目录
[3.1 基础物理常数与参数](#3.1 基础物理常数与参数)
[3.2 天线增益](#3.2 天线增益)
[3.3 自由空间路径损耗(FSPL)](#3.3 自由空间路径损耗(FSPL))
[3.4 接收功率](#3.4 接收功率)
[3.4 深空通信信道特性](#3.4 深空通信信道特性)
[3.4.1 自由空间超远损耗](#3.4.1 自由空间超远损耗)
[3.4.2 长传播时延](#3.4.2 长传播时延)
[3.4.3 多普勒频移](#3.4.3 多普勒频移)
[3.4.4 太阳等离子体干扰(日凌)](#3.4.4 太阳等离子体干扰(日凌))
[3.4.5 热噪声主导](#3.4.5 热噪声主导)
[3.5 深空通信关键技术](#3.5 深空通信关键技术)
[3.5.1 频段选择:X波段为主流](#3.5.1 频段选择:X波段为主流)
[3.5.2 调制技术:BPSK/QPSK](#3.5.2 调制技术:BPSK/QPSK)
[3.5.3 信道编码](#3.5.3 信道编码)
[3.5.4 数据压缩技术](#3.5.4 数据压缩技术)
1.引言
火星-地球深空通信是人类开展火星探测、星际数据传输的核心技术支撑,其通信环境与地面通信、近地卫星通信存在本质差异:超远传输距离、极大路径损耗、长时延、多普勒频移、太阳等离子体干扰等极端特性,决定了深空通信必须采用专用的频段、高增益天线、高效信道编码、抗干扰调制技术。
2.算法测试效果








3.算法涉及理论知识概要
3.1 基础物理常数与参数
3.2 天线增益
抛物面天线是深空通信的核心设备,天线增益表征天线将信号能量集中定向发射/接收的能力,是补偿路径损耗的关键:

3.3 自由空间路径损耗(FSPL)
这是深空通信最核心的损耗公式,描述信号在无遮挡自由空间中球面扩散导致的能量衰减,与距离的平方成正比,与频率的平方成正比:

程序计算了近/中/远三种距离下的路径损耗,平均距离2.25亿公里时,路径损耗高达300dB以上,是信号衰减的绝对主导因素。
3.4 接收功率
链路开销是评估通信系统可行性的核心,接收功率等于发射功率+发射增益-总损耗+接收增益:

即使发射100W信号,经过亿万公里传输后,接收功率仅为-150dBW 量级 (10⁻¹⁵W),属于极微弱信号。
3.4 深空通信信道特性
深空信道具备四大核心特性,这是地面通信无需考虑的挑战:
3.4.1 自由空间超远损耗
距离每增加1倍,路径损耗增加6dB,4亿公里距离下损耗超过310dB,必须依靠高增益天线+大功率编码补偿。
3.4.2 长传播时延
单程时延3~22分钟,无实时通信可能,所有指令必须提前规划,探测器需具备自主决策能力,这是深空通信与地面通信的最大区别。
3.4.3 多普勒频移
火星公转速度24km/s,地球29.78km/s,最大相对速度54km/s,X波段信号产生kHz级频移,接收机必须具备载波同步、多普勒跟踪功能,否则无法捕获信号。
3.4.4 太阳等离子体干扰(日凌)
每26个月,火星、太阳、地球成一条直线(日凌期),太阳等离子体会散射、闪烁信号,导致通信中断,当太阳-探测器-地球夹角<3°时,干扰急剧增强,通信可靠性大幅下降。
3.4.5 热噪声主导
深空空间无电磁干扰,接收端噪声仅为接收机热噪声,因此采用25K超低噪声制冷接收机,将噪声功率降至最低,提升信号接收能力。
3.5 深空通信关键技术
3.5.1 频段选择:X波段为主流
采用8.4GHz X波段,是深空通信的标准频段:
穿透大气层能力强,雨衰、大气吸收损耗小;
天线尺寸与增益平衡,适合探测器小型化天线;
干扰小,国际电信联盟(ITU)专用分配给深空通信;
对比S波段、Ka波段:X波段兼顾损耗、设备复杂度、传输性能,是火星探测的最优选择。
3.5.2 调制技术:BPSK/QPSK
程序中使用BPSK二进制相移键控,并模拟了QPSK星座图,是深空通信的标准调制方式:
BPSK:抗噪声能力最强,实现简单,适合极低信噪比环境,0→-1,1→+1;
QPSK:频谱效率翻倍,在高数据速率场景使用,是当前火星探测的主流调制方式;
3.5.3 信道编码
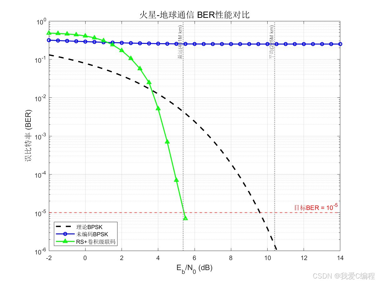
火星探测器接收信号功率远低于噪声,无编码通信无法实现可靠传输,具体采用的信道编译码算法如下:
卷积码(1/2码率,K=7):NASA标准编码(171,133),维特比译码,纠错能力强,硬件实现简单;
RS+卷积级联码:外码RS码 + 内码卷积码,是深空通信的经典组合,RS码纠正突发错误,卷积码纠正随机错误,仿真中该方案的BER远低于未编码系统;
编码增益:级联码可提供8~10dB编码增益,意味着在相同误码率下,所需信号功率降低10倍,是补偿路径损耗的核心技术。
3.5.4 数据压缩技术
火星探测器采集的图像、科学数据量大,必须压缩后传输:系统使用游程编码压缩,压缩率 20%,在不损失关键信息的前提下,降低数据量,提升传输效率,匹配深空通信的低速率特性。
4.MATLAB核心程序
% --- 物理常数 ---
c = 3e8; % 光速 (m/s)
k_B = 1.38e-23; % 玻尔兹曼常数 (J/K)
f_carrier = 8.4e9; % X波段载波频率 (Hz) --- 深空通信常用
lambda = c / f_carrier; % 波长 (m)
% --- 火星-地球距离场景 ---
d_min = 55.7e9; % 最近距离 ~55.7百万km (m)
d_avg = 225e9; % 平均距离 ~225百万km (m)
d_max = 401e9; % 最远距离 ~401百万km (m)
distances = [d_min, d_avg, d_max];
dist_labels = {'最近(55.7M km)', '平均(225M km)', '最远(401M km)'};
% --- 发射端参数 (火星轨道器/着陆器) ---
P_tx_dBW = 20; % 发射功率 20 dBW (100W)
P_tx_W = 10^(P_tx_dBW/10);
D_tx = 3.0; % 发射天线直径 (m) --- 如MRO的HGA
eta_tx = 0.55; % 发射天线效率
G_tx_dB = 10*log10(eta_tx * (pi * D_tx / lambda)^2); % 发射天线增益
% --- 接收端参数 (地球DSN深空网络) ---
D_rx = 70; % 接收天线直径 (m) --- DSN 70m天线
eta_rx = 0.65; % 接收天线效率
G_rx_dB = 10*log10(eta_rx * (pi * D_rx / lambda)^2); % 接收天线增益
T_sys = 25; % 系统噪声温度 (K) --- 低噪声致冷接收机
% --- 通信参数 ---
R_data = 2e6; % 数据速率 2 Mbps
R_symbol = R_data; % BPSK: 符号速率=数据速率
B_noise = R_symbol; % 噪声带宽 ≈ 符号速率
% --- 仿真参数 ---
numBits = 1e5; % 仿真比特数
EbNo_dB_range = -2:0.5:14; % Eb/No范围 (dB)
0X_093m
5.完整算法代码文件获得
(V关注后回复码:X126)
V