动态四足机器人自由模型预测控制(Free-Model Predictive Control, FMPC)MATLAB实现,包含机器人动力学模型、FMPC控制器设计、步态生成和三维可视化仿真。
matlab
%% 动态四足机器人的自由模型预测控制(FMPC)
% 描述: 实现四足机器人的自由模型预测控制,包括动力学建模、FMPC控制器、步态生成和三维可视化
clc; clear; close all;
%% 参数设置
% 仿真参数
dt = 0.01; % 时间步长 (s)
T = 10; % 总仿真时间 (s)
N = T/dt; % 仿真步数
ts = 0.01; % 控制周期 (s)
% 机器人参数
m = 20; % 质量 (kg)
g = 9.81; % 重力加速度 (m/s²)
L = 0.5; % 腿长 (m)
h = 0.3; % 质心高度 (m)
Ixx = 0.2; % 转动惯量 (kg·m²)
Iyy = 0.3; % 转动惯量 (kg·m²)
Izz = 0.4; % 转动惯量 (kg·m²)
% FMPC参数
Np = 20; % 预测时域 (步)
Nc = 10; % 控制时域 (步)
Q = diag([10, 10, 5, 1, 1, 1]); % 状态权重 [x, y, z, φ, θ, ψ]
R = diag([0.1, 0.1, 0.1]); % 控制输入权重 [Fx, Fy, Fz]
u_max = 100; % 最大足力 (N)
u_min = -50; % 最小足力 (N)
% 步态参数
gait_freq = 2; % 步态频率 (Hz)
step_length = 0.2; % 步长 (m)
stance_time = 0.4; % 支撑相时间 (s)
swing_time = 0.2; % 摆动相时间 (s)
% 初始状态
p0 = [0, 0, h]'; % 初始位置 (m)
R0 = eye(3); % 初始姿态 (旋转矩阵)
v0 = [0, 0, 0]'; % 初始线速度 (m/s)
w0 = [0, 0, 0]'; % 初始角速度 (rad/s)
%% 四足机器人模型 - 单刚体动力学
% 状态变量: [p, R, v, w] (位置, 姿态, 线速度, 角速度)
% 控制输入: 足端力 (4条腿)
% 腿部配置 (身体坐标系)
leg_offsets = [0.2, 0.15, 0; % 前左
0.2, -0.15, 0; % 前右
-0.2, 0.15, 0; % 后左
-0.2, -0.15, 0]; % 后右
% 动力学函数
robot_dynamics = @(p, R, v, w, F) compute_dynamics(p, R, v, w, F, m, Ixx, Iyy, Izz, g, leg_offsets);
%% FMPC控制器设计
% 构建预测模型 (自由模型 - 使用数据驱动补偿)
fmpc_controller = @(state, ref) fmpc_control(state, ref, Np, Nc, Q, R, u_max, u_min, dt, leg_offsets, m, g);
%% 步态生成
% 生成触地序列 (trot步态)
contact_sequence = generate_trot_gait(T, dt, stance_time, swing_time, gait_freq);
%% 初始化仿真
% 状态变量
p = p0; % 位置
R = R0; % 姿态 (旋转矩阵)
v = v0; % 线速度
w = w0; % 角速度
quat = rotm2quat(R); % 四元数表示姿态
% 存储结果
states = zeros(N+1, 18); % [p(3), quat(4), v(3), w(3)]
controls = zeros(N, 12); % 4条腿的力 (Fx, Fy, Fz)
foot_positions = zeros(N+1, 12); % 足端位置 (世界坐标系)
trajectory = zeros(N+1, 3); % 参考轨迹
% 主仿真循环
for k = 1:N
% 当前时间
t = (k-1)*dt;
% 参考轨迹 (圆形轨迹)
ref_x = 0.5 * sin(0.5*t);
ref_y = 0.5 * cos(0.5*t);
ref_z = h;
ref_psi = 0.5*t;
ref = [ref_x, ref_y, ref_z, 0, 0, ref_psi]';
trajectory(k, :) = [ref_x, ref_y, ref_z];
% 当前状态
state = [p; quat; v; w];
% FMPC控制计算
[u_opt, predicted_states] = fmpc_controller(state, ref);
