
在NISQ时代,噪声是量子计算必须面对的挑战。本文将深入量子噪声的数学描述,展示QPanda噪声虚拟机的实现原理,并以QAOA为例,系统测试噪声对算法性能的影响。
引言:NISQ时代的噪声挑战
随着量子芯片的快速发展,我们即将迎来包含数百个量子比特的NISQ(Noisy Intermediate-Scale Quantum)装置 。这类设备虽然已经超越了经典计算机的模拟能力,但由于量子比特数量尚不足以支持完全纠错,噪声成为影响算法性能的关键因素。如何在噪声环境中设计并验证量子算法,是当前研究的热点。
QPanda作为国内领先的量子计算开发工具库,提供了噪声量子虚拟机功能,能够模拟各种常见噪声对量子线路的影响。本文将首先介绍量子噪声的数学基础,然后揭示QPanda噪声虚拟机的实现原理,最后以QAOA(量子近似优化算法)为例,系统测试噪声对损失函数、梯度及优化结果的影响,为NISQ算法的开发提供参考。
一、量子噪声的数学描述
1.1 噪声的Kraus算子表示
在量子力学中,量子系统的噪声通常用Kraus算子 描述。一组Kraus算子 {Ki}\{K_i\}{Ki} 满足:
∑iKi†Ki=I \sum_i K_i^\dagger K_i = I i∑Ki†Ki=I
在噪声影响下,量子态 ρ\rhoρ 的演化变为:
ρ′=∑iKiρKi† \rho' = \sum_i K_i \rho K_i^\dagger ρ′=i∑KiρKi†
1.2 常见噪声模型
| 噪声类型 | Kraus算子 | 参数 |
|---|---|---|
| 弛豫噪声 | K0=[1001−p],K1=[0p00]K_0 = \begin{bmatrix}1&0\\0&\sqrt{1-p}\end{bmatrix}, K_1 = \begin{bmatrix}0&\sqrt{p}\\0&0\end{bmatrix}K0=[1001−p ],K1=[00p 0] | ppp |
| 比特翻转噪声 | K0=1−pI,K1=pXK_0 = \sqrt{1-p}I, K_1 = \sqrt{p}XK0=1−p I,K1=p X | ppp |
| 退相位噪声 | K0=1−pI,K1=pZK_0 = \sqrt{1-p}I, K_1 = \sqrt{p}ZK0=1−p I,K1=p Z | ppp |
| 退极化噪声 | K0=1−3p4I,K1=p4X,K2=p4Y,K3=p4ZK_0 = \sqrt{1-\frac{3p}{4}}I, K_1 = \sqrt{\frac{p}{4}}X, K_2 = \sqrt{\frac{p}{4}}Y, K_3 = \sqrt{\frac{p}{4}}ZK0=1−43p I,K1=4p X,K2=4p Y,K3=4p Z | ppp |
这些噪声都满足一种特殊形式:Kraus算子中有一项是 1−pI\sqrt{1-p}I1−p I,其余项与泡利矩阵相关。这种噪声对后续的理论分析特别有利。
二、QPanda噪声虚拟机的实现原理
2.1 从纯态到混态的模拟策略
为了在资源可控的条件下模拟噪声,QPanda采用蒙特卡洛方法:在态矢演化过程中引入随机性,多次运行统计结果,从而近似密度矩阵。
对于一个含噪声的量子门 UUU,其噪声模型由Kraus算子 {Ki}\{K_i\}{Ki} 描述。实现该门的步骤如下:
- 计算每个Kraus算子作用后的态:∣ψi⟩=KiU∣ψ⟩|\psi_i\rangle = K_i U |\psi\rangle∣ψi⟩=KiU∣ψ⟩,并得到相应的概率 pi=∥∣ψi⟩∥2p_i = \| |\psi_i\rangle \|^2pi=∥∣ψi⟩∥2。
- 生成一个 [0,1][0,1][0,1] 均匀分布的随机数 rrr,根据累积概率选择某个 jjj 作为本次演化结果。
- 将 ∣ψj⟩|\psi_j\rangle∣ψj⟩ 归一化后作为新态。
重复多次上述过程,对得到的输出态进行统计,即可逼近真实混态演化结果。当运行次数 NNN 足够大时,统计平均态趋近于理论密度矩阵。
2.2 噪声量子线路的模拟
对于由多个量子门组成的线路,每个门都独立执行上述随机演化过程。通过多次运行整个线路,最终得到输出态的统计分布,进而计算可观测量期望。
这种方法用态矢模拟混态,避免了直接操作密度矩阵的高昂开销(时间和空间复杂度均为纯态演化的平方量级),使得模拟数十个量子比特的噪声线路成为可能。
三、噪声对QAOA性能的影响:理论模型
QAOA是一种经典的量子-经典混合算法,适用于组合优化问题。其核心是参数化量子线路 U(γ,β)U(\boldsymbol{\gamma},\boldsymbol{\beta})U(γ,β),损失函数定义为目标哈密顿量 HCH_CHC 的期望。
3.1 噪声对损失函数的影响
考虑噪声模型 K0=1−pIK_0 = \sqrt{1-p}IK0=1−p I,其余Kraus算子为 Kj=pσjK_j = \sqrt{p} \sigma_jKj=p σj(σj\sigma_jσj 为泡利矩阵)。对于单个量子门,经过该噪声后,输出态与理想输出态的关系可近似为:
∣ψnoise⟩≈1−p∣ψideal⟩+p∣ψerror⟩ |\psi_{\text{noise}}\rangle \approx \sqrt{1-p} |\psi_{\text{ideal}}\rangle + \sqrt{p} |\psi_{\text{error}}\rangle ∣ψnoise⟩≈1−p ∣ψideal⟩+p ∣ψerror⟩
经过 nnn 个量子门的线路后,带噪声的输出态与理想输出态的关系可写为:
∣ψnoise⟩≈(1−p)n/2∣ψideal⟩+其他项 |\psi_{\text{noise}}\rangle \approx (1-p)^{n/2} |\psi_{\text{ideal}}\rangle + \text{其他项} ∣ψnoise⟩≈(1−p)n/2∣ψideal⟩+其他项
对于QAOA,其损失函数 L=⟨HC⟩L = \langle H_C \rangleL=⟨HC⟩ 在噪声下的期望可近似为:
Lnoise≈(1−p)nLideal+常数 L_{\text{noise}} \approx (1-p)^{n} L_{\text{ideal}} + \text{常数} Lnoise≈(1−p)nLideal+常数
其中 nnn 是线路中的门数,与QAOA步数 pqaoap_{\text{qaoa}}pqaoa 成正比。因此,噪声将损失函数"磨平",比例因子随步数指数下降。
3.2 噪声对梯度的影响
损失函数对参数 θ\thetaθ 的梯度可表示为若干量子线路期望的线性组合。由噪声对期望的影响可推出,噪声下的梯度与理想梯度成正比:
∂Lnoise∂θ≈(1−p)n∂Lideal∂θ \frac{\partial L_{\text{noise}}}{\partial \theta} \approx (1-p)^{n} \frac{\partial L_{\text{ideal}}}{\partial \theta} ∂θ∂Lnoise≈(1−p)n∂θ∂Lideal
这意味着噪声会缩小梯度幅度,但不改变梯度方向。因此,在噪声较小时,参数优化的最终收敛点仍与理想情况一致,但收敛速度变慢。
四、利用QPanda测试噪声对QAOA的影响

