5.链表就地反转
链表的就地反转模式在不使用额外空间的情况下反转链表的部分内容 。
在需要反转链表的部分时使用此模式。
LeetCode题目:
反转链表(LeetCode#206)
题目描述
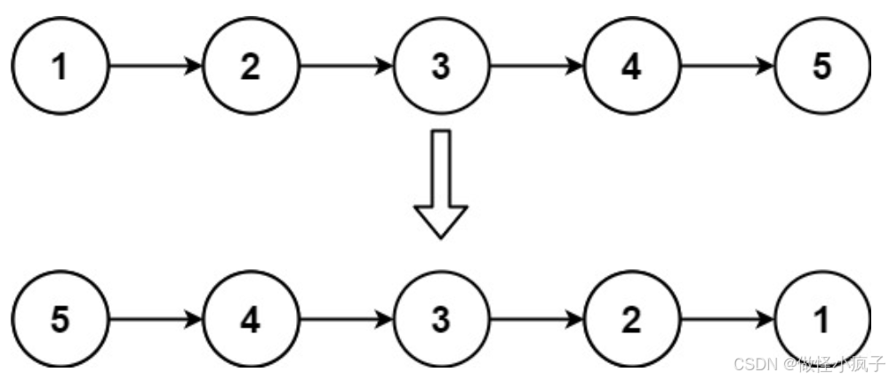
给你单链表的头节点 head ,请你反转链表,并返回反转后的链表。
示例 1:

输入:head = [1,2,3,4,5]
输出:[5,4,3,2,1]
示例 2:

输入:head = [1,2]
输出:[2,1]
示例 3:
输入:head = []
输出:[]
提示:
链表中节点的数目范围是 [0, 5000]
-5000 <= Node.val <= 5000
进阶:链表可以选用迭代或递归方式完成反转。你能否用两种方法解决这道题?
题目求解
python
## 迭代的方式
# Definition for singly-linked list.
# class ListNode:
# def __init__(self, val=0, next=None):
# self.val = val
# self.next = next
class Solution:
def reverseList(self, head: Optional[ListNode]) -> Optional[ListNode]:
pre, cur = None, head
while cur:
item = cur.next
cur.next = pre
pre = cur
cur = item
return pre
# 简化语句
class Solution:
def reverseList(self, head: Optional[ListNode]) -> Optional[ListNode]:
pre, cur = None, head
while cur:
cur.next, pre, cur = pre, cur, cur.next
return pre
# 递归
class Solution:
def reverseList(self, head: Optional[ListNode]) -> Optional[ListNode]:
# 递归
# 当前节点为n_k,则希望 n_{k+1}指向n_k
# 递归终止条件:空节点 或 只有一个节点(直接返回自身)
if not head or not head.next:
return head
newHead = self.reverseList(head.next)
# 核心逻辑:让当前节点的下一个节点指向自己
head.next.next = head
# 切断原指向,避免循环
head.next = None
# 返回反转后的新头节点
return newHead
反转链表Il(LeetCode#92)
题目描述
给你单链表的头指针 head 和两个整数 left 和 right ,其中 left <= right 。请你反转从位置 left 到位置 right 的链表节点,返回 反转后的链表 。
示例 1:

输入:head = [1,2,3,4,5], left = 2, right = 4
输出:[1,4,3,2,5]
示例 2:
输入:head = [5], left = 1, right = 1
输出:[5]
提示:
链表中节点数目为 n
1 <= n <= 500
-500 <= Node.val <= 500
1 <= left <= right <= n
进阶: 你可以使用一趟扫描完成反转吗?
题目求解
python
# Definition for singly-linked list.
# class ListNode:
# def __init__(self, val=0, next=None):
# self.val = val
# self.next = next
class Solution:
def reverseBetween(self, head: Optional[ListNode], left: int, right: int) -> Optional[ListNode]:
item = dummy = ListNode(-1)
item.next = dummy.next = head
for _ in range(left - 1):
item = item.next
pre = None
cur = item.next
for _ in range(right - left + 1):
cur.next, pre, cur = pre, cur, cur.next
item.next.next = cur
item.next = pre
return dummy.next
成对交换节点(LeetCode#24)
题目描述
给你一个链表,两两交换其中相邻的节点,并返回交换后链表的头节点。你必须在不修改节点内部的值的情况下完成本题(即,只能进行节点交换)。
示例 1:

输入:head = [1,2,3,4]
输出:[2,1,4,3]
示例 2:
输入:head = []
输出:[]
示例 3:
输入:head = [1]
输出:[1]
提示:
链表中节点的数目在范围 [0, 100] 内
0 <= Node.val <= 100
题目求解
python
# Definition for singly-linked list.
# class ListNode:
# def __init__(self, val=0, next=None):
# self.val = val
# self.next = next
class Solution:
def swapPairs(self, head: Optional[ListNode]) -> Optional[ListNode]:
if not head or not head.next:
return head
item = ListNode(-1)
item.next = head
cur = item
while cur.next and cur.next.next:
node1, node2 = cur.next, cur.next.next
cur.next, node1.next, node2.next = node2, node2.next, node1
cur = node1
return item.next