第二章 信号与槽
1. 信号与槽概述
在 Qt 中,用户和控件的每次交互过程称为一个事件。比如 "用户点击按钮" 是一个事件,"用户关闭窗口" 也是一个事件。每个事件都会发出一个信号,例如用户点击按钮会发出 "按钮被点击" 的信号,用户关闭窗口会发出 "窗口被关闭" 的信号。
Qt 中的所有控件都具有接收信号的能力,一个控件还可以接收多个不同的信号。对于接收到的每个信号,控件都会做出相应的响应动作。例如,按钮所在的窗口接收到 "按钮被点击" 的信号后,会做出 "关闭自己" 的响应动作;再比如输入框自己接收到 "输入框被点击" 的信号后,会做出 "显示闪烁的光标,等待用户输入数据" 的响应动作。在 Qt 中,对信号做出的响应动作就称之为槽。
信号和槽是 Qt 特有的消息传输机制,它能将相互独立的控件关联起来。比如,"按钮" 和 "窗口"本身是两个独立的控件,点击 "按钮" 并不会对 "窗口" 造成任何影响。通过信号和槽机制,可以将 "按钮" 和 "窗口" 关联起来,实现 "点击按钮会使窗口关闭" 的效果。

信号的本质
信号是由于用户对窗口或控件进行了某些操作,导致窗口或控件产生了某个特定事件,这时 Qt 对应的窗口类会发出某个信号,以此对用户的操作做出反应。因此,信号的本质就是事件。如:
- 按钮单击、双击
- 窗口刷新
- 鼠标移动、按下、释放
- 键盘输入
那么在 Qt 中信号是通过什么形式呈现给使用者的呢?
- 我们对哪个窗口进行操作, 哪个窗口就可以捕捉到这些被触发的事件。
- 对于使用者来说触发了一个事件我们就可以得到 Qt 框架给我们发出的某个特定信号。
- 信号的呈现形式就是函数, 也就是说某个事件产生了, Qt 框架就会调用某个对应的信号函数, 通知使用者。
在 Qt 中信号的发出者是某个实例化的类对象。
槽的本质
**槽(Slot)就是对信号响应的函数。**槽就是一个函数,与一般的 C++ 函数是一样的,可以定义在类的任何位置( public、protected 或 private ),可以具有任何参数,可以被重载,也可以被直接调用(但是不能有默认参数)。槽函数与一般的函数不同的是:槽函数可以与一个信号关联,当信号被发射时,关联的槽函数被自动执行。
说明:
- 信号和槽机制底层是通过函数间的相互调用实现的。每个信号都可以用函数来表示,称为信号函数;每个槽也可以用函数表示,称为槽函数。例如: "按钮被按下" 这个信号可以用 clicked() 函数表示,"窗口关闭" 这个槽可以用 close() 函数表示,假如使用信号和槽机制-实现:"点击按钮会关闭窗口" 的功能,其实就是 clicked() 函数调用 close() 函数的效果。
- 信号函数和槽函数通常位于某个类中,和普通的成员函数相比,它们的特别之处在于:
- 信号函数用 signals 关键字修饰,槽函数用 public slots、protected slots 或者 private slots 修饰。signals 和 slots 是 Qt 在 C++ 的基础上扩展的关键字,专门用来指明信号函数和槽函数;
- 信号函数只需要声明,不需要定义(实现),而槽函数需要定义(实现)。
信号函数的定义是 Qt 自动在编译程序之前生成的,编写者无需关注。这种自动生成代码的机制称为元编程 (Meta Programming)。这种操作在很多场景中都能见到。
2. 信号和槽的使用
2.1 连接信号和槽
在 Qt 中,QObject 类提供了一个静态成员函数 connect() ,该函数专门用来关联指定的信号函数和槽函数。
关于QObject
QObject 是 Qt 内置的父类,Qt 中提供的很多类都是直接或者间接继承自 QObject。
这一点的设定与 Java 非常类似。
connect() 函数原型:
connect (const QObject *sender,
const char * signal ,
const QObject * receiver ,
const char * method ,
Qt::ConnectionType type = Qt::AutoConnection )
参数说明:
- sender:信号的发送者
- signal:发送到信号
- receiver:信号的接收者
- method:接收信号的槽函数
- type:指定关联方式,默认的关联方式为 Qt::AutoConnection,通常不需要手动设定。
代码示例:在窗口中设置一个按钮,当点击按钮时关闭窗口。

