1. Figr AI
标语:具有产品意识的人工智能,关注用户体验的思考方式
介绍:Figr 是一个为产品经理(PM)设计的人工智能产品助手。通过 Chrome 扩展,你可以实时解析你的应用程序,导入 Figma 设计,轻松添加文档和分析数据。它可以绘制用户流程,识别边缘案例,进行用户体验评估,并创建与你应用设计风格相匹配的 A/B 测试变体和原型。每条建议都基于超过 20 万个用户体验模式。
产品网站 : 立即访问
Product Hunt : View on Product Hunt

关键词:Figr AI, 人工智能产品代理, 用户体验, PM工具, 流程映射, 边缘案例, UX评审, A/B测试, 原型设计, 设计语言
票数: 🔺436
是否精选:是
发布时间:2026年02月17日 (北京时间)
2. Boost.space v5
标语:为你的人工智能代理和自动化创建共享上下文
介绍:大多数人工智能代理和复杂自动化系统都失败了,因为它们在缺乏信息的情况下运作。Boost.space 提供了一种持续的上下文层,将孤立的语言模型转变为一个综合的商业智能系统。通过这个平台,让你的自动化和代理拥有一个"共享大脑",这样所有的工作流程都能获取到你业务的全面背景信息------从过往的互动到实时数据库状态------使得工作流程能够有机地进行,而不是中断。
产品网站 : 立即访问
Product Hunt : View on Product Hunt

关键词:共享上下文, AI代理, 自动化, 持续上下文层, 综合商业智能, 工作流程, 紧密集成, 业务交互, 数据库状态, 效率提升
票数: 🔺317
是否精选:是
发布时间:2026年02月17日 (北京时间)
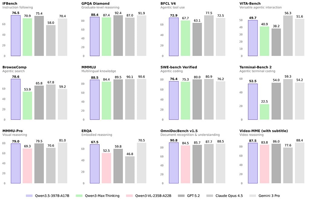
3. Qwen3.5
标语:397B 原生多模态智能体,拥有 170 亿活跃参数。
介绍:一种开放权重的本地视觉-语言模型,专为长期智能任务设计。它的混合架构(线性注意力 + MoE)结合了3970亿参数巨型模型的能力,以及170亿参数模型的推理速度。
产品网站 : 立即访问
Product Hunt : View on Product Hunt

关键词:Qwen3.5, 多模态模型, 397B, 17B参数, 开放权重, 视觉语言, 长时间任务, 混合架构, 线性注意力, MoE
票数: 🔺264
是否精选:是
发布时间:2026年02月17日 (北京时间)
4. Mozart for iOS
标语:一边移动一边制作歌曲和音乐视频
介绍:成为移动音乐天才吧!🎶 随时随地记录你的想法或回忆,创造音频草图。然后,利用你的照片和媒体制作一个个性化的音乐视频,将整个故事呈现出来。轻轻一触,即可分享给朋友和粉丝!
产品网站 : 立即访问
Product Hunt : View on Product Hunt

关键词:音乐创作, 移动应用, 视频制作, 音乐草图, 个性化, 分享功能, 记忆记录, 音乐视频, 创意表达, 轻松分享
票数: 🔺229
是否精选:是
发布时间:2026年02月17日 (北京时间)
5. Layers
标语:懂你代码的营销代理,助你更好地传递信息。
介绍:能够理解你代码的市场营销代理。Layers 会为你制定增长计划并帮助实施------内容、社交媒体发布、广告和数据分析,让你在用户不断涌入的同时,继续进行产品开发。
产品网站 : 立即访问
Product Hunt : View on Product Hunt

关键词:市场营销代理, 消息传递, 增长计划, 内容管理, 社交媒体发布, 广告投放, 数据洞察, 用户增长, 营销策略, 代理服务
票数: 🔺216
是否精选:是
发布时间:2026年02月17日 (北京时间)
6. MiniMax-M2.5
标语:首个超越Sonnet的开放模型,提高了生产力
介绍:介绍一下M2.5,这是一个为实际生产力而设计的开源前沿模型。它在编码(SWE-Bench验证的80.2%)、搜索(BrowseComp 76.3%)、智能工具调用(BFCL 76.8%)和办公工作方面都表现出色,属于最先进的技术水平。M2.5经过优化,能够高效执行任务,在复杂任务上速度提高了37%。每小时仅需1美元,支持每秒100个事务(tps),这使得对长期任务的智能代理进行无限扩展变得经济可行。
产品网站 : 立即访问
Product Hunt : View on Product Hunt

