除法表达式问题
给定一个除法表达式
x1x2/x3/.../xnx2/x3/.../xnx1
也就是
x1/x2/x3/.../xnx1/x2/x3/.../xn
(这里的除法是数学除法,不是整除)
你可以加任意括号来改变运算顺序,问最终能否使表达式的结果为整数。
解:
- 理解括号的作用
不加括号时,计算顺序从左到右:

加上括号可以改变哪些数在分子、哪些数在分母。
例如:

这样 c 从分母移到了分子。
- 一般规律
经过分析,在任意加括号的情况下:
-
x1x1 永远在分子
-
x2x2 永远在分母
-
x3,x4,...,xnx3,x4,...,xn 中的每一个都可以自由选择留在分母或移到分子
所以最终表达式一定形如:

- 变成整除条件
要使结果为整数,分母必须能整除分子。
为了让分子尽可能大(从而更容易整除),我们应该把所有 x3,...,xnx3,...,xn 都移到分子。
这时:

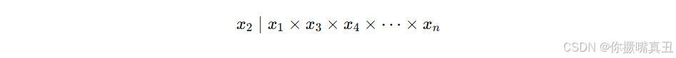
因此整数条件简化为:

- 结论
最终判定条件:

即 x2 的所有质因子都出现在 x1,x3,...,xn 的乘积中。
如果成立,就可以通过加括号得到整数结果;如果不成立,则无论怎样加括号,结果都不可能是整数。
- 例子
-
8/4/28/4/2
检查 4∣8×24∣8×2? 4 整除 16 --- 可以整数(例:8/(4/2)=48/(4/2)=4)
3/2/53/2/5
检查 2∣3×52∣3×5? 2 不整除 15 --- 无法整数
6/4/36/4/3
检查 4∣6×34∣6×3? 4 不整除 18 --- 无法整数
cpp
#include <bits/stdc++.h>
using namespace std;
// 计算最大公约数
long long gcd(long long a, long long b) {
while (b) {
long long temp = b;
b = a % b;
a = temp;
}
return a;
}
// 判断除法表达式能否通过加括号得到整数
bool canBeInteger(const vector<long long>& nums) {
int n = nums.size();
if (n == 1) return true; // 只有一个数,本身就是整数
if (n == 2) return (nums[0] % nums[1] == 0); // x1/x2
// 取 x2
long long denominator = nums[1];
// 计算 x1 * x3 * x4 * ... * xn
long long numerator_product = nums[0];
for (int i = 2; i < n; i++) {
numerator_product *= nums[i];
}
// 检查 denominator 是否能整除 numerator_product
// 为了避免大数溢出,用 gcd 逐步约分
long long g = gcd(denominator, numerator_product);
denominator /= g;
return denominator == 1;
}
int main() {
int n;
cout << "请输入数字个数: ";
cin >> n;
vector<long long> nums(n);
cout << "请输入 " << n << " 个整数: ";
for (int i = 0; i < n; i++) {
cin >> nums[i];
}
if (canBeInteger(nums)) {
cout << "可以通垬加括号得到整数" << endl;
} else {
cout << "无法通过加括号得到整数" << endl;
}
return 0;
}
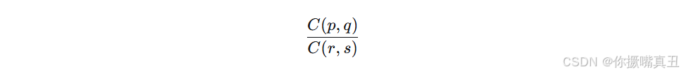
例题--10-3 UVA10375 "Choose and Divide
计算:

其中组合数定义为:

边乘边除:
cpp
#include <bits/stdc++.h>
using namespace std;
int main() {
int p, q, r, s;
while (cin >> p >> q >> r >> s) {
// 优化:取较小的n值,减少计算量
q = min(q, p - q);
s = min(s, r - s);
double ans = 1.0;
for (int i = 1; i <= q || i <= s; i++) {
if (i <= q) ans = ans * (p - q + i) / i; // 乘分子项
if (i <= s) ans = ans / (r - s + i) * i; // 除分母项
}
printf("%.5lf\n", ans);
}
return 0;
}