Hi,大家好,我是半亩花海。现对领域内一篇SCI一区TOP期刊论文进行阅读,文献记录如下。本文提出了一种基于残差卷积与Transformer网络(R-TNet)和特征迁移策略 的锂离子电池健康状态(SOH)估计方法。针对现有方法对固定充电区间和长度的依赖问题,该方法创新性地实现了任意长度随机充电片段的SOH估计。通过残差卷积网络作为嵌入层和交叉注意力机制,有效整合了工况信息与老化特征。实验结果表明,该方法在NCA和NCM电池上均表现优异,平均RMSE为0.57%,较最佳对比方法提升17.2%。特征迁移策略验证了该方法对50-200mV不同长度片段的适应性,展现了良好的实用性和泛化能力。
目录
[1.1 研究背景](#1.1 研究背景)
[1.2 现有方法的局限性](#1.2 现有方法的局限性)
[1.3 研究目标](#1.3 研究目标)
[3.1 整体框架](#3.1 整体框架)
[3.2 特征提取](#3.2 特征提取)
[3.3 R-TNet网络结构](#3.3 R-TNet网络结构)
[3.3.1 嵌入层结构(Embedding)](#3.3.1 嵌入层结构(Embedding))
[3.3.2 Transformer结构](#3.3.2 Transformer结构)
[3.3.3 超参数设置](#3.3.3 超参数设置)
[3.4 特征迁移策略](#3.4 特征迁移策略)
[4.1 数据集来源](#4.1 数据集来源)
[4.2 测试条件](#4.2 测试条件)
[4.3 数据特点](#4.3 数据特点)
[5.1 评估指标](#5.1 评估指标)
[5.2 工况验证(NCA电池)](#5.2 工况验证(NCA电池))
[5.3 对比方法验证](#5.3 对比方法验证)
[5.4 任意充电长度验证](#5.4 任意充电长度验证)
[5.5 不同化学体系验证(NCM电池)](#5.5 不同化学体系验证(NCM电池))
[5.5.1 实验设置](#5.5.1 实验设置)
[5.5.2 结果分析](#5.5.2 结果分析)
[6.1 主要结论](#6.1 主要结论)
[6.2 未来工作](#6.2 未来工作)
本篇期刊论文的具体信息如下:
| 项目 | 内容 |
|---|---|
| 论文标题 | Refined lithium-ion battery state of health estimation with charging segment adjustment |
| 作者 | Kun Zheng, Jinhao Meng*, Zhipeng Yang, Feifan Zhou, Kun Yang, Zhengxiang Song |
| 单位 | 西安交通大学(未来技术学院、电气工程学院、电气绝缘与电力装备国家重点实验室) |
| 期刊 | Applied Energy |
| 发表时间 | 2024年8月6日在线发表 |
| DOI | https://doi.org/10.1016/j.apenergy.2024.124077 |
| 关键词 | 健康状态估计;残差卷积与变压器网络;充电段;特征迁移;ElasticNet |
一、研究背景与动机
1.1 研究背景
锂离子电池(LIBs)作为电化学储能组件,广泛应用于便携式电子产品和电动汽车(EVs)。然而,在电池使用过程中,各种老化机制同时发生并相互耦合(如锂库存损失和活性材料损失),导致电池在不同工况下呈现复杂的退化路径。因此,准确捕捉锂离子电池的老化状态仍是一项具有挑战性的任务。
电池健康状态(SOH)通常定义为电池容量与额定容量的比值,但无法通过传感器直接测量。现有的SOH估计方法主要分为三类:
-
直接测试法:通常在实验室进行,需要特定设备且耗时。例如,可通过电池充放电测试仪或电化学工作站分别测量电池的容量或电化学阻抗谱(EIS)来评估电池SOH。但这些设施难以在电池组中便捷实现。
-
基于模型的方法:依赖于状态空间方程和状态观测器的集成,其中状态空间模型依赖于等效电路模型(ECM)、电化学模型或经验模型。然而,这些方法要么依赖于特定工况下的精确电池模型,要么需要执行复杂的参数识别,显示出较高的计算复杂度,从而限制了其应用。
-
数据驱动方法:采用黑盒模型,无需复杂的物理过程,直接在健康特征和电池SOH之间建立映射关系。各种机器学习算法(如高斯过程回归、随机森林、前馈神经网络、门控循环单元、长短期记忆神经网络、卷积神经网络和Transformer)已被应用于此场景。
1.2 现有方法的局限性
现有数据驱动方法对原始数据提出了严格要求,主要依赖于长充放电曲线或EIS数据,这限制了这些方法的实际应用。为解决这一问题,研究人员探索了使用较小的部分电压段进行LIB SOH估计,但存在以下问题:
- 充电区间限制:大多数方法依赖于预定义的充电区间(如3.6V-3.8V),但电动汽车应用中充电行为的起始和结束电压是随机的
- 片段长度固定:现有方法将充电片段分为多个固定长度的小片段,但用户任意充电行为导致的片段长度变化限制了模型的性能和灵活性
- 模型通用性不足:现有研究针对预定义充电策略构建特定模型,而非开发适用于多种充电策略的统一模型
1.3 研究目标
为克服这些挑战,本文提出了一种使用残差卷积和Transformer网络(R-TNet)及特征转移 的SOH估计方法。与现有方法相比,该方法可实现任意长度随机段的SOH估计,解决用户充电行为任意性带来的限制。
二、主要贡献
本文的主要贡献包括以下三点:
- 提出R-TNet深度网络结构:用于不同充电策略下电池的SOH估计,使用任意小的固定长度充电片段,利用交叉注意力机制整合充电片段老化特征和工况信息
- 残差卷积网络作为嵌入层 :在R-TNet中,残差卷积网络(RCN)用作Transformer的嵌入层,将充电片段提取的信息映射到高维向量,以便输入到Transformer的编码器和解码器
- 基于ElasticNet的特征迁移策略:建立任意充电片段之间的映射关系,使R-TNet能够使用任意长度的充电片段,解决LIBs用户充电行为特征提取的限制
三、方法论
3.1 整体框架
本文提出了一种使用R-TNet和特征迁移的自适应部分充电段电池SOH估计方法。
(1)定义: 长度为 的小充电段
,提取特征
,其中:
:电池端电压从起始
变化到结束
时的安时(Ah)吞吐量
:充电片段起始电压
:充电片段结束电压
:温度
:电流倍率
(2)数据处理流程:
通过单独的嵌入层提供给解码器
通过各自专用的嵌入层输入到编码器
- 使用交叉注意力机制合并来自
的信息
- 解码器的输出通过输出层产生估计的电池SOH
(3)特征迁移: 当存在用户行为导致的任意长度充电段 (长度为
)时,特征迁移策略能够将源域中
的
映射到目标域中对应特定段
的
,迁移后的
标记为
。然后R-TNet可使用
作为SOH估计的特征。