本节以图所示的最大分割问题为例,使用QPanda噪声虚拟机和VQNet框架,对退相位噪声、比特翻转噪声和退极化噪声进行系统测试。
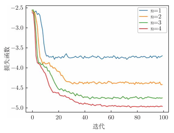
4.1 理想情况下的QAOA性能

首先运行无噪声的QAOA,步数 p=1,2,3p=1,2,3p=1,2,3。图显示损失函数随优化迭代下降,图表明随着步数增加,QAOA能够找到更优的解。

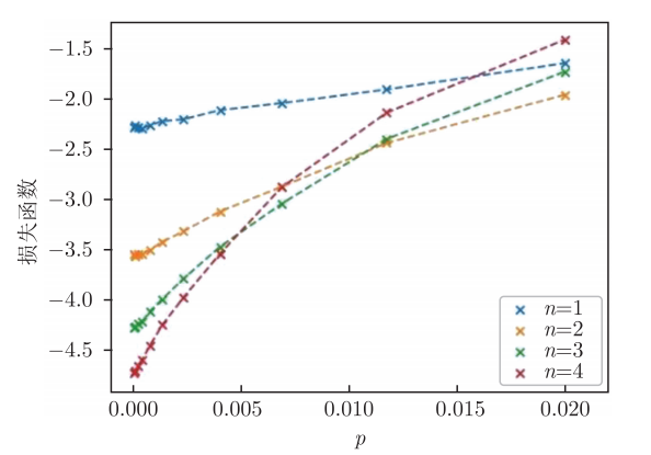
4.2 噪声对损失函数的影响

固定QAOA参数(取理想优化后的参数),测试不同噪声参数 ppp 下损失函数的变化。图展示了三种噪声下损失函数与噪声参数的关系。
定义 ΔL(p)=Lnoise(p)−LidealLideal\Delta L(p) = \frac{L_{\text{noise}}(p) - L_{\text{ideal}}}{L_{\text{ideal}}}ΔL(p)=LidealLnoise(p)−Lideal,理论模型预测:
ΔL(p)≈−cp \Delta L(p) \approx -c p ΔL(p)≈−cp
其中 ccc 为常数。通过拟合得到三种噪声的 ccc 值:
- 退相位噪声:c≈0.57c \approx 0.57c≈0.57
- 比特翻转噪声:c≈0.63c \approx 0.63c≈0.63
- 退极化噪声:c≈1.43c \approx 1.43c≈1.43
退极化噪声对QAOA影响最大,这与它的Kraus算子数量(4个)多于其他噪声(2个)一致。

