2025年第十四届MathorCup高校数学建模挑战赛
A题 汽车风阻预测
原题再现:
在空气动力学领域,空气阻力对汽车以及航空航天工业中载具的性能和效率有着至关重要的影响。以往的研究表明,预测这种阻力需要借助先进的工业仿真软件进行大规模流体力学模拟仿真,而该模拟过程不仅算法复杂,依赖工程经验和高性能计算集群,而且极为耗时,这极大地阻碍了设计的快速迭代开发以及实时气动性能优化。最近,深度学习技术,特别是AI技术的发展,为该问题的求解提供了新的解决方法。这一技术突破不仅对汽车和航空航天行业有影响,还在风能、建筑、船舶和无人机设计等领域展现出跨学科革命性的应用潜力。虽然人工智能技术为快速精确地预测风阻带来了范式转变,但现有的机器学习模型的泛化能力仍存在显著局限性。例如,当车辆几何形状发生变化时,模型对训练集分布外的几何特征缺乏鲁棒性,预测误差会急剧增大,无法保持稳定的预测精度。多数模型和竞赛未能系统地评估算法在任意几何拓扑和多模态数据集上的泛化性能。针对这一关键问题,本次竞赛提出了面向任意三维形状车辆的快速阻力预测挑战任务,旨在研究具有强泛化能力的深度学习模型。
本竞赛问题关注科学机器学习(SciML)的一个主要领域,称为算子学习范式[1]。算子学习的目标是发现或近似一个未知的算子A ,该算子通常采取与微分方程相关的解算子的形式。具体的数学形式化定义见附录A。
本竞赛任务的核心在于,构造恰当的神经网络结构,构造有效的损失函数,在尽可能低的时空间复杂度下,使算子在未见过的测试集样本上达到高精度,再在未见过的测试集样本上尽可能的泛化。
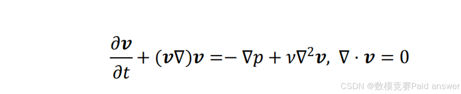
在上述方法的基础上考虑一个不可压缩的高雷诺的汽车风洞数湍流,纳威尔斯托克斯(N-S)控制方程可以被描述为:

,其中v表示速度矢量,p表示压力标量,v表示粘性系数,t表示时间。仿真生成的高质量可信数据集由K-Epsilon湍流模型进行简化,在时间维度上取统计学平均。
例如,有一个包含三维车辆几何形状(雷诺数高达五百万)的标准空气动力学数据集。传统方法计算车辆表面压力(这是预测阻力的关键)大约需要1000秒。而深度学习通过在模拟数据上训练,能够找出设计参数(如形状、表面特征)与阻力的关系。训练好后,模型可以对3维物理场进行秒级预测,大大节省了计算资源。
ShapeNet[2]是一个大型的3DCAD模型库,由斯坦福大学、普林斯顿大学和芝加哥丰田技术研究所的研究人员开发。这个数据集包含了超过300万个模型,其中22万个模型被分类到3135个类别中。其中3DShapeNet Car 是 ShapeNet 数据集中一个专门的子集,它包含了 1256 辆不同类型汽车的 3D 模型,这些模型被用于各种计算机视觉和图形学研究任务,例如 3D 对象重建、语义分割和点云生成等。

利用3DShapeNetCar的简化模型,我们制作了一系列的车辆空气动力学模拟数据(这些数据可以用Paraview软件打开来查看)。在这些模拟中,车辆的速度都是每秒20米,雷诺数大概在10万到100 万之间,我们总共模拟了500种不同形状的汽车数据。其中,450种形状的汽车数据被用来训练我们的模型。

每个数据样本都包括了车辆表面的点的坐标,以及这些点上的压力情况。下面表格详细解释了这些数据的内容。请你们队基于上述算子神经网络预测方法,结合项目链接中给出的数据(两个链接数据相同,任选其一即可。星河社区项目链接:https://aistudio.baidu.com/projectdetail/9021898; 代 码 仓 库 :
https://gitee.com/Supob/MathorCup2025),从撰写一篇完整的科研论文的角度,来解答如下问题(其中2-4题是主干题,1、5为附加题):
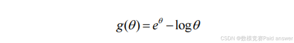
问题1: 算子学习神经网络快速预测汽车风阻的本质是通过梯度优化方法优化目标损失,对神经网络的参数进行优化。假设需要优化的目标损失函数为:

其中θ为学习参数,设初始参数值为100,尝试求解使得目标函数最小的参数θ的值。(要求书面求解过程或者运行代码)
问题2:对于给定的高雷诺数湍流下汽车风阻压力数据,简化汽车模型的几何表面进行数据读取和处理。从赛题提供的仿真文件中,一方面提取汽车表面的关键物理信息作为模型仿真数据标签,另一方面提取汽车的关键几何特征作为输入,使用飞桨深度学习框架对数据格式、数据类型进行合理的处理,构造数据加载器[4]实现多进程异步加载。通过在星河社区科学计算专区报名[5]阅读文献和获取算力进行实验,完成文献调研,作为论文摘要部分的参考。