3.2 特征提取
健康特征 的正确选择对R-TNet至关重要,因为
的质量显著影响SOH估计的准确性。
(1)特征分析
当前SOH仅依赖于老化特征 ,而
是电池工况信息,属于电池的外部操作,是R-TNet的唯一指导信息。这些信息与当前SOH没有直接对应关系,但可协助识别电池SOH轨迹。
(2)皮尔逊相关系数分析
①充电片段划分
完整充电电压曲线 可划分为
个小片段
,固定长度为
、移动步长为
。
(较为重要)
②Ah吞吐量计算
对应 的
计算如下:

③特征相关性分析
使用Pearson相关系数 评估
与SOH的相关性:

(3)实验设置:
,生成70个电压段
到
,提取70个Ah吞吐量
到
(4)相关性分析结果(Dataset 1,66个NCA电池):
到
的皮尔逊系数
均大于0.85,证明了本工作中
的良好质量
到
的皮尔逊系数
相对较低,这是因为不同充电策略下电池的 IC 曲线峰值位置在这些段中不同

相关性分析的个人理解:
(1) 这里只是先取很多个特征段取验证本工作这样去取特征是良好、有效的 ,后续的实验不一定是这么多特征数,可能只是取一些个特征,但没怎么多;当然后续还会有不同特征数的性能比较。
(2)这张区间热力图画的很直观、明了、新颖,值得借鉴。
3.3 R-TNet网络结构
R-TNet的详细结构包括嵌入层、Transformer编码器和解码器。

