这三道题的解法类似 都是基于
归并排序的分治思想 不断划分左右子树进行解答。下列题1和题2解法几乎完全相同 题三根据前序后序遍历的话需要加以注意 后面详细讲解
LeetCode-105. 从前序与中序遍历序列构造二叉树
题目描述
给定两个整数数组 preorder 和 inorder:
preorder是二叉树的 前序遍历 序列。inorder是同一棵树的 中序遍历 序列。
请根据这两个数组 构造 出该二叉树,并返回其根节点。
示例展示
示例 1:
输入:
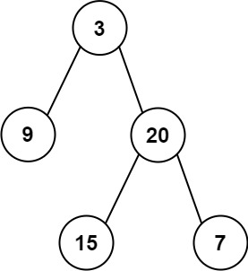
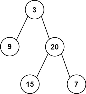
preorder = [3, 9, 20, 15, 7]
inorder = [9, 3, 15, 20, 7]输出:
[3, 9, 20, null, null, 15, 7]

示例 2:
输入:
preorder = [-1]
inorder = [-1]输出:
[-1]
提示条件
1 <= preorder.length <= 3000inorder.length == preorder.length-3000 <= preorder[i], inorder[i] <= 3000preorder和inorder均 无重复 元素。inorder中的所有元素均出现在preorder中。preorder保证为二叉树的前序遍历序列。inorder保证为二叉树的中序遍历序列。
解题思路
根据前序遍历和中序遍历的特点可知 前序遍历是中->左->右,中序遍历是左 ->中->右,那根据两个遍历的特点 我们就可以想到:通过前序遍历来确定中间节点 然后通过中序遍历来划分左右节点 然后通过回溯把树串起来即可 多说无益 直接上代码展示
代码
java
/**
* Definition for a binary tree node.
* public class TreeNode {
* int val;
* TreeNode left;
* TreeNode right;
* TreeNode() {}
* TreeNode(int val) { this.val = val; }
* TreeNode(int val, TreeNode left, TreeNode right) {
* this.val = val;
* this.left = left;
* this.right = right;
* }
* }
*/
class Solution {
//记录preorder走到哪里了
int index = 0;
public TreeNode buildTree(int[] preorder, int[] inorder) {
return dfs(preorder,inorder,0,preorder.length-1);
}
public TreeNode dfs(int[] preorder,int[] inorder,int left,int right){
if(left>right){
return null;
}
int mid = 0;
//找出用于划分左右子树的根节点
for(int i = left;i<=right;i++){
if(inorder[i]==preorder[index]){
mid = i;
break;
}
}
TreeNode root = new TreeNode(preorder[index]);
index++;
//注意顺序 先序遍历是先左节点后右边
root.left = dfs(preorder,inorder,left,mid-1);
root.right = dfs(preorder,inorder,mid+1,right);
return root;
}
}
注意: 给root左右节点赋值的顺序要根据先序还是后序遍历来调整 下面第二题也就是这里做出了调整
LeetCode-106. 从中序与后序遍历序列构造二叉树
题目描述
给定两个整数数组 inorder 和 postorder:
inorder是二叉树的 中序遍历 序列。postorder是同一棵树的 后序遍历 序列。
请根据这两个数组 构造 出该二叉树,并返回其根节点。
示例展示
示例 1:
输入:
inorder = [9, 3, 15, 20, 7]
postorder = [9, 15, 7, 20, 3]

