FFT【Fast Fourier Transform】
FFT【Fast Fourier Transform】快速傅里叶变换,快速傅里叶变换(FFT)是计算离散傅里叶变换(DFT)的一种高效算法,它通过分治策略将DFT的计算复杂度从O(N^2)大幅降低到O(NlogN),从而彻底改变了数字信号处理、科学计算等多个领域,被誉为"我们一生中最重要的数值算法"之一。DFT和FFT都是音频 处理、图像分析、振动分析、无线通信等许多领域中数字信号处理的关键技术。
DFT:离散傅里叶变换[Discrete Fourier Transform]
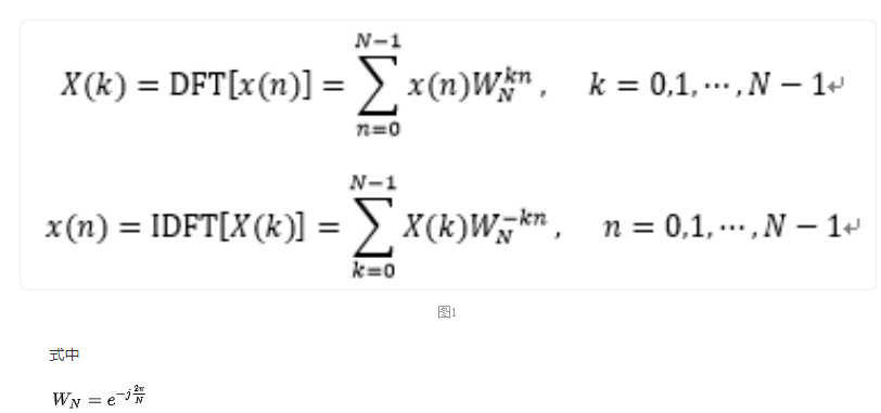
DFT是一种将复数序列(通常为实数信号的离散样本)转换为另一个复数序列的数学运算。给定一个长度为 N 的复数序列 x[n],其离散傅里叶变换 X[k] 为:

其中,X[k]是一个复数序列,表示原始信号在频域的表示,每个X[k]对应于信号在第k(取值范围0到N-1)个频率分量上的复数幅度和相位;N为序列的长度,每个x[n]表示信号在时间域的第n个样本;j为虚数单位,满足j的平方等于-1;为复数指数权重,表示第n个样本在第k个频率分量上的权重,其模为1,相位为。
DFT公式计算了每个频率分量 k 上的复数和,这个和是所有时间域样本 x[n] 乘以相应的复数指数权重的结果。通过这种方式,DFT将时间域信号转换为频域信号,使得我们可以分析信号的频率成分。
FFT:快速傅里叶变换

FFT是DFT的快速算法,它利用了DFT的对称性、周期性和冗余性,将DFT的计算复杂度从 O(N²) 降低到 O(NlogN)。FFT的实现有多种算法,其中最常用的是Cooley-Tukey算法。Cooley-Tukey算法基于分而治之的思想,将DFT分解为更小的DFT问题:
分解:将长度为 N 的序列 x[n]分解为偶数索引部分 x[n](n 为偶数)和奇数索引部分 x[n](n 为奇数)。
递归:对偶数索引部分和奇数索引部分分别进行DFT,得到和。
合并:利用DFT的性质,将和合并为原始序列的X[k]。
新建窗体应用程序FastFourierTransformDemo,将默认的Form1重命名为FormFFT
右键项目FastFourierTransformDemo:管理NuGet程序包,输入 MathNet.Numerics

点击 安装,等待MathNet.Numerics安装完毕

同时添加对System.Numerics的引用【主要使用复数结构体System.Numerics.Complex】。
新建辅助类FFTHelper用于FFT转换和逆变换
文件FFTHelper.cs源程序如下:
cs
using System;
using System.Collections.Generic;
using System.Drawing;
using System.Drawing.Drawing2D;
using System.Linq;
using System.Text;
namespace FastFourierTransformDemo
{
/// <summary>
/// 离散傅氏变换的快速算法,处理的信号,适合单周期信号数为2的N次方个,支持变换及逆变换
/// </summary>
public class FFTHelper
{
/// <summary>
///
/// </summary>
/// <param name="xreal"></param>
/// <param name="ximag"></param>
/// <param name="n"></param>
private static void bitrp( double[] xreal, double[] ximag, int n )
{
// 位反转置换 Bit-reversal Permutation
int i, j, a, b, p;
for (i = 1, p = 0; i < n; i *= 2)
{
p++;
}
for (i = 0; i < n; i++)
{
a = i;
b = 0;
for (j = 0; j < p; j++)
{
b = b * 2 + a % 2;
a = a / 2;
}
if (b > i)
{
double t = xreal[i];
xreal[i] = xreal[b];
xreal[b] = t;
t = ximag[i];
ximag[i] = ximag[b];
ximag[b] = t;
}
}
}
/// <summary>
/// 快速傅立叶变换
/// </summary>
/// <param name="xreal">实数部分</param>
/// <returns>变换后的数组值</returns>
public static double[] FFT( double[] xreal )
{
return FFT( xreal, new double[xreal.Length] );
}
/// <summary>
/// 获取FFT变换后的显示图形,需要指定图形的相关参数
/// </summary>
/// <param name="xreal">实数部分的值</param>
/// <param name="width">图形的宽度</param>
/// <param name="heigh">图形的高度</param>
/// <param name="lineColor">线条颜色</param>
/// <returns>等待呈现的图形</returns>
public static Bitmap GetFFTImage( double[] xreal,int width,int heigh ,Color lineColor)
{
double[] ximag = new double[xreal.Length]; // 构造虚对象
double[] array = FFT( xreal, ximag ); // 傅立叶变换
Bitmap bitmap = new Bitmap( width, heigh ); // 构造图形
Graphics g = Graphics.FromImage( bitmap );
g.SmoothingMode = SmoothingMode.HighQuality;
g.TextRenderingHint = System.Drawing.Text.TextRenderingHint.ClearTypeGridFit;
g.Clear( Color.White );