关键词:迷你最大-M2.5, 开源模型, 生产力提升, 编程性能, 办公效率, 复杂任务优化, 经济实惠, 工具调用, 无限扩展, SOTA表现
票数: 🔺179
是否精选:是
发布时间:2026年02月17日 (北京时间)
7. Vela
标语:像优秀的助理一样运作的AI日程安排系统
介绍:Vela 是一个人工智能日程安排助手,工作方式就像一位出色的执行助理,能够在电子邮件、短信、WhatsApp 和电话等多个渠道中灵活运作。只需将 Vela 加入对话,它就会接手安排。它能谈判时间,及时跟进那些失联的人,并最终定下会议。Vela 还很有品味,它会优先考虑投资者的时间,而不是内部会议,并且理解"下周初"这样的表述,而不是死板地依赖具体的时间节点。如果你需要在这一周安排 1,000 个面试,Vela 能够同时拨打多个电话,协调各个渠道的工作。它得到了 Y Combinator W26 的支持!
产品网站 : 立即访问
Product Hunt : View on Product Hunt

关键词:智能日程安排, AI助手, 邮件调度, 会议管理, 聊天工具整合, 时间协调, 投资者优先, 大规模调度, 自动跟进, YC支持
票数: 🔺159
是否精选:是
发布时间:2026年02月17日 (北京时间)
8. Brainstream
标语:代理智能AI笔记:智能搜索、简报与任务
介绍:使用Brainstream,让零散的想法变成有序的行动。这个应用程序是一个强大的AI笔记工具,它的智能助手不仅能回答问题,还能为你执行任务。你可以用声音、文字或照片快速记录灵感,然后就交给你的AI助手来处理:它能从你的笔记中创建任务,用智能标签进行整理,还能总结内容,并每日和每周提供简报,让一切从混乱变得清晰明了。
产品网站 : 立即访问
Product Hunt : View on Product Hunt

关键词:智能笔记, AI助手, 任务管理, 思维整理, 笔记应用, 信息摘要, 智能标签, 高效搜索, 创意捕捉, 行动计划
票数: 🔺147
是否精选:是
发布时间:2026年02月17日 (北京时间)
9. OpenGraph+
标语:每个页面自动生成开放图像
介绍:OpenGraph+ 会自动为你网站上的每个页面生成简洁且最新的 Open Graph 图片。现在,链接在 Slack、iMessage、Discord、Teams 和群聊中的分享频率比在社交媒体上还要高,但许多网站仍然呈现出损坏或普通的预览图。要解决这个问题,通常需要手动制作图片或使用定制的渲染工具,这样会导致内容与图片不同步。而 OpenGraph+ 则能完美解决这个问题,它能自动捕捉你的页面、渲染社交卡片,并随着内容的变化保持更新,而无需在你的应用中运行渲染器或手动设计图片。
产品网站 : 立即访问
Product Hunt : View on Product Hunt

关键词:OpenGraph图像, 自动生成, 社交卡片, 网站预览, 图像更新, 内容同步, Slack共享, iMessage支持, Discord集成, 团队聊天
票数: 🔺136
是否精选:是
发布时间:2026年02月17日 (北京时间)
10. Agent Monitor
标语:服务器端分析:针对人工智能与机器人流量的监测与分析
介绍:Agent Monitor 通过服务器端的数据监测和分类AI及机器人流量。在249个网站上,超过9400万次访问中,有65%的流量来自机器人,其中24%是像ChatGPT、Gemini和Claude这样的AI机器人。这些数据在GA4中都没有反映出来。我们使用透明的服务器端信号对每次访问进行分类。您可以获取机器人的资料、每个机器人的排名、AI助手的流量以及全球基准数据。这个工具是由一个需要真实数据的SEO公司研发的。
产品网站 : 立即访问
Product Hunt : View on Product Hunt

