目
[2.1. 创建一个新节点](#2.1. 创建一个新节点)
1.常用技巧
1.1.画图
画图可以让一些抽象的文字语言更加形象生动
画图!!!->直观+形象+便于我们理解
例如:
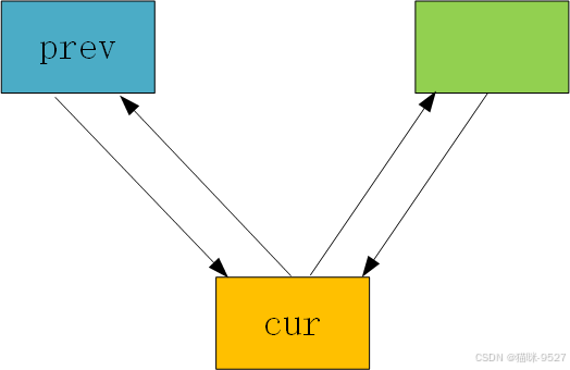
现在有一个结构体
struct s
{
struct s*pprev;
struct s*pnext;
}
他们的的关系如下:
prev->pnext->pnext=cur;
cur->pprev->prev=prev;
cur->pnext=prev;
prev->pprev=cur;
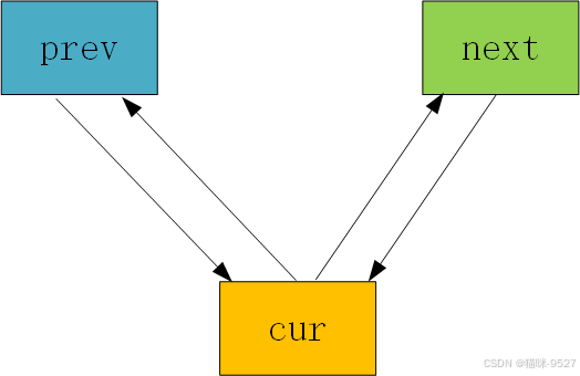
是不是感觉无从下手,但是我们只要转化为图形就能很好的理解: 
1.2.添加虚拟头节点
在链表算法题中很多时候都会给我们传来的头节点为空情况,如果我们没有判断直接对空指针进行解引用,程序可能会直接崩溃:

如果我们能引入一个头节点,则可以避免直接对空指针解引用情况

这个头节点我们也会称作'哨兵位':

1.3.大胆引入中间变量
如果不引入中间变量

prev->pnext->pprev=cur;
cur->pnext=prev->pnext;
prev->pnext=cur;
cur->pprev=prev;

引入中间变量next,代码更加干净整洁
next=prev->pnext;
next->pprev=cur;
cur->pnext=next;
prev->pnext=cur;
cur->pprev=prev;

1.4.快慢双指针
1.4.1判断链表是否有环
- 快指针(fast)一次走两步,慢指针(slow)一次走两步
- 对有环的链表来说,慢指针相当于快指针不动,快指针相对慢指针一次一步
- 对无环的链表来说,快指针会提前走出链表,让循环结束
- 循环条件(fast==slow)有环,(fast->next==nullptr||fast->next->next==nullptr)无环

相遇:
1.4.2找链表中环的入口
- 假设链表共有a+b个元素,从head(头节点)到圆环入口有a个元素,圆环有b个元素
- 在有环基础上,两者相遇,快指针和慢指针分别走了f,s。f=2s(因为快指针是慢指针速度的两倍)
- f=s+nb(fast比slow多走了n个圆环),所以f=2nb,s=nb
- 固定此时相遇位置,slow从头开始再走一遍,slow到fast的位置就是圆环b的长度
- **不固定此时相遇位置,**slow从头出发,fast从相遇位置出发,两者都每次走一步,两者再次相遇的位置即为圆环入口的位置


2.常用操作
2.1. 创建一个新节点
例如:创建一个head的指针
cpp
s*head=new s();
2.2.尾插

cpp
tail->next=cur;
cur=tail;

2.3.头插

cpp
cur->next=head->next;
head->next=cur;


常用于反转链表
cpp
class Solution {
public:
ListNode* reverseList(ListNode* head) {
ListNode* phead=new ListNode();
if(head==nullptr) return nullptr;
phead->next=head;
ListNode*cur=head->next;
head->next=nullptr;
while(cur!=nullptr)
{
ListNode*temp=cur->next;
cur->next=phead->next;
phead->next=cur;
cur=temp;
}
return phead->next;
}
};