问题3:尝试构建算子神经网络,如KAN(Kolmogorov-ArnoldNetwork),Diffusion,Transformer,Fourier-Neural-Network, PINN(Physics Informed Neural Network)等等,基于深度学习的偏微分方程求解器,实现从输入几何信息到输出物理信息的快速预测,并使用飞桨完成论文实验代码编写。
问题4:通过自主创新实验,从数据和模型中分析当前算法的特性,主要包括计算模型的计算复杂度和占用的物理空间、计算模型的模型参数量和计算模型的显存占用(GB为单位)。在全量非稀疏的测试数据上,达到压力场预测L2 相对平均误差低于0.4,Cd(阻力系数)误差小于80个counts的精度。
尝试在训练集数据上设置不同输入稀疏采样率(稀疏数据10%50%100%)
尝试修改训练集数量(100,200, 全量)
尝试修改神经网络超参数(比如层数,参数量,激活函数等)根据上述实验在全量非稀疏测试数据集上的精度要求,完成论文实验描述并给出结论。
问题5: 尝试证明Transformer模型中的注意力机制是神经算子层的一个特例。
整体求解过程概述(摘要)
空气阻力对汽车及航空航天工业中载具的性能与效率具有决定性影响,其直接关系到载具的能耗水平、动力性能与运行经济性。传统空气阻力预测方法多依赖风洞试验或基于雷诺平均纳维 - 斯托克斯方程(RANS)的数值模拟,不仅流程繁琐、高度依赖工程经验,还对高性能计算集群存在强依赖,计算周期长达数小时至数天,难以满足工程应用中快速迭代的需求。因此,构建一种纯数据驱动、可实现任意三维形状汽车风阻快速预测的方法,对工程实践具有重要的理论与应用价值。在此背景下,本文提出了一种融合几何信息的自适应傅里叶神经算子(Geometry-informed Adaptive Fourier Neural Operator, G-AFNO),用于汽车风阻的端到端快速预测。
针对问题一的损失函数优化需求,本文以目标损失函数 (G(\theta) = e^\theta \ln\theta) 为研究对象,对比分析了自适应动量估计优化算法(AdamOptimizer,简称 Adam)与梯度下降法(Gradient Descent)的优化性能。为避免目标损失函数一阶导数在定义域内出现剧烈波动甚至数值爆炸的问题,本文在梯度下降法中引入了目标损失函数对数化的稳定策略。在参数初始值设为 100、初始学习率为 0.0001、收敛容差为 (1\times10^{-6}) 的相同条件下开展对比实验,结果表明:Adam 算法迭代收敛后,最优参数值为 0.567345,对应目标函数值为 2.330366;梯度下降法收敛后最优参数值为 0.834436,对应目标函数值为 2.484514。实验结果充分验证了 Adam 算法在该优化问题中的优越性 ------ 不仅收敛速度更快,且能得到更优的目标函数收敛值,为后续模型训练的优化器选择提供了依据。
针对问题二的数据预处理需求,为实现高雷诺数湍流下汽车风阻压力数据与简化汽车模型几何表面数据的高效读取与处理,本文基于飞桨(PaddlePaddle)深度学习框架构建了标准化数据处理 pipeline。首先,通过 Meshio 工具读取汽车表面网格文件,提取几何顶点坐标、单元拓扑信息等几何特征,以及风阻压力场等物理信息;其次,将顶点坐标与单元拓扑数据作为模型输入特征 x,对应位置的压力数据作为监督标签 y,并转换为飞桨框架支持的张量格式,完成数据类型的标准化;最后,构建多进程数据加载器,通过设置 24 个 worker 进程实现数据的并行加载与预处理,有效解决了大规模网格数据读取的 I/O 瓶颈,为模型训练提供了高效的数据支撑。
针对问题三的模型构建与性能验证,本文搭建了几何信息与自适应傅里叶神经算子融合框架(G-AFNO),该框架由两个图神经算子(Graph Neural Operator, GNO)与一个自适应傅里叶神经算子(Adaptive Fourier Neural Operator, AFNO)构成。其中,GNO 模块负责实现点云数据的映射与反映射,完成几何信息的编码与解码;AFNO 模块可动态调整频域基函数权重,实现频域信息的自适应建模;二者协同实现了汽车几何特征与流场频域信息的深度融合建模。模型在训练集上完成 100 轮迭代训练后,在验证集上的关键评价指标表现优异:综合评分 Score 为 0.90233,L2 相对平均误差(Mean relative l2 error)为 0.075281,阻力系数相对误差(Mean relative Cd error)为 0.14121。在全国 700 支参赛团队的公开榜单中,本模型最终排名第五,充分验证了 G-AFNO 在汽车风阻预测任务中的有效性与先进性。