图展示了小噪声区间(ppp 较小)的线性关系,验证了理论模型。
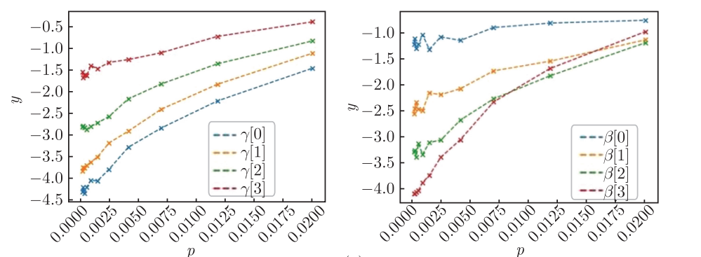
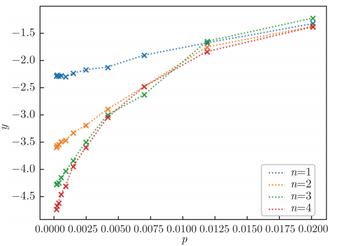
4.3 噪声对损失函数梯度的影响



噪声对损失函数梯度的影响
选取理想优化过程中梯度最大的参数点,测试噪声下梯度绝对值的变化。图显示,梯度随噪声参数增加而衰减。
定义 G(p)=∥∇Lnoise(p)∥∥∇Lideal∥G(p) = \frac{\|\nabla L_{\text{noise}}(p)\|}{\|\nabla L_{\text{ideal}}\|}G(p)=∥∇Lideal∥∥∇Lnoise(p)∥,理论模型预测:
G(p)≈1−c′p G(p) \approx 1 - c' p G(p)≈1−c′p



噪声对损失函数梯度的影响数据拟合图像
拟合得到三种噪声的 c′c'c′ 值(图):
- 退相位噪声:c′≈0.70c' \approx 0.70c′≈0.70
- 比特翻转噪声:c′≈0.72c' \approx 0.72c′≈0.72
- 退极化噪声:c′≈1.68c' \approx 1.68c′≈1.68
结果再次印证了理论模型,且退极化噪声影响最大。
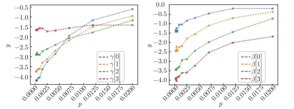
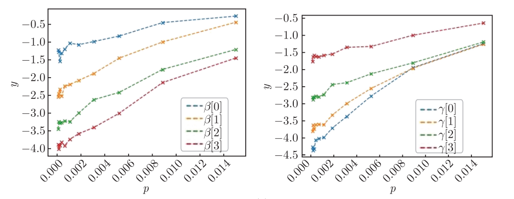
4.4 噪声对QAOA优化结果的影响



噪声与QAOA优化损失函数的关系

(a), (b), ©分别表示退相位噪声,比特翻转噪声和退极化噪声
在不同噪声参数下运行完整的QAOA优化流程,记录最终损失函数值(图)和参数与理想最优参数的欧氏距离(图)。
定义 D(p)=Lopt(p)−LidealLidealD(p) = \frac{L_{\text{opt}}(p) - L_{\text{ideal}}}{L_{\text{ideal}}}D(p)=LidealLopt(p)−Lideal,拟合得到:
- 退相位噪声:c′′≈1.92c'' \approx 1.92c′′≈1.92
- 比特翻转噪声:c′′≈1.97c'' \approx 1.97c′′≈1.97
- 退极化噪声:c′′≈3.72c'' \approx 3.72c′′≈3.72
c′′c''c′′ 大于 ccc 和 c′c'c′,说明噪声不仅影响单次计算,还通过优化过程累积误差。当噪声较小时,优化结果与理想情况仍接近,但随着噪声增加,梯度方向变得不确定,优化容易提前终止。
五、总结与展望
本节利用QPanda噪声虚拟机系统研究了QAOA在三种常见噪声下的性能变化,并建立了理论模型,揭示了:
- 噪声会指数级衰减损失函数和梯度的幅度,但不改变梯度方向。
- 在噪声较小时,优化结果与理想情况一致,但收敛速度下降。
- 退极化噪声影响最大,因其涉及多个方向的错误。
这些研究为在NISQ设备上部署QAOA提供了理论指导:当噪声参数与线路深度的乘积较小时,算法仍可有效工作;反之,需要通过误差缓解技术或优化算法调整来提升鲁棒性。
QPanda的噪声虚拟机为NISQ算法开发者提供了强大的工具,能够快速评估算法对噪声的敏感性,指导硬件选择和参数优化。随着量子芯片质量的提升和算法的发展,噪声将不再是阻碍量子计算实用的绝对壁垒。
参考文献
1\] QPanda官方文档 \[2\] Preskill, J. "Quantum Computing in the NISQ era and beyond." (2018) \[3\] 本系列前文《量子噪声与误差缓解》 \[4\] 文中图表引用自用户提供的资料