01
文献学习

本次分享的文献是由重庆大学附属肿瘤医院张久权教授团队联合第三军医大学西南医院放射科等团队于2025年4月在《Radiology》(中科院1区toop,IF=15.2)上发表的研究"Nomogram for Predicting Neoadjuvant Chemotherapy Response in Breast Cancer Using MRI-based Intratumoral Heterogeneity Quantification"即基于MRI肿瘤内异质性量化预测乳腺癌新辅助化疗反应的列线图,该研究构建了一个基于MRI的肿瘤内异质性评分,并结合临床病理变量(HR与HER2状态)建立列线图模型,用于预测乳腺癌患者对新辅助化疗的病理完全缓解及无复发生存期,并探讨了该模型与肿瘤生物学通路的关系。
创新点:①提出MRI无创量化肿瘤内异质性的方法 ,结合局部特征与全局分布模式,避免传统组织采样的侵入性与偏差。②构建多因素预测列线图模型 ,整合影像异质性评分与HR、HER2状态,提升对新辅助化疗病理完全缓解的预测能力。③建立影像评分与生物学通路关联,通过基因组富集分析揭示低分与细胞周期通路上调相关,支持模型的生物学意义。
临床价值:①实现个体化治疗前预测 ,无创评估患者对新辅助化疗的反应,辅助临床决策与手术规划。②提供预后分层依据 ,列线图评分与无复发生存期显著相关,有助于识别高风险患者。③推动精准医疗实践,结合影像与分子特征,优化治疗策略,避免无效化疗与资源浪费。

图 2:研究工作流程示意图
流程分为5个关键步骤,按顺序推进:
肿瘤区域分割(ROI segmentation):由放射科医生手动勾勒肿瘤区域,为后续分析奠定基础。
局部特征提取(Local feature extraction):采用3×3mm滑动窗口,通过 PyRadiomics 工具提取 19 个一阶特征和 75 个纹理特征。
聚类与ITH评分计算:基于局部特征进行无监督聚类,结合全局像素分布模式,通过公式计算ITH评分(范围0-1)。
模型构建(Model building):将 ITH 评分与临床病理变量(HR状态、HER2状态)结合,通过多变量logistic回归构建列线图模型。
模型验证与生物学探索(Evaluation):验证模型对pCR和RFS的预测性能,同时通过基因组数据挖掘模型相关的生物学通路。
02
研究背景及目的
研究背景
乳腺癌的新辅助化疗(NAC)是治疗局部晚期乳腺癌的常用方法,但仅19%--34.9%的患者能达到病理完全缓解 ,而pCR与更好的预后和手术机会密切相关。因此,早期准确预测治疗反应对于优化治疗策略、避免不必要的毒副作用和经济负担至关重要。肿瘤内异质性(ITH)已被广泛认为是导致治疗失败和复发的重要因素,但目前评估ITH主要依赖侵入性的组织采样和基因组测序 ,这些方法存在取样偏差且难以实时评估。MRI作为评估乳腺癌治疗反应最敏感的影像学手段,具有量化ITH的潜力,但现有方法多基于影像组学特征或局部异质性分析,尚未充分结合空间分布模式与生物学意义 ,且缺乏对预后价值的系统验证。因此,开发一种无创、方便的ITH测量方法,并建立能够预测pCR和生存结局的综合模型,具有重要的临床需求与研究价值。
研究目的
本研究旨在利用治疗前MRI量化乳腺癌的肿瘤内异质性 ,构建一个结合ITH评分与临床病理变量的列线图模型,以预测患者对新辅助化疗的病理完全缓解(pCR)和无复发生存期(RFS)。具体目标包括:首先,通过多中心回顾性数据 ,提取并整合肿瘤的局部影像特征与全局像素分布模式,计算ITH评分;其次,使用多变量逻辑回归方法构建列线图预测模型 ,并在多个外部验证集中评估其性能;此外,研究还将探讨模型评分与RFS之间的关系 ,并通过基因集富集分析揭示其背后的生物学通路,如细胞增殖、黏附与代谢等相关路径。最终,研究期望为临床提供一个可视化、易用的预测工具,帮助医生在治疗早期识别应答不良的患者,并为个体化治疗决策提供影像与分子水平的依据。
03
数据和方法
研究数据
来源:6个医疗中心+3个公共数据集(I-SPY2、Breast-MRI-NACT-Pilot、TCGA-BRCA)
总样本量:1448例女性乳腺癌患者
分组:
训练集(505例,中心A)
外部验证集1(331例,中心B)
外部验证集2(107例,中心C--F)
外部验证集3(384例,公共数据集G)
生存集(179例,用于RFS分析)
基因组学集(74例,用于通路分析)