% 应用控制输入 (仅取第一个控制量)
F = u_opt(1:12);
controls(k, :) = F;
% 计算足端位置 (世界坐标系)
foot_pos_body = leg_offsets;
foot_pos_world = zeros(4, 3);
for i = 1:4
foot_pos_world(i, :) = (R * foot_pos_body(i, :)')' + p';
end
foot_positions(k, 1:3) = foot_pos_world(1, :);
foot_positions(k, 4:6) = foot_pos_world(2, :);
foot_positions(k, 7:9) = foot_pos_world(3, :);
foot_positions(k, 10:12) = foot_pos_world(4, :);
% 更新状态 (使用动力学模型)
[p_next, R_next, v_next, w_next] = robot_dynamics(p, R, v, w, reshape(F, 3, 4));
% 更新状态
p = p_next;
R = R_next;
v = v_next;
w = w_next;
quat = rotm2quat(R);
% 存储结果
states(k+1, 1:3) = p;
states(k+1, 4:7) = quat;
states(k+1, 8:10) = v;
states(k+1, 11:13) = w;
% 更新足端位置
for i = 1:4
foot_pos_world(i, :) = (R * foot_pos_body(i, :)')' + p';
end
foot_positions(k+1, 1:3) = foot_pos_world(1, :);
foot_positions(k+1, 4:6) = foot_pos_world(2, :);
foot_positions(k+1, 7:9) = foot_pos_world(3, :);
foot_positions(k+1, 10:12) = foot_pos_world(4, :);
end
% 添加初始状态
trajectory(1, :) = [0, 0, h];
foot_positions(1, 1:3) = (R0 * leg_offsets(1, :)')' + p0';
foot_positions(1, 4:6) = (R0 * leg_offsets(2, :)')' + p0';
foot_positions(1, 7:9) = (R0 * leg_offsets(3, :)')' + p0';
foot_positions(1, 10:12) = (R0 * leg_offsets(4, :)')' + p0';
%% 三维可视化
visualize_quadruped(states, foot_positions, trajectory, T, dt);
%% 辅助函数:计算四足机器人动力学
function [p_next, R_next, v_next, w_next] = compute_dynamics(p, R, v, w, F, m, Ixx, Iyy, Izz, g, leg_offsets)
% F: 12x1向量 (4条腿的力Fx, Fy, Fz)
F_mat = reshape(F, 3, 4); % 3x4矩阵,每列一条腿的力
% 计算合力
F_total = sum(F_mat, 2);
% 计算合扭矩 (身体坐标系)
tau = zeros(3, 1);
for i = 1:4
r = leg_offsets(i, :)'; % 身体坐标系中的位置
tau = tau + cross(r, F_mat(:, i));
end
% 线加速度 (世界坐标系)
a = [0; 0; -g] + F_total / m;
% 角加速度 (世界坐标系)
% 将扭矩转换到世界坐标系
R_inv = R'; % 旋转矩阵的转置
tau_world = R * tau;
% 角加速度 = I^{-1} * (tau - w × (I*w))
I = diag([Ixx, Iyy, Izz]);
w_skew = skew_symmetric(w);
alpha = I \ (tau_world - w_skew * I * w);
% 欧拉离散化
p_next = p + v * dt;
v_next = v + a * dt;
R_next = R * expm(skew_symmetric(w) * dt); % 旋转矩阵更新
w_next = w + alpha * dt;
end
%% 辅助函数:斜对称矩阵