Pen pen_Line = new Pen( Color.DimGray, 1 ); // 定义画笔资源
Pen pen_Dash = new Pen( Color.LightGray, 1 );
Pen pen_Fourier = new Pen( lineColor, 1 );
pen_Dash.DashPattern = new float[2] { 5, 5 };
pen_Dash.DashStyle = DashStyle.Custom;
Font Font_Normal = SystemFonts.DefaultFont; // 定义字体资源
StringFormat sf_right = new StringFormat( );
sf_right.Alignment = StringAlignment.Far;
sf_right.LineAlignment = StringAlignment.Center;
StringFormat sf_center = new StringFormat( );
sf_center.LineAlignment = StringAlignment.Center;
sf_center.Alignment = StringAlignment.Center;
int padding_top = 20;
int padding_left = 49;
int padding_right = 49;
int padding_down = 30;
int sections = 9;
// g.DrawLine( pen_Line, new Point( padding_left, padding_top ), new Point( padding_left, heigh - padding_down ) );
float paint_height = heigh - padding_top - padding_down;
float paint_width = width - padding_left - padding_right;
if (array.Length > 1)
{
double Max = array.Max( );
double Min = array.Min( );
Max = Max - Min > 1 ? Max : Min + 1;
double Length = Max - Min;
//提取峰值
List<float> Peaks = new List<float>( );
if (array.Length >= 2)
{
if (array[0] > array[1])
{
Peaks.Add( 0 );
}
for (int i = 1; i < array.Length - 2; i++)
{
if (array[i - 1] < array[i] && array[i] > array[i + 1])
{
Peaks.Add( i );
}
}
if (array[array.Length - 1] > array[array.Length - 2])
{
Peaks.Add( array.Length - 1 );
}
}
//高400
for (int i = 0; i < sections; i++)
{
RectangleF rec = new RectangleF( -10f, (float)i / (sections - 1) * paint_height, padding_left + 8f, 20f );
double n = (sections - 1 - i) * Length / (sections - 1) + Min;
g.DrawString( n.ToString( "F1" ), Font_Normal, Brushes.Black, rec, sf_right );
g.DrawLine(
pen_Dash, padding_left - 3, paint_height * i / (sections - 1) + padding_top,
width - padding_right, paint_height * i / (sections - 1) + padding_top );
}
float intervalX = paint_width / array.Length; // 横向间隔
for (int i = 0; i < Peaks.Count; i++)
{
if (array[(int)Peaks[i]] * 200 / Max > 1)
{
g.DrawLine( pen_Dash, Peaks[i] * intervalX + padding_left + 1, padding_top, Peaks[i] * intervalX + padding_left + 1, heigh - padding_down );
RectangleF rec = new RectangleF( Peaks[i] * intervalX + padding_left + 1 - 40, heigh - padding_down + 1, 80f, 20f );
g.DrawString( Peaks[i].ToString( ), Font_Normal, Brushes.DeepPink, rec, sf_center );
}
}
for (int i = 0; i < array.Length; i++)
{
PointF point = new PointF( );
point.X = i * intervalX + padding_left + 1;
point.Y = (float)(paint_height - (array[i] - Min) * paint_height / Length + padding_top);
PointF point2 = new PointF( );
point2.X = i * intervalX + padding_left + 1;
point2.Y = (float)(paint_height - (Min - Min) * paint_height / Length + padding_top);
g.DrawLine( Pens.Tomato, point, point2 );
}
}
else
{
double Max = 100;
double Min = 0;
double Length = Max - Min;
//高400