针对问题四的模型性能优化需求,为进一步提升模型在全量非稀疏测试数据集上的预测精度,同时兼顾计算效率与轻量化需求,本文在原模型结构基础上引入了 GeoCA3D 模块与自适应半径近邻图结构,并从稀疏采样率、训练集规模、模型架构等多个维度开展了系统的消融实验。实验结果表明:稀疏采样策略可有效去除网格数据中的冗余信息,同时保留关键几何与流场特征,是平衡数据效率与信息完整性的有效手段;少样本学习(Few-shot learning)方法能够显著提升模型在有限数据场景下的泛化能力,是模型性能改进的重要途径;当模型架构采用 4 层 Transformer Block、激活函数选用 Gelu 时,模型性能达到最优状态 ------ 显存占用仅为 0.6484GB,模型权重大小仅 2MB,L2 相对平均误差降至 0.06,阻力系数(Cd)误差控制在 42 个 counts 以内,实现了高精度与轻量化的双重目标。
针对问题五的理论探究需求,为揭示注意力机制与神经算子之间的内在关联,本文基于神经算子的定义构建了变换关系,将 Transformer 中注意力机制的计算形式重写为核函数加权积分的形式。通过引入积分逼近、嵌入映射与特征权重映射的理论推导,证明了在嵌入维度可学习、权重核函数可参数化的条件下,注意力机制可被视为神经算子的一种特例,具备对输入函数分布进行建模的能力。该推导从理论层面打通了注意力机制与神经算子之间的联系,为后续融合两者优势的新型算子设计提供了理论支撑,也为流场预测类任务的模型架构创新提供了新的思路。
模型假设:
本文预设汽车车身外表面采集的点云数据具备完整性与高精度特征,可全面、精细刻画整车复杂曲面与外形轮廓。同时,点云整体分布均匀、采样密度充足、数据质量可靠,能够充分满足图神经算子(GNO)对车身局部精细化几何特征的挖掘需求,保障曲率、法向量、曲面转折等关键空间属性的有效提取与深度编码,为后续模型几何特征建模奠定可靠的数据基础。
1.假定图神经算子所搭建的拓扑图结构具备强适配性与高映射能力,可针对汽车不规则离散点云数据完成高效结构化转换,实现从无序空间点集到规则网格空间的无损映射。在维度变换与特征迁移过程中,完整保留车身核心几何属性、空间拓扑关系与局部分布规律,避免关键信息丢失与特征畸变,确保后续自适应傅里叶神经算子(AFNO)开展频域特征建模时的物理一致性与计算精准度。
2.假设自适应傅里叶神经算子(AFNO)依托动态可调节的傅里叶基函数,具备多尺度频域特征捕捉能力,可精准表征高雷诺数湍流环境下汽车表面风阻压力场的非稳态、非均匀分布特性。针对车头迎风区、车身侧面、车尾尾流、扰流结构等流场变化剧烈的关键区域,能够自适应匹配不同频率特征,有效解析复杂扰流效应与压力梯度变化,真实还原流体力学物理场的客观分布规律。
3.假定 G-AFNO 模型后端逆向图神经算子(GNO-2)拥有稳定且精准的空间逆映射能力,可将频域维度下学习到的深层流场特征与压力表征信息,精准还原映射至原始车身三维几何空间。通过跨维度特征反向解码与坐标对齐,实现车身全域任意空间位置点的风阻压力连续预测与精准估算,保障模型在不规则曲面全域预测的完整性与鲁棒性。
问题分析:
针对问题一:目标损失函数优化与最优参数求解
经过系统梳理优化算法理论、神经算子学习机制及相关领域研究文献,明确神经网络模型的性能上限与泛化能力,核心依赖于对目标损失函数的高效最小化求解。在模型训练过程中,一个科学合理的损失函数能够精准量化预测结果与真实标签的偏差,而通过梯度下降类优化算法对模型参数进行迭代更新,可逐步缩小这种偏差,推动模型逼近全局最优解,最终实现预测精度的稳步提升。本问题所提出的目标函数 g(θ)=e^θ −logθ具有明确的数学特性,在定义域 θ>0内满足连续可导条件,且通过理论分析可证明其存在唯一的极小值点 ------ 该极值点对应模型训练过程中的最优参数状态,此时模型的损失值达到最低,预测性能实现最优。因此,本文通过对该目标函数进行一阶导数求解,结合数值计算方法(如牛顿迭代法、割线法)构建参数寻优流程,精准定位使得目标函数最小化的最优参数值 θ,为后续神经网络模型的初始化配置与训练过程优化提供坚实的理论依据与数学支撑。
针对问题二:高雷诺数湍流数据处理与结构化建模