示例 2:
输入:
inorder = [-1]
postorder = [-1]输出:
[-1]
提示条件
1 <= inorder.length <= 3000postorder.length == inorder.length-3000 <= inorder[i], postorder[i] <= 3000inorder和postorder都由 不同 的值组成。postorder中的每一个值都在inorder中。inorder保证是树的中序遍历序列。postorder保证是树的后序遍历序列。
解题思路
这题跟上题思路完全一样 由于前序和后序遍历具有对称性 因此代码也是复用的 同样是根据后序遍历来找出中序遍历中的根节点 直接上代码
代码
java
/**
* Definition for a binary tree node.
* public class TreeNode {
* int val;
* TreeNode left;
* TreeNode right;
* TreeNode() {}
* TreeNode(int val) { this.val = val; }
* TreeNode(int val, TreeNode left, TreeNode right) {
* this.val = val;
* this.left = left;
* this.right = right;
* }
* }
*/
class Solution {
//记录postorder走到哪里了
int index;
public TreeNode buildTree(int[] inorder, int[] postorder) {
index = inorder.length-1;
return dfs(inorder,postorder,0,inorder.length-1);
}
public TreeNode dfs(int[] inorder,int[] postorder,int left,int right){
if(left>right){
return null;
}
int mid = 0;
//找出用于划分左右子树的根节点
for(int i=left;i<=right;i++){
if(inorder[i]==postorder[index]){
mid = i;
break;
}
}
TreeNode root = new TreeNode(postorder[index]);
index--;
//注意好顺序 后序遍历是先访问右节点再访问左节点
root.right = dfs(inorder,postorder,mid+1,right);
root.left = dfs(inorder,postorder,left,mid-1);
return root;
}
}
以下是为您优化后的 889. 根据前序与后序遍历序列构造二叉树 的 Markdown 样式:
LeetCode-889. 根据前序与后序遍历序列构造二叉树
题目描述
给定两个整数数组 preorder 和 postorder:
preorder是具有 无重复 值的二叉树的 前序遍历 序列。postorder是同一棵树的 后序遍历 序列。
请根据这两个数组 重构 出该二叉树,并返回其根节点。如果存在多个答案,您可以返回其中 任何一个。
示例展示
示例 1:
输入:
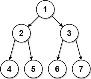
preorder = [1, 2, 4, 5, 3, 6, 7]
postorder = [4, 5, 2, 6, 7, 3, 1]输出:
[1, 2, 3, 4, 5, 6, 7]

示例 2:
输入:
preorder = [1]
postorder = [1]输出:
[1]
提示条件
1 <= preorder.length <= 301 <= preorder[i] <= preorder.lengthpreorder中所有值都 不同。postorder.length == preorder.length1 <= postorder[i] <= postorder.lengthpostorder中所有值都 不同。- 保证
preorder和postorder是同一棵二叉树的有效遍历序列。
解题思路
这题和前两题略有不同 前两题可以根据中序遍历来区分左右子树 但是这题并没有明确的中间节点可以用 因此不能像前两题一样到下一层递归的时候再找"接班人" 要提前去找好 不同点就在这里 其余的还是模版代码
代码
java
class Solution {
int index = 0; // 前序从 0 开始
public TreeNode constructFromPrePost(int[] preorder, int[] postorder) {
return dfs(preorder, postorder, 0, postorder.length - 1);
}
public TreeNode dfs(int[] preorder, int[] postorder, int left, int right) {
if (left > right) return null;
// 1. 取出当前前序指针指向的值作为根
TreeNode root = new TreeNode(preorder[index]);
index++; // 消耗当前根
// 【核心特殊点 1】:叶子检查
// 如果 left == right,说明当前范围就这一个数,且已经被 new 过了,
// 后面已经没有"左子树根"可以找了,必须直接返回,否则 index 会越界。
if (left == right) return root;
// 2. 【核心特殊点 2】:找"接班人"
// 此时 index 已经指向了下一个数,它是【左子树的根】
// 我们去后序数组里找这个"左根"的位置 mid
int mid = 0;
for (int i = left; i <= right; i++) {
if (postorder[i] == preorder[index]) {
mid = i;
break;
}
}
// 3. 划分边界
// 左子树:从 left 到 mid(后序中左子树根是左侧部分的最后一个,所以含 mid)
root.left = dfs(preorder, postorder, left, mid);
// 右子树:从 mid+1 到 right-1(必须减 1 是因为要把后序数组末尾的当前根踢出去)
root.right = dfs(preorder, postorder, mid + 1, right - 1);
return root;
}
}
以上就是这三道题的总结 有疑问的话欢迎小伙伴们提问~