for (int i = 0; i < sections; i++)
{
RectangleF rec = new RectangleF( -10f, (float)i / (sections - 1) * paint_height, padding_left + 8f, 20f );
double n = (sections - 1 - i) * Length / (sections - 1) + Min;
g.DrawString( n.ToString( "F1" ), Font_Normal, Brushes.Black, rec, sf_right );
g.DrawLine(
pen_Dash, padding_left - 3, paint_height * i / (sections - 1) + padding_top,
width - padding_right, paint_height * i / (sections - 1) + padding_top );
}
}
pen_Dash.Dispose( );
pen_Line.Dispose( );
pen_Fourier.Dispose( );
Font_Normal.Dispose( );
sf_right.Dispose( );
sf_center.Dispose( );
g.Dispose( );
return bitmap;
}
/// <summary>
/// 快速傅立叶变换
/// </summary>
/// <param name="xreal">实数部分,数组长度最好为2的n次方</param>
/// <param name="ximag">虚数部分,数组长度最好为2的n次方</param>
/// <returns>变换后的数组值</returns>
public static double[] FFT( double[] xreal, double[] ximag )
{
//n值为2的N次方
int n = 2;
while (n <= xreal.Length)
{
n *= 2;
}
n /= 2;
// 快速傅立叶变换,将复数 x 变换后仍保存在 x 中,xreal, ximag 分别是 x 的实部和虚部
double[] wreal = new double[n / 2];
double[] wimag = new double[n / 2];
double treal, timag, ureal, uimag, arg;
int m, k, j, t, index1, index2;
bitrp( xreal, ximag, n );
// 计算 1 的前 n / 2 个 n 次方根的共轭复数 W'j = wreal [j] + i * wimag [j] , j = 0, 1, ... , n / 2 - 1
arg = (-2 * Math.PI / n);
treal = Math.Cos( arg );
timag = Math.Sin( arg );
wreal[0] = 1.0f;
wimag[0] = 0.0f;
for (j = 1; j < n / 2; j++)
{
wreal[j] = wreal[j - 1] * treal - wimag[j - 1] * timag;
wimag[j] = wreal[j - 1] * timag + wimag[j - 1] * treal;
}
for (m = 2; m <= n; m *= 2)
{
for (k = 0; k < n; k += m)
{
for (j = 0; j < m / 2; j++)
{
index1 = k + j;
index2 = index1 + m / 2;
t = n * j / m; // 旋转因子 w 的实部在 wreal [] 中的下标为 t
treal = wreal[t] * xreal[index2] - wimag[t] * ximag[index2];
timag = wreal[t] * ximag[index2] + wimag[t] * xreal[index2];
ureal = xreal[index1];
uimag = ximag[index1];
xreal[index1] = ureal + treal;
ximag[index1] = uimag + timag;
xreal[index2] = ureal - treal;
ximag[index2] = uimag - timag;
}
}
}
double[] result = new double[n];
for (int i = 0; i < result.Length; i++)
{
result[i] = Math.Sqrt( Math.Pow( xreal[i], 2 ) + Math.Pow( ximag[i], 2 ) );
}
return result;
}
/// <summary>
/// 快速傅立叶变换的逆变换
/// </summary>
/// <param name="xreal">实数部分,数组长度最好为2的n次方</param>
/// <param name="ximag">虚数部分,数组长度最好为2的n次方</param>
/// <returns>2的多少次方</returns>
public static int IFFT( double[] xreal, double[] ximag )
{
//n值为2的N次方
int n = 2;
while (n <= xreal.Length)
{
n *= 2;
}
n /= 2;
// 快速傅立叶逆变换
double[] wreal = new double[n / 2];
double[] wimag = new double[n / 2];
double treal, timag, ureal, uimag, arg;
int m, k, j, t, index1, index2;
bitrp( xreal, ximag, n );
// 计算 1 的前 n / 2 个 n 次方根 Wj = wreal [j] + i * wimag [j] , j = 0, 1, ... , n / 2 - 1
arg = (2 * Math.PI / n);
treal = (Math.Cos( arg ));
timag = (Math.Sin( arg ));
wreal[0] = 1.0f;
wimag[0] = 0.0f;
for (j = 1; j < n / 2; j++)