3.3.1 嵌入层结构(Embedding)
嵌入层由**线性网络(Structure A)**和残差卷积网络(RCNs)组成,用于将 转换为高维向量。
- Embedding 1 :配备1个网络,处理
- Embedding 2 :配备4个不同的网络,分别处理
**残差块结构(Structure B)**包含三个组件:
- 卷积层:包括卷积核从输入数据提取特征,本工作中嵌入层选择一维卷积
- 批归一化(BN)层:标准化每层的输入,确保每层输入具有相对稳定的分布
- ReLU层:作为嵌入层中的非线性激活函数
残差网络的优势:
- 随着网络层数增加,传统神经网络可能遇到梯度消失或爆炸的挑战,阻碍网络训练的有效性
- 残差网络被添加以避免此类问题,构成一种跳跃连接形式,可在每个块中保留原始输入信息
3.3.2 Transformer结构
Transformer利用编码器和解码器,两者均由三个主要结构组成:多头注意力、位置前馈网络和Add&Norm。交叉注意力机制可整合来自编码器的 信息和
。
(1)****缩放点积注意力(Structure C):

其中输入由维度为 的查询和键以及维度为
的值组成。
、
和
分别表示打包查询、键和值的矩阵。
(2)多头注意力:


(3)位置前馈网络(FFN):
编码器和解码器的每个堆栈包括一个位置前馈网络,负责对输入进行统一处理。本质上是两个线性层与GeLU激活函数的组合:

(4)Add&Norm操作:
表示残差连接和层归一化(LN):

其中, 表示"Add&Norm"之前的层函数,如多头注意力或位置前馈网络。
3.3.3 超参数设置

注:P=填充数,S=步长,K=卷积核大小, Ic =输入通道数, Oc =输出通道数
3.4 特征迁移策略
由于用户充电行为是任意的,可能出现长度为 的电压段
。然而,R-TNet是基于长度为
的
训练的,这不可避免地导致源域
和目标域
之间的域差异,进而导致SOH估计不准确。
(1)ElasticNet特征转移:
- ElasticNet 的特征是包含 L1 和 L2 正则化的线性网络
- 使用本文提出的特征转移策略,虽然只能获得长度为
的电压段
的
,但训练集中相同SOH水平的
可用于基于 ElasticNet 的特征转移策略建立从
提取的
与从
提取的
之间的映射关系(忽略温度影响)
(2)示例:
- 当
时,出现
- 该段的
可映射到
的
- 转换后的
命名为
- 然后将
的
提供给编码器
- 解码器综合来自编码器的信息和
来估计SOH
优势:ElasticNet是一种高效快速的线性回归方法,避免了为另一长度的电压段训练另一个R-TNet的必要性,从而节省了大量时间和空间资源。
四、电池退化数据集
4.1 数据集来源
使用文献[43]中的数据集,包含121个电池,两种电极材料:
- NCA(LiNi₀.₈₆Co₀.₁₁Al₀.₀₃O₂)
- NCM(LiNi₀.₈₃Co₀.₁₁Mn₀.₀₇O₂)
4.2 测试条件
| 数据集 | 规格 | 温度(°C) | 充电/放电C倍率 | 组/电池数量 |
|---|---|---|---|---|
| Dataset 1 | 电极材料:NCA 类型:18650 标称容量:3.5 Ah 截止电压:2.65-4.2 V | 25 | 0.25/1 | NCA Group 1/{NCA No.1-NCA No.7} |
| 25 | 0.5/1 | NCA Group 2/{NCA No.8-NCA No.26} | ||
| 25 | 1/1 | NCA Group 3/{NCA No.27-NCA No.35} | ||
| 35 | 1/1 | NCA Group 4/{NCA No.36-NCA No.38} | ||
| 45 | 1/1 | NCA Group 5/{NCA No.39-NCA No.66} | ||
| Dataset 2 | 电极材料:NCM 类型:18650 标称容量:3.5 Ah 截止电压:2.5-4.2 V | 25 | 0.5/1 | NCM Group 1/{NCM No.1-NCM No.23} |
| 35 | 0.5/1 | NCM Group 2/{NCM No.24-NCM No.26} | ||
| 45 | 0.5/1 | NCM Group 3/{NCM No.27-NCM No.55} |
充放电协议:
- 充电:恒流恒压(CCCV)协议,0.25至1C倍率
- 放电:恒流,1C倍率
- 环境温度:25°C、35°C和45°C
4.3 数据特点
- 所有NCA电池定义为Dataset 1
- NCM类型电池包含在Dataset 2中
- NCA电池的循环次数范围为30至800
- NCM电池的循环次数在190至1277之间(除一个电池仅43次循环外)
- 相同类型和工况的电池也表现出不同的老化模式,大大增加了SOH估计的复杂性
五、实验验证
5.1 评估指标
估计SOH的准确性通过四个指标评估:均方根误差(RMSE)、平均绝对误差(MAE)、决定系数(R²)和绝对误差(AE)。

