题目描述
给你一个链表,删除链表的倒数第 n 个结点,并且返回链表的头结点。
示例 1:

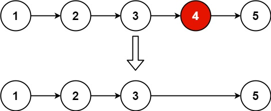
输入:head = [1,2,3,4,5], n = 2
输出:[1,2,3,5]
示例 2:
输入:head = [1], n = 1
输出:[]
示例 3:
输入:head = [1,2], n = 1
输出:[1]
提示:
- 链表中结点的数目为
sz 1 <= sz <= 300 <= Node.val <= 1001 <= n <= sz
解题思路
使用快慢指针和虚拟头结点来实现一趟扫描删除倒数第N个结点。
以删除倒数第2个结点为例:


那么删除倒数第N个结点:

代码
java
/**
* Definition for singly-linked list.
* public class ListNode {
* int val;
* ListNode next;
* ListNode() {}
* ListNode(int val) { this.val = val; }
* ListNode(int val, ListNode next) { this.val = val; this.next = next; }
* }
*/
class Solution {
public ListNode removeNthFromEnd(ListNode head, int n) {
// 新建虚拟头结点
ListNode dummyHead = new ListNode(0, head);
ListNode fast = dummyHead;
ListNode slow = dummyHead;
// 让fast指针先走N+1步
for(int i=0; i<n+1; i++){
fast = fast.next;
}
// fast指针没走到最后时,slow和fast一起走
while(fast != null){
fast = fast.next;
slow = slow.next;
}
// 删除slow指针指向的下一个结点
slow.next = slow.next.next;
// 返回头结点
return dummyHead.next;
}
}