图 1:研究数据集流程图
技术方法
(1)MRI预处理
图像重采样至1×1×1mm,采用z分数标准化降低不同扫描协议的差异;
选取治疗前动态增强MRI的肿瘤强化峰值期图像进行分析。
(2)ITH评分计算
肿瘤区域扩展3mm,纳入瘤周微环境;
采用3×3mm滑动窗口,通过PyRadiomics提取19个一阶特征和75个纹理特征;
k均值聚类(肘部法确定聚类数)识别具有相似放射组学特征的肿瘤亚区域;
基于总肿瘤面积、每个聚类的连通区域数及最大连通区域面积计算ITH评分,评分范围0-1。
(3)模型构建与验证
单变量logistic回归筛选pCR潜在预测因子(P<0.10);
多变量logistic回归构建列线图模型,基于赤池信息准则(AIC)选择最优模型(最终纳入ITH评分、HR状态、HER2状态);
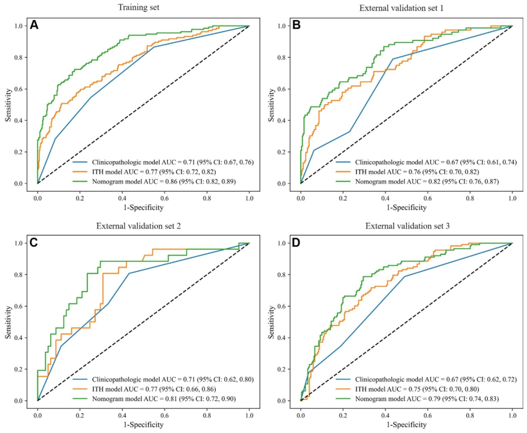
采用AUC、校准曲线、决策曲线评估模型性能,DeLong检验比较不同模型(列线图模型vs临床病理模型vs单独ITH模型)。
(4)统计分析
生存分析:Kaplan-Meier曲线比较不同列线图评分组的RFS,多变量Cox回归识别RFS独立预测因子;
基因组分析:基因集富集分析(GSEA)探索列线图评分相关的生物学通路;
04
实验结果
(1)ITH评分与pCR的关联
ITH评分是pCR的独立预测因子(OR=0.12,95% CI:0.03-0.43,P<0.001);
所有数据集(训练集+验证集)中,pCR患者与非pCR患者的ITH评分存在显著差异(均P<0.001)。
(2)模型预测性能
列线图模型的AUC显著高于临床病理模型(所有验证集P<0.05),校准曲线和决策曲线显示其临床实用性良好。
(3)列线图评分与RFS的关联
列线图评分最佳cutoff值为66.45,低评分组(<66.45)的RFS显著差于高评分组(HR=4.04,95% CI:1.90-8.60,P<0.001);
多变量Cox回归显示,列线图评分(低vs高)和HR状态(阴性vs阳性)是RFS的独立预后因子(均P<0.05)。
(4)生物学通路分析
低列线图评分组:细胞周期通路显著上调(标准化富集分数=2.33,P<0.001);
高列线图评分组:黏着斑(标准化富集分数=-2.54)、细胞外基质受体相互作用(标准化富集分数=-2.30)等转移相关通路显著下调(均P<0.001)。
(5)一致性检验
ITH评分的观察者内一致性ICC=0.86(95% CI:0.76-0.96),观察者间一致性ICC=0.85(95% CI:0.70-0.92),一致性良好。

图 3:模型预测pCR的ROC曲线

图 4:pCR预测相关分析图

图 5:列线图评分与RFS 的关联分析图

图 6:生物学通路分析图
05
研究结论
本研究通过整合基于MRI的肿瘤内异质性(ITH)评分 与临床病理变量(激素受体状态、HER2状态),构建了一个用于预测乳腺癌新辅助化疗后病理完全缓解(pCR) 的列线图模型。该模型在三个外部验证集中表现出稳定且良好的预测性能 ,受试者工作特征曲线下面积(AUC)达0.79--0.82 ,显著优于仅包含临床病理变量的模型。此外,列线图评分具有重要的预后价值 :评分较低的患者复发风险显著升高 (风险比=4.04),且其肿瘤在基因富集分析中显示细胞周期等增殖相关通路上调 ,提示肿瘤更具侵袭性。研究表明,ITH评分是pCR的独立预测因子 ,且与肿瘤的生物学行为密切相关。尽管研究存在回顾性设计、部分数据集样本量有限等局限性,但结果表明,结合影像组学与临床指标的列线图工具不仅能有效预测治疗反应,还可用于评估患者复发风险及揭示潜在的肿瘤生物学特征,为乳腺癌个体化治疗决策提供了有价值的参考。未来仍需大规模前瞻性研究进一步验证其临床适用性。
参考文献:Huang Y, Wang X, Cao Y, Lan X, Hu X, Mou F, Chen H, Gong X, Li L, Tang S, Wang L, Zhang J. Nomogram for Predicting Neoadjuvant Chemotherapy Response in Breast Cancer Using MRI-based Intratumoral Heterogeneity Quantification. Radiology. 2025 Apr;315(1):e241805. doi: 10.1148/radiol.241805.