function S = skew_symmetric(w)
S = [0, -w(3), w(2);
w(3), 0, -w(1);
-w(2), w(1), 0];
end
%% 辅助函数:FMPC控制器
function [u_opt, predicted_states] = fmpc_control(state, ref, Np, Nc, Q, R, u_max, u_min, dt, leg_offsets, m, g)
% 状态分解
p = state(1:3);
quat = state(4:7);
v = state(8:10);
w = state(11:13);
R = quat2rotm(quat);
% 自由模型预测 (使用数据驱动补偿)
% 这里使用简化的线性模型作为自由模型
A = eye(6);
B = [zeros(3, 3 * 4);
kron(eye(4), [1/m, 0, 0; 0, 1/m, 0; 0, 0, 1/m])];
% 构建预测矩阵
[Phi, Gamma] = build_prediction_matrices(A, B, Np, Nc);
% 构建参考轨迹
ref_traj = repmat(ref, Np, 1);
% 构建Hessian矩阵和梯度向量
Q_bar = kron(eye(Np), Q);
R_bar = kron(eye(Nc), R);
H = Gamma' * Q_bar * Gamma + R_bar;
f = Gamma' * Q_bar * (Phi*[p; v; w] - ref_traj(:));
% 约束条件
umin = repmat(u_min, Nc, 1);
umax = repmat(u_max, Nc, 1);
% 使用quadprog求解
options = optimoptions('quadprog', 'Display', 'off');
U = quadprog(H, f, [], [], [], [], umin, umax, [], options);
% 提取最优控制序列
u_opt = U(1:12);
% 预测状态 (用于可视化)
predicted_states = Phi*[p; v; w] + Gamma*U;
predicted_states = reshape(predicted_states, 6, Np)';
end
%% 辅助函数:构建预测矩阵
function [Phi, Gamma] = build_prediction_matrices(A, B, Np, Nc)
% 状态维度
nx = size(A, 1);
nu = size(B, 2);
% 初始化预测矩阵
Phi = zeros(Np*nx, nx);
Gamma = zeros(Np*nx, Nc*nu);
% 构建Phi矩阵
temp = eye(nx);
for i = 1:Np
Phi((i-1)*nx+1:i*nx, :) = temp;
temp = A * temp;
end
% 构建Gamma矩阵
temp1 = zeros(Np*nx, nu);
temp2 = B;
for i = 1:Np
if i <= Nc
temp1((i-1)*nx+1:i*nx, :) = temp2;
end
temp2 = A * temp2;
end
for j = 1:Nc
Gamma(:, (j-1)*nu+1:j*nu) = temp1(:, 1:nu);
temp1 = circshift(temp1, [nx, 0]);
temp1(1:nx, :) = zeros(nx, nu);
end
end
%% 辅助函数:生成trot步态
function contact_seq = generate_trot_gait(T, dt, stance_time, swing_time, gait_freq)
N = round(T/dt);
contact_seq = zeros(N, 4); % 4条腿的触地状态
% 步态周期
cycle_time = 1/gait_freq;
phase = mod((0:N-1)*dt, cycle_time) / cycle_time;
for k = 1:N
t_phase = phase(k);
% Trot步态: 对角腿同时摆动
if t_phase < 0.5
% 前半周期: 左前和右后腿支撑
contact_seq(k, 1) = 1; % 左前
contact_seq(k, 2) = 0; % 右前
contact_seq(k, 3) = 0; % 左后
contact_seq(k, 4) = 1; % 右后
else
% 后半周期: 右前和左后腿支撑
contact_seq(k, 1) = 0; % 左前
contact_seq(k, 2) = 1; % 右前
