中介绍了动态规划,但是可以明显的发现,我只需要沿着一条数轴走就行了,例如走楼梯只需要向上走。而所谓的多维动态规划,就是不止一个维度,就像走地图一样方向可以改变。
但是本质上依旧没有改变
解题
要知道累计到现在的结果 ,我们就需要知道之前的累计结果
状态定义:
先设f(x) 为当前数 参与的累计结果
状态转移方程:
他的推导式子必定为f(x)= G(f(与以前某项关联))
初始化与边界:
通过与以前项关联的个数推导出开始
1.不同路径
一个机器人位于一个 m x n网格的左上角 (起始点在下图中标记为 "Start" )。
机器人每次只能向下或者向右移动一步。机器人试图达到网格的右下角(在下图中标记为 "Finish" )。
问总共有多少条不同的路径?

解题:
要知道累计到现在的结果 ,我们就需要知道之前的累计结果
状态定义:
f(i,j)是走到当前位置的路径
状态转移方程:
走到当前方块可以由哪些地方走来呢?
题中说明每次只能向下或者向右移动一步

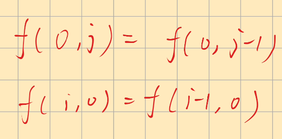
初始化与边界:
由于里面存在两个参数可变,因此边界为

class Solution {
public int uniquePaths(int m, int n) {
// 创建 dp 数组,dp[i][j] 表示到达 (i, j) 的路径总数
int[][] dp = new int[m][n];
// 初始化第一列:只能一路向下,路径数为 1
for (int i = 0; i < m; i++) {
dp[i][0] = 1;
}
// 初始化第一行:只能一路向右,路径数为 1
for (int j = 0; j < n; j++) {
dp[0][j] = 1;
}
// 填充其余格子
for (int i = 1; i < m; i++) {
for (int j = 1; j < n; j++) {
// 到达当前格子的路径 = 上方格子的路径 + 左方格子的路径
dp[i][j] = dp[i - 1][j] + dp[i][j - 1];
}
}
return dp[m - 1][n - 1];
}
}
2最小路径和
给定一个包含非负整数的 m xn 网格 grid ,请找出一条从左上角到右下角的路径,使得路径上的数字总和为最小。
**说明:**每次只能向下或者向右移动一步。

解题:
状态定义:
f(i,j)是走到当前位置的总和
状态转移方程:
走到当前方块可以由哪些地方走来呢?
题中说明每次只能向下或者向右移动一步

初始化与边界:
由于里面存在两个参数可变,因此边界为

class Solution {
public int minPathSum(int[][] grid) {
if (grid == null || grid.length == 0 || grid[0].length == 0) {
return 0;
}
int m = grid.length;
int n = grid[0].length;
int[][] dp = new int[m][n];
// 1. 初始化起点
dp[0][0] = grid[0][0];
// 2. 初始化第一行 (只能向右)
for (int j = 1; j < n; j++) {
dp[0][j] = dp[0][j - 1] + grid[0][j];
}
// 3. 初始化第一列 (只能向下)
for (int i = 1; i < m; i++) {
dp[i][0] = dp[i - 1][0] + grid[i][0];
}
// 4. 填充其余网格
for (int i = 1; i < m; i++) {
for (int j = 1; j < n; j++) {
// 当前格子的最小路径和 = min(左方, 上方) + 当前格子值
dp[i][j] = Math.min(dp[i - 1][j], dp[i][j - 1]) + grid[i][j];
}
}
// 返回右下角的值
return dp[m - 1][n - 1];
}
}
3最长回文子串
给你一个字符串 s,找到 s 中最长的 回文 子串。

解题:
状态定义:
f(i,j)表示字符串从 i 到 j 的子串是否为回文串(boolean)。
状态转移方程:
走到当前方块可以由哪些地方走来呢?
题中说明每次只能向下或者向右移动一步

初始化与边界:
由于里面存在两个参数可变,因此边界为
class Solution {
public String longestPalindrome(String s) {
int n = s.length();
if (n < 2) return s;
boolean[][] dp = new boolean[n][n];
int maxLen = 1;
int begin = 0;
// 初始化:所有长度为 1 的子串都是回文
for (int i = 0; i < n; i++) {
dp[i][i] = true;
}
// 这里的遍历顺序很重要:先枚举子串长度,或者从右下角向上遍历
for (int j = 1; j < n; j++) {
for (int i = 0; i < j; i++) {
if (s.charAt(i) != s.charAt(j)) {
dp[i][j] = false;
} else {
if (j - i < 3) {
dp[i][j] = true;
} else {
dp[i][j] = dp[i + 1][j - 1];
}
}
// 如果 dp[i][j] 是回文且长度大于当前最大值
if (dp[i][j] && j - i + 1 > maxLen) {
maxLen = j - i + 1;
begin = i;
}
}
}
return s.substring(begin, begin + maxLen);
}
}