2.2 查看内置信号和槽
系统自带的信号和槽通常是通过 "Qt 帮助文档" 来查询。
要查询 "按钮" 的信号,在帮助文档中输入:QPushButton

在contents(目录)中寻找signals,如果像这里一样没有找到,就去他的父类里找



这里的 clicked() 就是要找的信号。槽函数的寻找方式和信号一样,只不过它的关键字是 slot 。
2.3 通过 Qt Creator 生成信号槽代码
Qt Creator 可以快速帮助我们生成信号槽相关的代码。
代码示例: 在窗口中设置一个按钮,当点击 "按钮" 时关闭 "窗口"。
-
新建项目
-
双击进入 widget.ui 文件,进入 UI 设计界面
-
在 UI 设计窗口中拖入一个 "按钮" ,并且修改 "按钮" 的名称及字体大小等

-
可视化生成槽函数

当单击 "转到槽..." 之后,出现如下界面:对于按钮来说,当点击时发送的信号是:clicked(),所以此处选择:clicked()

对于普通按钮来说使用 clicked 信号即可,clicked(bool) 没有意义的,具有特殊状态的按钮(比如复选按钮)才会用到 clicked(bool) 。
-
自动生成槽函数原型框架
-
在 "widget.h" 头文件中自动添加槽函数的声明

- 说明:自动生成的槽函数有一定的命名规则。槽函数的命名规则为:on_对象名(控件的objectName属性)_信号,上面的on_pushButton_clicked()表示的pushButton对象的clicked触发的槽函数。
- 按照这种命名风格定义的槽函数,就会被 Qt 自动的和对应的信号进行连接。
- 但是我们日常写代码的时候, 除非是 IDE 自动生成,否则最好还是不要依赖命名规则,而是显式使用 connect 更好。一方面可以更清晰直观的描述信号和槽的连接关系,另一方面也防止信号或槽的名字拼写错误(当然还是根据实际的开发环境的规则进行考虑)。
-
在 "widget.cpp" 中自动生成槽函数定义。

-
-
在槽函数函数定义中添加要实现的功能,实现关闭窗口的效果。

3. 自定义信号和槽
3.1 基本语法
在 Qt 中,允许自定义信号的发送方以及接收方,即可以自定义信号函数和槽函数。但是对于自定义的信号函数和槽函数有一定的书写规范。
-
自定义信号函数书写规范
- 自定义信号函数必须写到 "signals" 下
- 返回值为 void,只需要声明,不需要实现
- 可以有参数,也可以发生重载
-
自定义槽函数书写规范
- 早期的 Qt 版本要求槽函数必须写到 "public slots" 下,但是现在高级版本的 Qt 允许写到类的 "public" 作用域中或者全局下
- 返回值为 void,需要声明,也需要实现
- 可以有参数,可以发生重载
-
发送信号
使用 "emit" 关键字发送信号 。"emit" 是一个空的宏。"emit" 其实是可选的,没有什么含义,只是为了提醒开发人员。
示例1:
-
在 widget.h 中声明自定义的信号和槽,如图所示

-
在 widget.cpp 中实现槽函数,并且关联信号和槽(注意,必须先绑定,再发射信号,槽才会响应)

示例2:当老师说 "上课了",学生们就 "回到座位,开始学习"。
-
在源文件中新建两个类,一个是老师类,一个是学生类;首先选中项目名称,鼠标右键 -> "addnew..."

点击 "add new..." 之后,出现如下界面

选择 "choose" 出现如下界面,这里需要选择新建类的父类,但是当前项目中没有合适的父类,同时新的类也不是一个"窗口"或者"控件",这种情况一般选择 QObject 作为基类,这样做的好处是这个新类的对象可以搭配 Qt 的对象树机制,便于对象的正确释放。

选择"下一步",出现如下界面,点击完成即可

对于 "学生类" 以上述同样的方式进行添加,添加完成之后,项目 录新增文件如下:

-
在 teacher.h 中声明信号函数:

-
在 student.h 中声明槽函数:

-
在 widget.h 中实例化 "老师类对象" 和 "学生类对象":