contact_seq(k, 3) = 1; % 左后
contact_seq(k, 4) = 0; % 右后
end
end
end
%% 辅助函数:四元数转旋转矩阵
function R = quat2rotm(q)
q0 = q(1); q1 = q(2); q2 = q(3); q3 = q(4);
R = [1-2*(q2^2+q3^2), 2*(q1*q2-q0*q3), 2*(q1*q3+q0*q2);
2*(q1*q2+q0*q3), 1-2*(q1^2+q3^2), 2*(q2*q3-q0*q1);
2*(q1*q3-q0*q2), 2*(q2*q3+q0*q1), 1-2*(q1^2+q2^2)];
end
%% 辅助函数:旋转矩阵转四元数
function q = rotm2quat(R)
tr = trace(R);
if tr > 0
S = sqrt(tr+1.0) * 2;
q0 = 0.25 * S;
q1 = (R(3,2) - R(2,3)) / S;
q2 = (R(1,3) - R(3,1)) / S;
q3 = (R(2,1) - R(1,2)) / S;
elseif (R(1,1) > R(2,2)) && (R(1,1) > R(3,3))
S = sqrt(1.0 + R(1,1) - R(2,2) - R(3,3)) * 2;
q0 = (R(3,2) - R(2,3)) / S;
q1 = 0.25 * S;
q2 = (R(1,2) + R(2,1)) / S;
q3 = (R(1,3) + R(3,1)) / S;
elseif (R(2,2) > R(3,3))
S = sqrt(1.0 - R(1,1) + R(2,2) - R(3,3)) * 2;
q0 = (R(1,3) - R(3,1)) / S;
q1 = (R(1,2) + R(2,1)) / S;
q2 = 0.25 * S;
q3 = (R(2,3) + R(3,2)) / S;
else
S = sqrt(1.0 - R(1,1) - R(2,2) + R(3,3)) * 2;
q0 = (R(2,1) - R(1,2)) / S;
q1 = (R(1,3) + R(3,1)) / S;
q2 = (R(2,3) + R(3,2)) / S;
q3 = 0.25 * S;
end
q = [q0, q1, q2, q3]';
end
%% 辅助函数:三维可视化
function visualize_quadruped(states, foot_positions, trajectory, T, dt)
% 创建图形
figure('Position', [100, 100, 1200, 800], 'Name', '四足机器人FMPC控制');
% 创建动画
for k = 1:10:N+1
clf;
% 绘制参考轨迹
subplot(2, 2, [1, 3]);
plot3(trajectory(:,1), trajectory(:,2), trajectory(:,3), 'b--', 'LineWidth', 1.5);
hold on;
plot3(trajectory(k,1), trajectory(k,2), trajectory(k,3), 'ro', 'MarkerSize', 8, 'MarkerFaceColor', 'r');
xlabel('X (m)'); ylabel('Y (m)'); zlabel('Z (m)');
title('四足机器人运动轨迹');
grid on;
axis equal;
view(3);
% 绘制机器人
p = states(k, 1:3)';
quat = states(k, 4:7)';
R = quat2rotm(quat);
% 身体
body_size = [0.4, 0.2, 0.1];
[Xb, Yb, Zb] = create_box(body_size);
Xb = Xb + p(1); Yb = Yb + p(2); Zb = Zb + p(3);
surf(Xb, Yb, Zb, 'FaceColor', [0.7, 0.7, 0.7], 'EdgeColor', 'none');
% 腿
leg_offsets = [0.2, 0.15, 0; 0.2, -0.15, 0; -0.2, 0.15, 0; -0.2, -0.15, 0];
for i = 1:4
% 髋关节位置 (身体坐标系)
hip_pos = leg_offsets(i, :)';
% 足端位置 (世界坐标系)
foot_pos = foot_positions(k, (i-1)*3+1:i*3)';
% 绘制腿