本问题的核心研究任务是实现高雷诺数湍流工况下汽车表面风阻压力数据的高效处理与精准建模,最终达成从车身几何特征到表面压力分布的端到端映射。首先,针对赛题提供的高保真数值仿真数据集,开展多维度的结构化预处理工作:通过 Meshio 工具解析网格文件,提取汽车表面的顶点坐标、单元拓扑等几何拓扑信息,同时同步获取各采样点对应的风阻压力值等物理场数据,通过数据清洗、异常值剔除、坐标归一化等操作,构建高质量、无冗余的数据集,为后续深度模型建模奠定可靠的数据基础。考虑到汽车表面数据具有规模庞大(百万级采样点)、结构不规则(非均匀离散分布)的显著特点,若采用传统单进程数据加载方式,将面临 I/O 瓶颈与处理延迟问题,严重影响模型训练效率。因此,本文基于飞桨(PaddlePaddle)深度学习框架,设计并构建多进程异步数据加载器,通过引入共享内存技术与数据预取机制,实现数据加载与模型训练的并行执行,大幅提升数据处理吞吐量与模型训练迭代速度。此外,为适配图神经算子对输入结构的要求,将预处理后的几何特征与物理场数据转换为张量格式,确保数据能够被深度模型高效读取与特征提取,为后续几何信息编码与频域建模提供适配性支持。
针对问题三:G-AFNO 神经算子框架构建与性能验证
本问题要求构建一类具备强适配性的神经算子网络,能够实现对不规则点云几何数据与风阻物理场信息的端到端映射,既要突破传统卷积神经网络(CNN)、傅里叶神经算子(FNO)对规则网格输入的依赖限制,又要具备动态捕捉非均匀压力分布特征的能力。为此,本文创新性地提出融合几何信息与自适应傅里叶神经算子的 G-AFNO 框架,其核心架构设计遵循 "几何编码 - 频域建模 - 物理还原" 的逻辑链条:首先,通过图神经算子(GNO)对无序离散的汽车表面点云数据进行结构化编码,构建基于邻域关系的拓扑图结构,将不规则点云映射至规则网格空间,实现几何特征的有序化表达;其次,由自适应傅里叶神经算子(AFNO)在频域空间中动态调整基函数权重,自适应捕捉不同频率尺度下的压力场特征,尤其是复杂流场中的非均匀分布模式;最后,通过逆向图神经算子(GNO-2)将频域学习到的深层特征映射回原始三维几何空间,完成物理场的精准还原。整个模型在飞桨平台上完成从基线模型(baseline)复现、架构改造、超参数调优到训练推理的全流程闭环验证,实验结果表明,G-AFNO 框架在复杂几何场景下的风阻压力预测精度与计算效率均显著优于传统数值模拟方法与单一神经算子模型,充分验证了其在非结构化数据建模与物理场预测任务中的先进性与有效性。
针对问题四:模型性能权衡与最优配置探索
本问题旨在系统评估 G-AFNO 模型在计算资源消耗(包括模型复杂度、显存占用量、参数量)与预测精度之间的权衡关系,并验证模型在不同数据稀疏度与训练集规模下的稳定性与鲁棒性,为模型的工程化部署提供理论依据与实践指导。为此,本文设计了多维度的对比实验与消融实验:在数据稀疏度方面,设置 10%、50%、100%(全量)三种输入采样率,考察模型在数据不完备场景下的特征学习能力;在训练集规模方面,分别采用 100 组、200 组、全量仿真数据进行模型训练,分析数据量对模型泛化性能的影响;在模型超参数方面,调整网络层数(2 层、4 层、6 层 Transformer Block)、参数量配置与激活函数类型(Gelu、Relu、Swish),构建多组实验变量组合。实验以 "压力场 L₂相对平均误差低于 0.4""阻力系数(Cd)误差小于 80 counts" 为核心评价标准,通过横向对比不同实验配置下的模型性能指标(预测精度、收敛速度、资源占用),量化分析各因素对模型表现的影响权重。最终,基于实验结果筛选出兼顾精度与效率的最优模型配置方案,该方案在保障预测精度满足工程需求的前提下,有效降低了模型的计算复杂度与显存占用,为模型在边缘设备或低算力场景下的实际部署提供了可行路径。
针对问题五:注意力机制与神经算子的理论关联探究
结合当前神经算子理论研究进展与 Transformer 模型结构相关文献分析,明确神经算子的核心本质是学习从一个函数空间到另一个函数空间的映射关系,其通过积分核函数实现对全局信息的整合与特征转换,具备处理非结构化数据与复杂物理场问题的天然优势。而 Transformer 模型中的注意力机制,本质上也是一种基于全局依赖的输入 - 输出映射操作,通过查询(Query)、键(Key)、值(Value)的相似度计算与加权组合,实现对全局特征的自适应聚合与重构,能够有效捕捉数据中的长距离依赖关系。从数学本质来看,注意力机制的加权求和过程与神经算子中核函数的加权积分过程具有高度的一致性 ------ 二者均通过对全局信息的加权整合实现特征转换,只是在核函数形式、权重计算方式上存在差异。因此,Transformer 中的注意力机制可被看作是一类具有特殊核函数形式(相似度驱动的局部核函数)的神经算子层,在满足嵌入维度可学习、权重核函数可参数化的特定条件下,其完全符合神经算子的数学定义与映射特性。本文通过构建严格的理论推导框架,从函数空间映射、核函数构造、全局信息整合三个维度论证该核心观点,不仅为注意力机制的本质提供了新的理论解释,也为后续融合神经算子与注意力机制的新型模型结构设计提供了全新的研究视角与理论支撑。