其中, 表示电池SOH的参考值,
是估计的SOH,
是平均值。
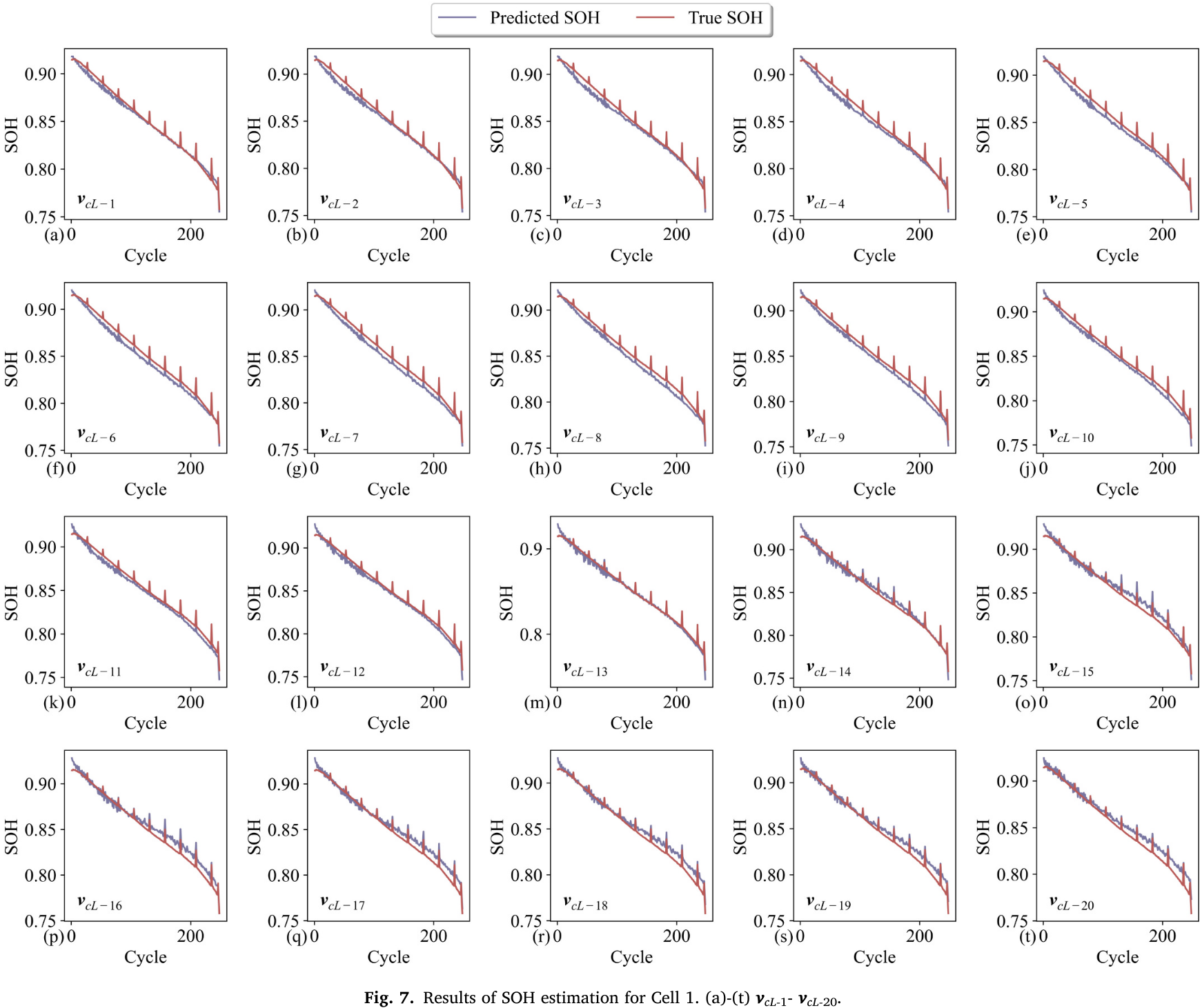
5.2 工况验证(NCA电池)
(1)实验设置:
- 两个数据集中,具有不同工况的电池按8:2的比例随机分配到训练和测试数据集
- Dataset 1的测试数据集包含14个NCA电池,编号为{3, 10, 13, 18, 22, 27, 35, 40, 45, 53, 54, 62, 64},命名为Cell 1-14
- 选择充电段
,
,
可划分为20个段
(2)结果分析:
①预测结果图