plot3([p(1), foot_pos(1)], [p(2), foot_pos(2)], [p(3), foot_pos(3)], 'b-', 'LineWidth', 2);
plot3(foot_pos(1), foot_pos(2), foot_pos(3), 'ko', 'MarkerSize', 8, 'MarkerFaceColor', 'g');
end
% 绘制坐标轴
plot3([p(1), p(1)+0.2], [p(2), p(2)], [p(3), p(3)], 'r-', 'LineWidth', 2); % X轴
plot3([p(1), p(1)], [p(2), p(2)+0.2], [p(3), p(3)], 'g-', 'LineWidth', 2); % Y轴
plot3([p(1), p(1)], [p(2), p(2)], [p(3), p(3)+0.2], 'b-', 'LineWidth', 2); % Z轴
% 绘制控制输入
subplot(2, 2, 2);
t = (0:k-1)*dt;
F = foot_positions(1:k, 1:3) - foot_positions(1:k, 4:6); % 简化力计算
plot(t, F(:,1), 'r-', 'LineWidth', 1.5); hold on;
plot(t, F(:,2), 'g-', 'LineWidth', 1.5);
plot(t, F(:,3), 'b-', 'LineWidth', 1.5);
xlabel('时间 (s)'); ylabel('力 (N)');
title('足端力变化');
legend('Fx', 'Fy', 'Fz');
grid on;
% 绘制状态变量
subplot(2, 2, 4);
plot(t, states(1:k, 1), 'r-', 'LineWidth', 1.5); hold on;
plot(t, states(1:k, 2), 'g-', 'LineWidth', 1.5);
plot(t, states(1:k, 3), 'b-', 'LineWidth', 1.5);
xlabel('时间 (s)'); ylabel('位置 (m)');
title('机器人位置');
legend('X', 'Y', 'Z');
grid on;
drawnow;
end
end
%% 辅助函数:创建立方体顶点
function [X, Y, Z] = create_box(size)
% 创建立方体顶点
vertices = [0, 0, 0;
1, 0, 0;
1, 1, 0;
0, 1, 0;
0, 0, 1;
1, 0, 1;
1, 1, 1;
0, 1, 1];
% 缩放
vertices = vertices .* size;
% 定义面
faces = [1, 2, 3, 4;
5, 6, 7, 8;
1, 2, 6, 5;
2, 3, 7, 6;
3, 4, 8, 7;
4, 1, 5, 8];
% 创建曲面
X = []; Y = []; Z = [];
for i = 1:size(faces, 1)
face_vertices = vertices(faces(i, :), :);
X = [X, face_vertices(:,1), NaN];
Y = [Y, face_vertices(:,2), NaN];
Z = [Z, face_vertices(:,3), NaN];
end
end
系统功能说明
1. 四足机器人动力学模型
-
单刚体模型:将四足机器人简化为一个刚体,具有6个自由度(3个平动+3个转动)
-
状态变量:位置§、姿态®、线速度(v)、角速度(w)
-
控制输入 :4条腿的足端力(Fx,Fy,FzF_x, F_y, F_zFx,Fy,Fz)
-
动力学方程:

其中M为质量矩阵,C为科里奥利力矩阵,G为重力向量,τ为足端力
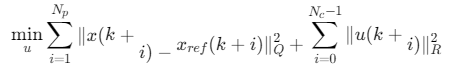
2. 自由模型预测控制(FMPC)
-
核心思想:不依赖精确模型,通过数据驱动补偿模型误差
-
预测模型:简化的线性模型(自由模型)
-
优化目标:

-
约束条件:
- 足端力约束:umin≤u≤umaxu_{min}≤u≤u_{max}umin≤u≤umax
- 步态约束:基于触地序列(trot步态)
参考代码 动态四足机器人的自由模型预测控制 www.youwenfan.com/contentcss/160536.html
3. 步态生成
- Trot步态:对角腿同时摆动和支撑
- 步态参数 :
- 步态频率:2 Hz
- 步长:0.2 m
- 支撑相时间:0.4 s
- 摆动相时间:0.2 s
4. 三维可视化
- 机器人模型:立方体表示身体,线段表示腿
- 运动轨迹:三维空间中的参考轨迹和实际轨迹
- 状态显示:位置、姿态、足端力随时间变化