给定单链表的头节点 head ,将所有索引为奇数的节点和索引为偶数的节点分别分组,保持它们原有的相对顺序,然后把偶数索引节点分组连接到奇数索引节点分组之后,返回重新排序的链表。
第一个节点的索引被认为是 奇数 , 第二个节点的索引为 偶数 ,以此类推。
请注意,偶数组和奇数组内部的相对顺序应该与输入时保持一致。
你必须在 O(1) 的额外空间复杂度和 O(n) 的时间复杂度下解决这个问题。
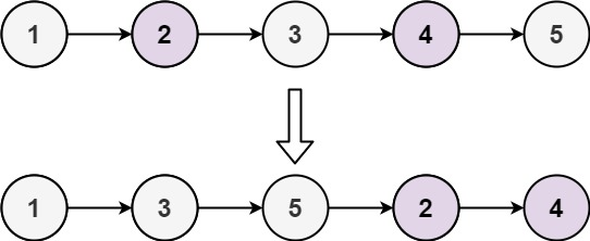
示例 1:

输入: head = [1,2,3,4,5]
输出: [1,3,5,2,4]
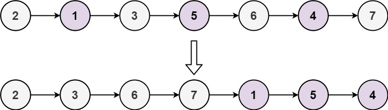
示例 2:

输入: head = [2,1,3,5,6,4,7]
输出: [2,3,6,7,1,5,4]
java
package leetcode;
public class OddEvenList {
public static void main(String[] args) {
}
public ListNode oddEvenList(ListNode head) {
if (head == null || head.next == null) {
return head;
}
// 奇数节点头节点
ListNode odd = head;
// 奇数节点的下一个是偶数节点
ListNode even = head.next;
// 偶数节点头节点
ListNode evenHead = even;
// 从偶数节点开始遍历,如果当前节点为空,或者后一个节点为空,说明当前链表已经遍历完毕,不需要再遍历了
while (even != null && even.next != null) {
// 原来奇数节点的下一个节点是偶数节点
odd.next = even.next;
// 让 odd移动到最新的由奇数组成的链表的尾部
odd = odd.next;
// 原来偶数节点的下一个节点是奇数节点
even.next = odd.next;
// 让even移动到最新的由偶数组成的链表的尾部
even = even.next;
}
// 右奇数节点组成的链表的尾部的 next 指针指向由偶数节点组成的链表的头部
odd.next = evenHead;
return head;
}
}
执行结果