②评估结果


| 指标 | 最大值 | 最小值 | 平均值 |
|---|---|---|---|
| RMSE | 1.389% | 0.178% | 0.57% |
| MAE | 1.27% | 0.086% | 0.39% |
| R² | - | - | 0.990 |
关键发现:
- 大多数条件下SOH估计结果的RMSE和MAE均小于1%
- 大多数情况下SOH估计结果的R²可高于0.98
- 以Cell 1为例,20个电压段的估计老化轨迹与真实SOH老化轨迹非常接近
- 即使电池容量再生时也能准确估计SOH
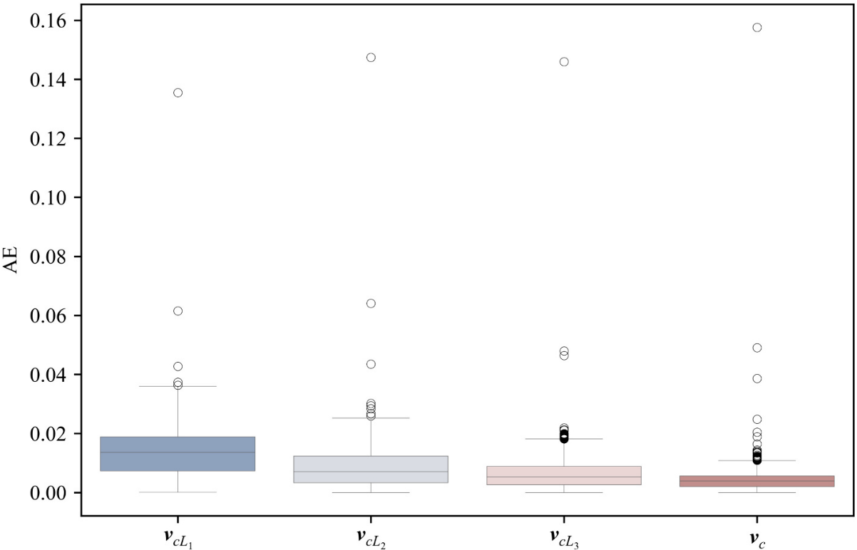
绝对误差分布:
- 所有五个测试条件下NCA电池的AE分布较小
- 所有AE的上四分位数均在0.01以内
- 99.7%的AE值落在0.02以内
5.3 对比方法验证
(1)对比方法:
与以下八种方法进行比较:
- ElasticNet(传统机器学习模型)
- RF(随机森林)
- RCN(残差卷积网络)
- CNN(卷积神经网络)
- LSTM(长短期记忆网络)
- ResNet18(大型深度学习模型)
- CNN-Transformer(C-TNet)
- LSTM-Transformer(L-TNet)
(2)公平比较:
- 所有模型共享与R-TNet相同的输入
- 比较结果仍在Dataset 1的14个NCA测试电池上进行
(3)对比结果:


由上述表格可以得出,所提方法的 RMSE 和 MAE 仅为 0.571% 和 0.395%,而表现最佳的替代方法 RF 的 RMSE 和 MAE 为 0.690% 和 0.479%。这意味着所提方法在 RMSE 和 MAE 上分别提升了 17.2% 和 17.5%。值得注意的是,所提方法的 R2 也高于其他方法。
进一步分析,高准确性归因于两个关键因素:
- RCN作为Transformer的嵌入层:将一维输入映射到高维向量以输入到Transformer;RCN中的残差连接增强网络收敛
- Transformer中的交叉注意力机制:有效整合工况信息和老化特征
(4)各方法性能分析:
| 方法类型 | 方法 | 性能分析 |
|---|---|---|
| 传统ML | ElasticNet | 由于简单性,难以在不同工况下准确建模老化特征 |
| 传统ML | RF | 结果较好,因为每个树模型的上层在学习过程中首先使用工况信息 |
| 浅层神经网络 | CNN/RCN | 缺乏深度和注意力机制,无法有效整合工况信息和 |
| 大型DL模型 | ResNet18 | 没有注意力机制有效整合工况信息和 |
| Transformer变体 | C-TNet/L-TNet | 由于层间缺乏残差连接,收敛较慢且性能较差,可能遇到梯度爆炸或消失问题 |
5.4 任意充电长度验证
(1)实验 设置
- 目标域:电压段
- 模拟任意长度片段:
- 对应片段:
(2)结果分析