关键词:代理监控, 服务器端分析, AI流量, 机器人流量, 数据捕获, 流量分类, 网站分析, 百万访问, SEO工具, 全球基准
票数: 🔺120
是否精选:是
发布时间:2026年02月17日 (北京时间)
11. claude-devtools
标语:查看 Claude Code 在你的终端隐藏的所有内容
介绍:这不是另一个Claude Code的图形界面工具。claude-devtools并不会运行或修改Claude Code,而是直接读取你电脑上的原始会话日志,将CLI隐藏的内容重新整理出来。每个读取的文件路径、调用的工具、应用的差异、使用的令牌------所有这些信息都以可视化时间线的方式呈现,并且提供每个操作的上下文、压缩可视化、子代理执行树和自定义通知触发器。它可以与您运行过的每个会话兼容。它是开源的,并可以在本地运行。
产品网站 : 立即访问
Product Hunt : View on Product Hunt

关键词:claude-devtools, CLI工具, 原始日志, 视觉时间轴, 开源软件, 自定义通知, 文件路径, 令牌消耗, 执行树, 会话记录
票数: 🔺116
是否精选:是
发布时间:2026年02月17日 (北京时间)
12. JustScribe
标语:设备上的即时语音转录
介绍:JustScribe 是一款以隐私为首要考虑的实时转录应用,专为 macOS 设计。它通过人工智能提供即时离线的语音转文本功能。无需云存储,也不收集数据。你的声音,属于你自己的数据。
产品网站 : 立即访问
Product Hunt : View on Product Hunt

关键词:即时语音转录, 隐私优先, macOS应用, 离线语音识别, 人工智能, 无云存储, 数据安全, 语音转文本, 实时转写, 就是写
票数: 🔺114
是否精选:是
发布时间:2026年02月17日 (北京时间)
13. HostedClaws
标语:你自己的人工智能助手,全天候工作,无需额外设置。
介绍:大多数人都知道人工智能可以帮助他们的业务,但不想费心处理服务器、API或那些复杂的技术问题。HostedClaws 提供了一个个人AI助手,它会在 Telegram 上全天候工作------帮你处理邮件、安排日程、进行研究和写作。费用从每月40美元起,无需技术技能。设置只需5分钟。你可以像和朋友聊天一样给它发消息,比如"把我下午3点的会议改到星期四"、"给那个失联的客户发一封跟进邮件"、"总结一下我未读的邮件。"
产品网站 : 立即访问
Product Hunt : View on Product Hunt

关键词:人工智能助手, 24小时服务, 简易设置, Telegram应用, 邮件管理, 日程安排, 研究撰写, 客户跟进, 无需技术知识, 月费$40
票数: 🔺110
是否精选:是
发布时间:2026年02月17日 (北京时间)
14. Company logo API
标语:免费找到任何公司的标志
介绍:通过使用Hunter的Logo API,您可以立即找到任何公司的标志。这个服务完全免费,无需注册或API密钥。只需输入网址,即可找到相关的公司标识。
产品网站 : 立即访问
Product Hunt : View on Product Hunt

关键词:公司Logo API, 免费查找, Hunter Logo API, 即时获取, 公司标志, 无需账户, API密钥, 输入网址, 图标搜索
票数: 🔺104
是否精选:是
发布时间:2026年02月17日 (北京时间)
15. VidClaw
标语:一个开源的、自托管的看板系统,适用于你的 OpenClaw 代理。
介绍:我在OpenClaw上运行了一个AI助手,负责SEO跟踪、内容创作、代码任务等等。仅通过聊天管理它变得有些混乱。于是,我需要一个可视化的任务队列,能够看到助手在做什么,跟踪我的开销,并且可以调整它的个性,而不必通过SSH编辑文件。VidClaw就是这样一个仪表盘。它简洁明了,专为真正使用AI助手的人设计,而不仅仅是用来讨论这些工具。它是100%自托管的,你的数据也始终保存在你的服务器上。
产品网站 : 立即访问
Product Hunt : View on Product Hunt

关键词:VidClaw, 开源, 自主托管, 看板工具, AI代理, 任务管理, SEO跟踪, 内容创作, 可视化面板, 数据隐私
票数: 🔺100
是否精选:是
发布时间:2026年02月17日 (北京时间)