{
wreal[j] = wreal[j - 1] * treal - wimag[j - 1] * timag;
wimag[j] = wreal[j - 1] * timag + wimag[j - 1] * treal;
}
for (m = 2; m <= n; m *= 2)
{
for (k = 0; k < n; k += m)
{
for (j = 0; j < m / 2; j++)
{
index1 = k + j;
index2 = index1 + m / 2;
t = n * j / m; // 旋转因子 w 的实部在 wreal [] 中的下标为 t
treal = wreal[t] * xreal[index2] - wimag[t] * ximag[index2];
timag = wreal[t] * ximag[index2] + wimag[t] * xreal[index2];
ureal = xreal[index1];
uimag = ximag[index1];
xreal[index1] = ureal + treal;
ximag[index1] = uimag + timag;
xreal[index2] = ureal - treal;
ximag[index2] = uimag - timag;
}
}
}
for (j = 0; j < n; j++)
{
xreal[j] /= n;
ximag[j] /= n;
}
return n;
}
}
}
窗体FormFFT设计器如下:

窗体FormFFT设计器程序如下:
FormFFT.Designer.cs文件
cs
namespace FastFourierTransformDemo
{
partial class FormFFT
{
/// <summary>
/// 必需的设计器变量。
/// </summary>
private System.ComponentModel.IContainer components = null;
/// <summary>
/// 清理所有正在使用的资源。
/// </summary>
/// <param name="disposing">如果应释放托管资源,为 true;否则为 false。</param>
protected override void Dispose(bool disposing)
{
if (disposing && (components != null))
{
components.Dispose();
}
base.Dispose(disposing);
}
#region Windows 窗体设计器生成的代码
/// <summary>
/// 设计器支持所需的方法 - 不要修改
/// 使用代码编辑器修改此方法的内容。
/// </summary>
private void InitializeComponent()
{
this.btnTest = new System.Windows.Forms.Button();
this.rtxtDisplay = new System.Windows.Forms.RichTextBox();
this.SuspendLayout();
//
// btnTest
//
this.btnTest.Location = new System.Drawing.Point(220, 24);
this.btnTest.Name = "btnTest";
this.btnTest.Size = new System.Drawing.Size(107, 39);
this.btnTest.TabIndex = 0;
this.btnTest.Text = "傅里叶变换测试";
this.btnTest.UseVisualStyleBackColor = true;
this.btnTest.Click += new System.EventHandler(this.btnTest_Click);
//
// rtxtDisplay
//
this.rtxtDisplay.Location = new System.Drawing.Point(27, 88);
this.rtxtDisplay.Name = "rtxtDisplay";
this.rtxtDisplay.ReadOnly = true;
this.rtxtDisplay.Size = new System.Drawing.Size(897, 570);
this.rtxtDisplay.TabIndex = 1;
this.rtxtDisplay.Text = "";
//
// FormFFT
//
this.AutoScaleDimensions = new System.Drawing.SizeF(6F, 12F);
this.AutoScaleMode = System.Windows.Forms.AutoScaleMode.Font;
this.ClientSize = new System.Drawing.Size(962, 688);
this.Controls.Add(this.rtxtDisplay);
this.Controls.Add(this.btnTest);
this.Name = "FormFFT";
this.Text = "FFT【Fast Fourier Transform】快速傅里叶变换-斯内科";
this.ResumeLayout(false);
}
#endregion
private System.Windows.Forms.Button btnTest;
private System.Windows.Forms.RichTextBox rtxtDisplay;
}
}
窗体FormFFT测试程序如下
文件FormFFT.cs
cs
using System;
using System.Collections.Generic;
using System.ComponentModel;
using System.Data;
using System.Drawing;
using System.Linq;
using System.Text;
using System.Threading.Tasks;
using System.Windows.Forms;
namespace FastFourierTransformDemo
{
public partial class FormFFT : Form