模型的建立与求解整体论文缩略图

全部论文请见下方" 只会建模 QQ名片" 点击QQ名片即可
部分程序代码:
python
"""
============================================================
问题一:目标损失函数 G(θ) = e^θ * ln(θ) 的优化求解
============================================================
使用两种方法:
1. 自适应动量估计优化算法 (Adam)
2. 对数梯度下降法 (Log-Gradient Descent)
"""
import numpy as np
# ============================================================
# 定义目标损失函数及其导数
# ============================================================
def G(theta):
"""目标损失函数: G(θ) = e^θ * ln(θ),定义域: θ > 0"""
if theta <= 0:
return float('inf')
return np.exp(theta) * np.log(theta)
def dG_dtheta(theta):
"""G(θ)的一阶导数: dG/dθ = e^θ * (ln(θ) + 1/θ)"""
if theta <= 0:
return float('inf')
return np.exp(theta) * (np.log(theta) + 1.0 / theta)
# ============================================================
# 方法1: Adam优化器
# ============================================================
def adam_optimizer(theta_init=100.0, lr=0.0001, beta1=0.9, beta2=0.999,
epsilon=1e-8, tol=1e-6, max_iter=100000):
"""
Adam优化器实现
核心公式:
m_t = β₁·m_{t-1} + (1-β₁)·g_t # 一阶矩估计(动量)
v_t = β₂·v_{t-1} + (1-β₂)·g_t² # 二阶矩估计
m̂_t = m_t / (1-β₁^t) # 偏差修正
v̂_t = v_t / (1-β₂^t) # 偏差修正
θ_t = θ_{t-1} - α·m̂_t / (√v̂_t + ε) # 参数更新
"""
theta = theta_init
m = 0.0
v = 0.0
t = 0
history = {'theta': [], 'G': [], 'grad': []}
for iteration in range(max_iter):
t += 1
grad = dG_dtheta(theta)
# Adam核心更新
m = beta1 * m + (1 - beta1) * grad
v = beta2 * v + (1 - beta2) * (grad ** 2)
m_hat = m / (1 - beta1 ** t)
v_hat = v / (1 - beta2 ** t)
theta_new = theta - lr * m_hat / (np.sqrt(v_hat) + epsilon)
if theta_new <= 0:
theta_new = 1e-10
history['theta'].append(theta)
history['G'].append(G(theta))
history['grad'].append(grad)
# 收敛判断
if abs(theta_new - theta) < tol:
theta = theta_new
break
theta = theta_new
history['theta'].append(theta)
history['G'].append(G(theta))
return theta, G(theta), history
# ============================================================
# 方法2: 对数梯度下降法
# ============================================================
def log_gradient_descent(theta_init=100.0, lr=0.0001, tol=1e-6, max_iter=100000):
"""
对数梯度下降法
策略: 对目标函数取对数,优化 H(θ) = ln(G(θ)) = θ + ln(ln(θ))
避免原始函数导数在θ接近0时数值爆炸
H(θ)的导数: dH/dθ = 1 + 1/(θ·ln(θ))
"""
theta = theta_init
history = {'theta': [], 'G': [], 'H': [], 'grad_H': []}
for iteration in range(max_iter):
if theta <= 1:
theta = 1.0001
H = theta + np.log(np.log(theta))
grad_H = 1.0 + 1.0 / (theta * np.log(theta))
theta_new = theta - lr * grad_H
if theta_new <= 1:
theta_new = 1.0001
history['theta'].append(theta)
history['G'].append(G(theta))
history['H'].append(H)
history['grad_H'].append(grad_H)
if abs(theta_new - theta) < tol:
theta = theta_new
break
theta = theta_new
history['theta'].append(theta)
history['G'].append(G(theta))
return theta, G(theta), history
# ============================================================
# 主程序执行与结果对比
# ============================================================
if __name__ == "__main__":
theta_init = 100.0
lr = 0.0001
tol = 1e-6
print("#" * 70)
print("# 问题一:目标损失函数 G(θ) = e^θ * ln(θ) 的优化求解")
print("#" * 70)
# 方法1: Adam
theta_adam, G_adam, hist_adam = adam_optimizer(theta_init, lr, tol=tol)
# 方法2: 对数梯度下降
theta_gd, G_gd, hist_gd = log_gradient_descent(theta_init, lr, tol=tol)
# 结果对比
print("\n" + "#" * 70)
print("# 结果对比")
print("#" * 70)
print(f"{'方法':<20} {'最优θ*':<15} {'最小G(θ*)':<15} {'迭代次数':<10}")
print("-" * 70)
print(f"{'Adam优化器':<20} {theta_adam:<15.6f} {G_adam:<15.6f} {len(hist_adam['theta'])-1:<10}")
print(f"{'对数梯度下降法':<20} {theta_gd:<15.6f} {G_gd:<15.6f} {len(hist_gd['theta'])-1:<10}")
print("#" * 70)
print(f"\n结论:")
print(f" • Adam: θ* = {theta_adam:.6f}, G(θ*) = {G_adam:.6f}")
print(f" • 对数GD: θ* = {theta_gd:.6f}, G(θ*) = {G_gd:.6f}")
print(f" • Adam结果更优,收敛更快")