♻️ 资源
大小: 7.64MB
➡️ 资源下载: https://download.csdn.net/download/s1t16/87425293
一、 常用图像处理算法简介
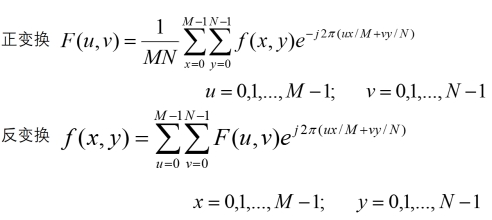
- 二维离散傅立叶变换

-
二维离散小波变换

-
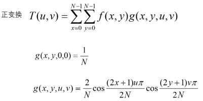
二维离散余弦变换


二、 峰值信噪比简介
PSNR (Peak Signal to Noise Ratio) 峰值信噪比PSNR衡量图像失真或是噪声水平的客观标准。2个图像之间PSNR值越大,则越相似。普遍基准为30dB,30dB以下的图像劣化较为明显。定义为,

这里MAX表示图像颜色的最大数值,8bit图像取值为255。我们还要介绍MSE(均方差),即m×n单色图像 I 和 K(原图像与处理图像)之间均方误差,定义为:

三、 代码实现与解释
三种变换及峰值信噪比均使用MATLAB实现。
- 傅立叶变换
利用fft2()函数进行傅里叶变换,利用fftshift()函数调整fft2()函数的输出顺序,将零频位置移到频谱的中心。

- 一级小波分解
利用dwt2()函数进行一级小波分解。

- 二级小波分解
利用dwt2()函数进行一级小波分解后,

对ca1再次分解,得到二级小波分解。
- 离散余弦变换
利用dct2()函数进行离散余弦变换。

- 峰值信噪比

先自定义一个psnr()函数。

然后调用测试两幅图像的相似程度。
四、 实验结果
- 傅里叶变换



图(a)为lena的二值图像,对其做傅里叶变换得到图(b)幅度谱,以及图(c)立体分布。
- 一级小波分解

对lena的灰度图像进行小波分解,再伪彩色处理,共四部分:近似部分、水平方向细节部分,垂直方向细节部分和对角线方向细节部分。
- 二级小波分解

对一级小波分解的近似部分再进行小波分解,可得到二级小波分解。
- 离散余弦变换



图(a)为lena的二值图像,对其做离散余弦变换得到图(b)幅度谱,以及图(c)立体分布。
- 峰值信噪比



左图为原图,右图为改变图像,中间为计算的峰值信噪比,其中,上面的是彩色的,下面的是灰度的。
五、 参考文献
1\] PentatonicScale,图像处理PSNR及其计算(OpenCV和matlab实现),[http://blog.csdn.net/laoxuan2011/article/details/51519062](http://blog.csdn.net/laoxuan2011/article/details/51519062 "http://blog.csdn.net/laoxuan2011/article/details/51519062").