{
public FormFFT()
{
InitializeComponent();
}
/// <summary>
/// 显示消息
/// </summary>
/// <param name="addContent"></param>
private void DisplayContent(string addContent)
{
if (!IsHandleCreated)
{
return;
}
this.BeginInvoke(new MethodInvoker(delegate ()
{
if (this.rtxtDisplay.TextLength >= 10240)
{
this.rtxtDisplay.Clear();
}
this.rtxtDisplay.AppendText($"{DateTime.Now.ToString("yyyy-MM-dd HH:mm:ss.fff")}->{addContent}\n");
this.rtxtDisplay.ScrollToCaret();
}));
}
private void btnTest_Click(object sender, EventArgs e)
{
DisplayContent($"------演示使用FFTHelper类进行FFT转换,复数数组的长度最好是2的N次方------");
double[] realData = new double[] { 1, 2, 3, 4, 5, 6, 7, 8 };//实数部分
double[] imagData = new double[realData.Length]; // 虚数部分通常初始化为0或根据需要设置。
double[] fftData = FFTHelper.FFT(realData, imagData);
DisplayContent($"长度:【{fftData.Length}】.\n快速傅里叶变换后的数据为【{string.Join(",\n", fftData)}】.");
int number = FFTHelper.IFFT(fftData, new double[fftData.Length]);
DisplayContent($"快速傅里叶的逆变换长度:【{number}】.\n逆变换后的数据为【{string.Join(",\n", fftData)}】");
DisplayContent($"------演示复数数组的FFT转换,复数数组的长度最好是2的N次方------");
//定义一个复数数组,数组的长度最好是2的N次方
System.Numerics.Complex[] samples = new System.Numerics.Complex[8]
{
new System.Numerics.Complex(1, 0),
new System.Numerics.Complex(2, 0),
new System.Numerics.Complex(3, 0),
new System.Numerics.Complex(4, 0),
new System.Numerics.Complex(5, 0),
new System.Numerics.Complex(6, 0),
new System.Numerics.Complex(7, 0),
new System.Numerics.Complex(8, 0),
};
// 正向傅里叶变换 FFT(原地变换,结果覆盖原数组)
MathNet.Numerics.IntegralTransforms.Fourier.Forward(samples, MathNet.Numerics.IntegralTransforms.FourierOptions.Default);
DisplayContent($"长度:【{samples.Length}】.\n正向傅里叶变换后的数据为【{string.Join(",\n", samples)}】.");
// 逆变换
MathNet.Numerics.IntegralTransforms.Fourier.Inverse(samples, MathNet.Numerics.IntegralTransforms.FourierOptions.Default);
DisplayContent($"长度:【{samples.Length}】.\n逆傅里叶变换后的数据为【{string.Join(",\n", samples)}】.");
DisplayContent($"------演示实数信号的 FFT(推荐用于音频、传感器等)注意padded数组的长度为初始数组长度+2------");
//实数信号的 FFT(推荐用于音频、传感器等)
double[] realSamples = { 1.0, 2.0, 3.0, 4.0, 5, 6, 7, 8 };
// 调整长度以满足 ForwardReal 要求(假设长度为偶数)
int n = realSamples.Length;
double[] padded = new double[n + 2];
Array.Copy(realSamples, padded, n);
// 直接处理实数数组,内部自动优化
MathNet.Numerics.IntegralTransforms.Fourier.ForwardReal(padded, realSamples.Length);
// 提取结果(前 n/2 + 1 个有效频点)
for (int i = 0; i <= n / 2; i++)
{
System.Numerics.Complex c = new System.Numerics.Complex(padded[2 * i], padded[2 * i + 1]);
DisplayContent($" 提取结果-Frequency bin {i}: {c}");
}
DisplayContent($"ForwardReal长度:【{padded.Length}】.\n正向傅里叶变换后的数据为【{string.Join(",\n", padded)}】.");
// 逆变换
MathNet.Numerics.IntegralTransforms.Fourier.InverseReal(padded, realSamples.Length);
DisplayContent($"InverseReal长度:【{padded.Length}】.\n逆傅里叶变换后的数据为【{string.Join(",\n", padded)}】.");
}
}
}
运行如图:
