[2.1 套上KeyOfT](#2.1 套上KeyOfT)
[2.2 普通迭代器实现](#2.2 普通迭代器实现)
[2.3 const迭代器实现](#2.3 const迭代器实现)
[2.4 解决key不能修改的问题](#2.4 解决key不能修改的问题)
[2.5 map的[]实现](#2.5 map的[]实现)
[2.6 map/set以及红黑树源码](#2.6 map/set以及红黑树源码)
[2.6.1 RBTree.h](#2.6.1 RBTree.h)
[2.6.2 set.h](#2.6.2 set.h)
[2.6.3 map.h](#2.6.3 map.h)
前言
之前的文章讲解了红黑树的具体实现,本篇文章就用红黑树来封装一个map/set出来,但是大家在实现前一定要保证红黑树不要出现问题,如果红黑树有问题还是要先把红黑树调好再来实现封装。
一、源码结构分析
以下源码来自SGI-STL3.0版本,map和set的源代码在map/set/stl_map.h/stl_set.h/stl_tree.h等⼏个头文件中,下面是截取的一部分核心代码
cpp
// stl_set.h
template <class Key, class Compare = less<Key>, class Alloc = alloc>
class set {
public:
typedef Key key_type;
typedef Key value_type;
private:
typedef rb_tree<key_type, value_type,
identity<value_type>, key_compare, Alloc> rep_type;
rep_type t;
};
// stl_map.h
template <class Key, class T, class Compare = less<Key>, class Alloc = alloc>
class map {
public:
typedef Key key_type;
typedef T mapped_type;
typedef pair<const Key, T> value_type;
private:
typedef rb_tree<key_type, value_type,
select1st<value_type>, key_compare, Alloc> rep_type;
rep_type t;
};
// stl_tree.h
struct __rb_tree_node_base
{
typedef __rb_tree_color_type color_type;
typedef __rb_tree_node_base* base_ptr;
color_type color;
base_ptr parent;
base_ptr left;
base_ptr right;
};
// stl_tree.h
template <class Key, class Value, class KeyOfValue, class Compare, class Alloc = alloc>
class rb_tree {
protected:
typedef void* void_pointer;
typedef __rb_tree_node_base* base_ptr;
typedef __rb_tree_node<Value> rb_tree_node;
typedef simple_alloc<rb_tree_node, Alloc> rb_tree_node_allocator;
typedef __rb_tree_color_type color_type;
public:
typedef Key key_type;
typedef Value value_type;
typedef value_type* pointer;
typedef const value_type* const_pointer;
typedef value_type& reference;
typedef const value_type& const_reference;
typedef rb_tree_node* link_type;
typedef size_t size_type;
typedef ptrdiff_t difference_type;
protected:
size_type node_count; // keeps track of size of tree
link_type header;
Compare key_compare;
};
// stl_tree.h
template <class Value>
struct __rb_tree_node : public __rb_tree_node_base
{
typedef __rb_tree_node<Value>* link_type;
Value value_field;
};

通过上图的分析,可以看到源码中rb_tree用了一个泛型的思想来实现,rb_tree是实现key的搜索场景,还是key/value的搜索场景不是直接写死的,而是第二个模板参数Value决定_rb_tree_node中存储的数据类型。
set实例化rb_tree时第二个模板参数给的是key,map实例化rb_tree时第二个模板参数给的是
pair<const key, T>,这样一颗红黑树既可以实现key搜索场景的set,也可以实现key/value搜索场
景的map。
也就是说对于set来说,Key是Key,Value也是Key,对于map来说,Key是Key,Value是pair,而rb_tree的第二个模版参数Value才是真正存在节点里面的,所以set在节点中存的就是一个Key,map在节点中存的是pair。
那既然rb_tree第二个模板参数Value已经控制了红黑树结点中存储的数据类型,为什么还要传第一个模板参数Key呢?其实是因为在find/erase时的函数参数都是Key,所以第⼀个模板参数是传给find/erase等函数做形参的类型的。
那我们自己的map/set以及红黑树的修改就如下:
cpp
namespace hx
{
template<class K>
class set
{
public:
private:
RBTree<K, K> _t;
};
}
cpp
namespace hx
{
template<class K, class V>
class map
{
public:
private:
RBTree<K, pair<K, V>> _t;
};
}
cpp
enum Color
{
RED,
BLACK
};
template<class T>
struct RBTreeNode
{
T _data;
RBTreeNode* _left;
RBTreeNode* _right;
RBTreeNode* _parent;
Color _col;
RBTreeNode(const T& data)
:_data(data)
, _left(nullptr)
, _right(nullptr)
, _parent(nullptr)
{}
};
template<class K, class T, class KeyOfT>
struct RBTree
{
typedef RBTreeNode<T> Node;
public:
private:
Node* _root = nullptr;
};
二、模拟实现map/set
模拟实现一共分为五步:
1、套上KeyOfT
2、普通迭代器
3、const迭代器
4、解决Key不能修改的问题
5、map的[]实现
2.1 套上KeyOfT
既然已经知道了红黑树的第二个模版参数才是存在节点里的,那先对红黑树以及节点类进行一个修改
cpp
template<class T>
struct RBTreeNode
{
T _data;
RBTreeNode* _left;
RBTreeNode* _right;
RBTreeNode* _parent;
Color _col;
RBTreeNode(const T& data)
:_data(data)
, _left(nullptr)
, _right(nullptr)
, _parent(nullptr)
{}
};
template<class K, class T>
struct RBTree
{
typedef RBTreeNode<T> