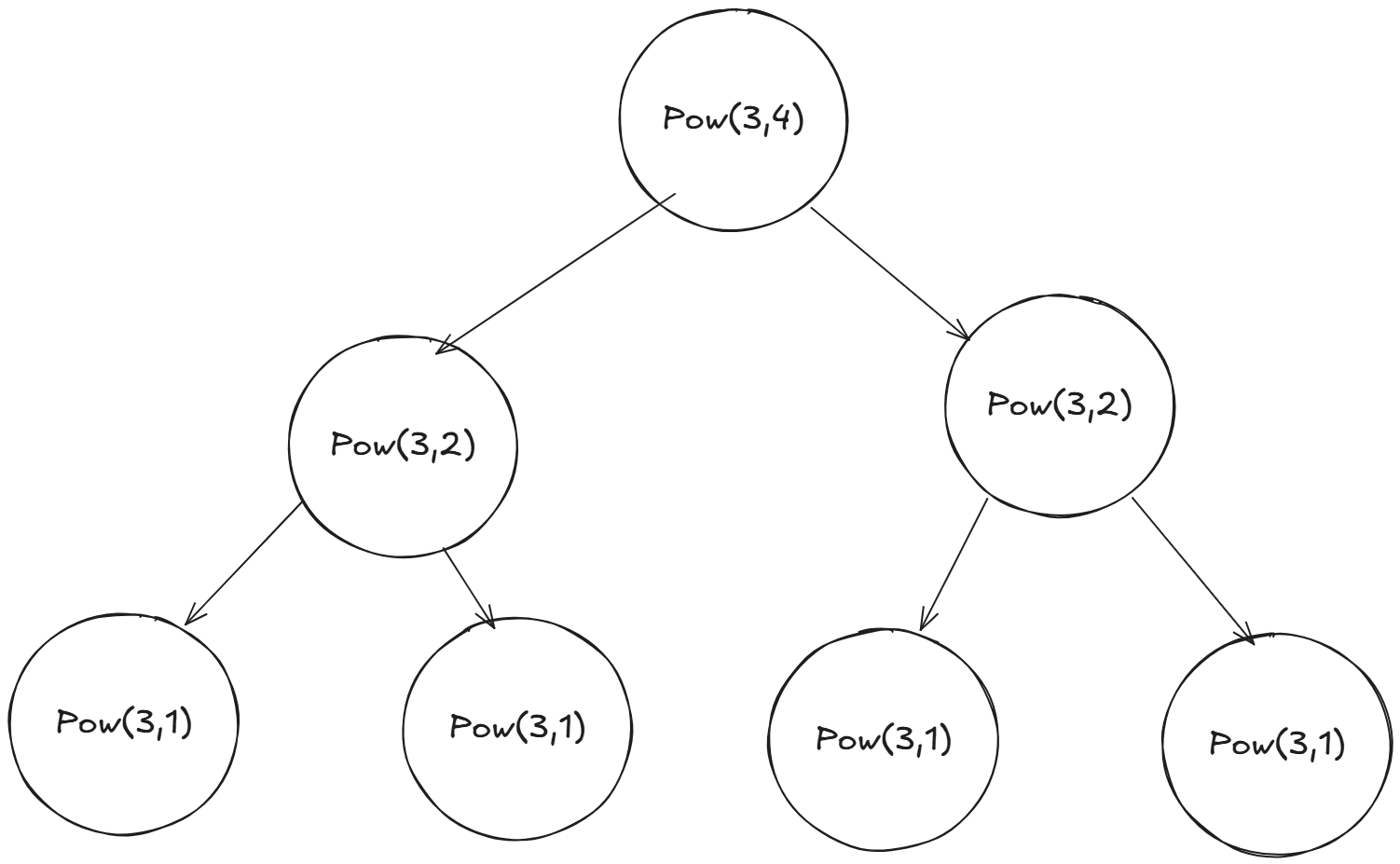
仔细想想我们执行Pow(3,4)的过程:

是的,我们执行了整个二叉树的过程,树高是log n,我们就执行了2logn也就是n次。跟原来比没有优化,只不过我们及时弹栈,所以没有栈溢出了。
这是因为我们左右子树根本就是相同(或者相差一个x),但我们却重复执行,像一个失忆症患者。
所以我们这次要记录下左子树的结果,这也就是最基本的记忆化搜索。
cpp
class Solution {
public:
double myPow(double x, int n) {
if(n==0)return 1;
else if(n<0)return 1/x*myPow(1/x,-1-n);
else{
double ret=myPow(x,n/2);
ret*=ret;
if(n%2)ret*=x;
return ret;
}
}
};

这次我们就成功实现了,时间复杂度是O(logn)