-
在 student.cpp 中实现槽函数:

-
在 widget.cpp 中连接自定义信号和槽,并发送信号。

-
运行结果如下:

示例3:老师点击 "按钮" 触发学生上课。

运行结果如下图:

3.2 带参数的信号和槽
Qt 的信号和槽也支持带有参数,同时也可以支持重载。
此处我们要求,信号函数的参数列表要和对应连接的槽函数参数列表一致。
此时信号触发,调用到槽函数的时候,信号函数中的实参就能够被传递到槽函数的形参当中。
示例1:重载信号槽
-
在 "widget.h" 头文件中声明重载的信号函数以及重载的槽函数

-
在 "Widget.cpp" 文件实现重载槽函数以及连接信号和槽(在指针前一定要指明函数指针的作用域)

-
执行结果如下

示例2:信号参数列表匹配规则
-
在 "widget.h" 头文件中声明信号和槽函数

-
在 "widget.cpp" 文件中实现槽函数以及连接信号和槽

实际上信号的参数个数可以多于槽函数的参数个数,但是槽的参数个数不能多于信号参数个数,但是实际开发中最好还是保持参数个数也能匹配一致。
示例3:信号参数比槽函数参数多
-
在 "widget.h" 头文件中声明信号和槽函数

-
在 "widget.cpp" 文件中实现槽函数以及连接信号和槽

4. 信号与槽的连接方式
4.1 一对一
主要有两种形式,分别是:一个信号连接一个槽 和 一个信号连接一个信号。
-
一个信号连接一个槽

-
在 "widget.h" 中声明信号和槽以及信号发射函数

-
在 "widget.cpp" 中实现槽函数,信号发射函数以及连接信号和槽

-
-
一个信号连接另一个信号

-
在上述示例的基础上,在 "widget.cpp" 文件中添加如下代码

-
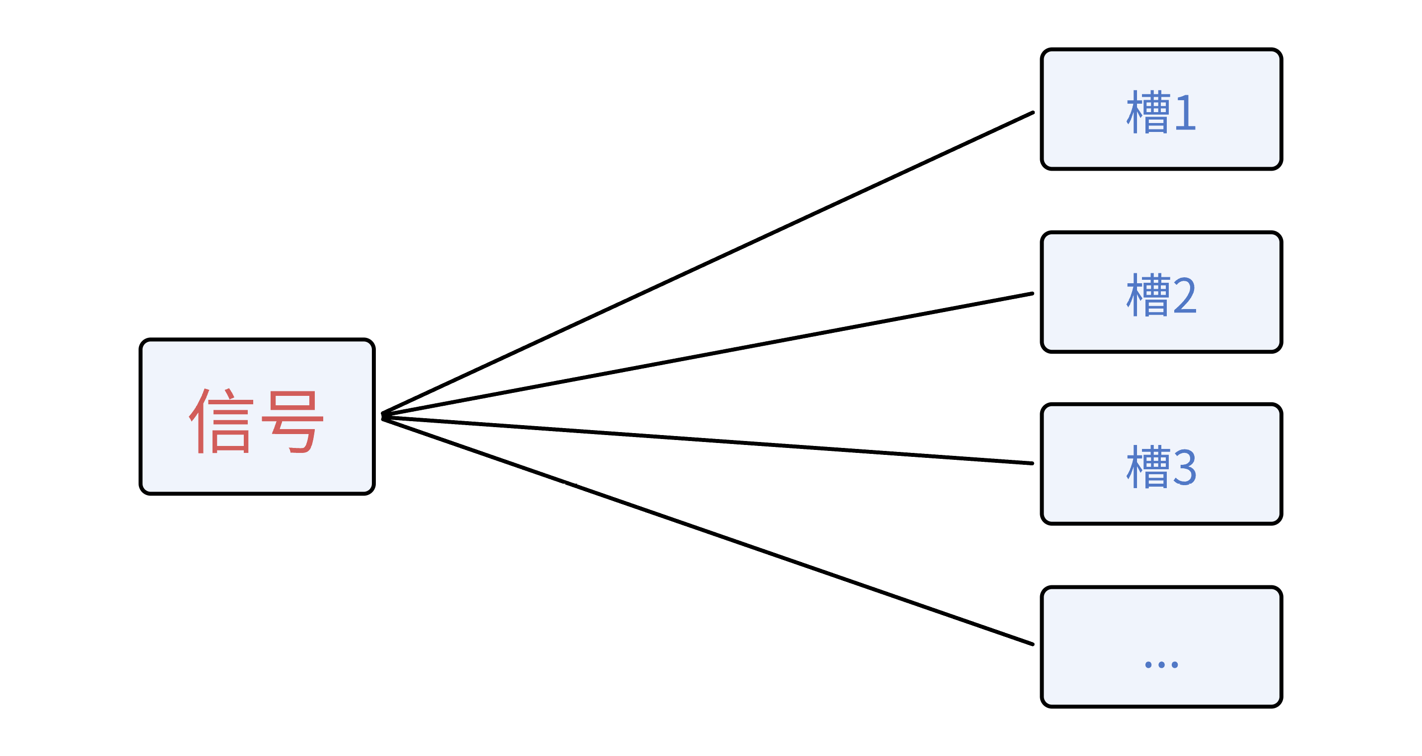
4.2 一对多
一个信号连接多个槽。

示例:
-
在 "widget.h" 头文件中声明一个信号和三个槽

-
在 "widget.cpp" 文件中实现槽函数以及连接信号和槽

4.3 多对一
多个信号连接一个槽函数。

示例:
-
在 "widget.h" 头文件中声明两个信号以及一个槽

-
在 "widget.cpp" 文件中实现槽函数以及连接信号和槽

5. 信号和槽的其他说明
5.1 信号和槽的断开
使用 disconnect 即可完成断开。
disconnect 的用法和 connect 基本一致。
示例:

5.2 Qt4 版本信号与槽的连接
Qt4 中的 connect 用法和 Qt5 相比是更复杂的,需要搭配 SIGNAL 和 SLOT 宏来完成。
而且缺少必要的函数类型的检查,使代码更容易出错。
示例:
-
在 "widget.h" 头文件中声明信号和槽

-
在 "widget.cpp" 文件中实现槽函数以及连接信号与槽

Qt4 版本信号与槽连接的优缺点:
- 优点:参数直观
- 缺点:参数类型不做检测
示例:

5.3 使用 Lambda 表达式定义槽函数
Qt5 在 Qt4 的基础上提高了信号与槽的灵活性,允许使用任意函数作为槽函数。
但如果想方便的编写槽函数,比如在编写函数时连函数名都不想定义,则可以通过 Lambda表达式 来达到这个目的。
Lambda表达式的使用方法可以参考之前的文章:010-C++11-CSDN博客
说明:
- 由于使用引用方式捕获对象会有局部变量释放了而Lambda函数还没有被调用的情况。如果执行Lambda函数,那么引用传递方式捕获进来的局部变量的值不可预知。所以绝大多数场合使用的形式为: [=] () { }。
- 早期版本的 Qt,若要使用Lambda表达式,要在 ".pro" 文件中添加: CONFIG += C++11因为 Lambda表达式 是 C++11 标准提出的。Qt5 以上的版本无需手动添加,在新建项目时会自动添加。

示例1:点击按钮关闭窗口,槽函数使用 Lambda 表达式实现。

示例2:当 "connect" 函数第三个参数为 "this" 时,第四个参数使用 Lambda表达式时,可以省略掉"this"。

5.4 信号与槽的优缺点
优点:松散耦合
信号发送者不需要知道发出的信号被哪个对象的槽函数接收,槽函数也不需要知道哪些信号关联了自己,Qt的信号槽机制保证了信号与槽函数的调用。支持信号槽机制的类或者父类必须继承于 QObject 类。
缺点:效率较低
与回调函数相比,信号和槽稍微慢一些,因为它们提供了更高的灵活性,尽管在实际应用程序中差别不大。通过信号调用的槽函数比直接调用的速度慢约10倍(这是定位信号的接收对象所需的开销;遍历所有关联;编组/解组传递的参数;多线程时,信号可能需要排队),这种调用速度对性能要求不是非常高的场景是可以忽略的,是可以满足绝大部分场景。
- 一个客户端程序中, 最慢的环节往往是 "人"。
- 假设本身基于回调的方式是 10us,使用信号槽的方式是 100us。对于使用程序的人来说,是感知不到的。