| 段长度 | RMSE | MAE | R² |
|---|---|---|---|
| 50mV(最短) | <1.7% | <1.4% | >0.91 |
| 100mV | 更好 | 更好 | 更好 |
| 150mV | 更好 | 更好 | 更好 |
| 200mV | 最好 | 最好 | 最好 |
由上述表格可以得出,仅 50mV 的最短 仍保持较高精度,其 RMSE 低于 1.7%、MAE 低于 1.4%、R2 值超过 0.91。所有三个指标随着充电段长度增加而改善,电压段越长,估算误差越小,证明了提出的方法对不同场景下各种充电行为具有良好的适应性。
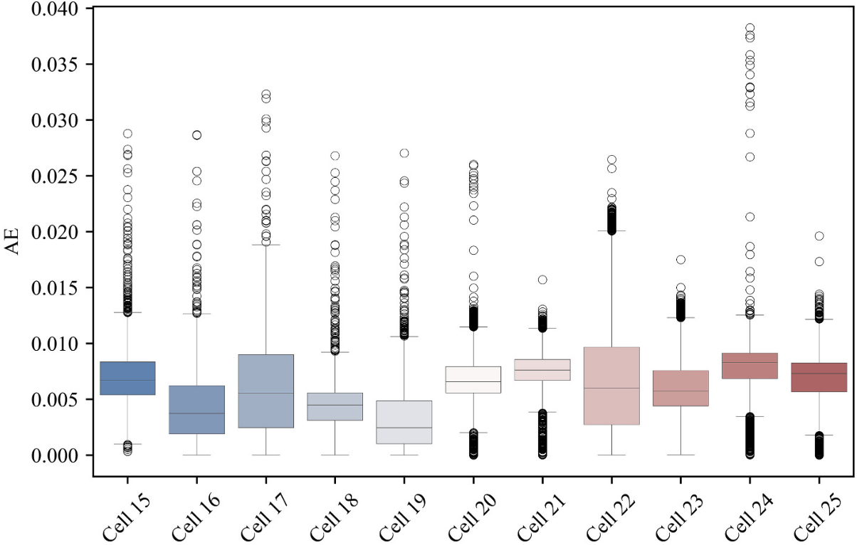
5.5 不同化学体系验证(NCM电池)
5.5.1 实验设置
- Dataset 2测试集包含11个NCM电池(编号{1, 11, 15, 20, 24, 38, 40, 43, 44, 51, 55}),定义为Cell 15-25
- 充电片段
,
,
同样划分为20个片段
5.5.2 结果分析


| 指标 | 范围 | 平均值 |
|---|---|---|
| RMSE | <0.85% | 0.677% |
| MAE | ≤0.8% | 0.592% |
| R² | <0.89 | 0.987 |
| AE | <0.04 | - |
由上述结果可知,所有电池的 AE 均小于 0.04,证明了本方法在新化学体系上的良好准确性;在所有测试案例中, RMSE 均低于0.85%,MAE不超过0.8%,R2小于0.89。11个细胞的平均 RMSE 、MAE和R2分别为0.677%、0.592%和0.987%。验证了提出方法的稳健性/鲁棒性和泛化能力。
六、结论与展望
6.1 主要结论
(1)方法有效性:
- 通过R-TNet和特征转移实现了使用随机长度和位置的部分电压段进行电池SOH估计
- 构建了稀疏维度健康特征作为R-TNet的输入,其中涉及工况特征
和Ah吞吐量
(2)交叉注意力机制:
- 选择交叉注意力机制整合来自编码器和解码器的特征信息
- 允许
识别电压段的位置和电池工况,并将
映射到电池SOH
(3)验证覆盖范围:
- 验证涵盖不同工况下的NCA和NCM化学体系
- Dataset 1中NCA电池的
和电池SOH的皮尔逊系数在大多数条件下超过0.85,仅需200mV电压段
(4)性能指标:
- 在五种工况下可实现RMSE为0.57%,MAE为0.39%
- 与最佳对比方法相比,RMSE提升17.2%,MAE提升17.5%
- 特征转移策略验证使用仅50mV电压段,SOH估计的RMSE小于1.7%
(5)灵活性和泛化性:
- 任意充电长度的SOH估计结果验证了提出方法处理用户充电行为的良好灵活性
- NMC电池上的高准确性验证了提出方法在不同化学体系上的有效性
6.2 未来工作
(1)超参数优化:将研究用于R-TNet超参数选择的启发式算法,如贝叶斯优化
(2)迁移学习:当测量存在噪声且温度逐周期变化时,可使用迁移学习调整提出的模型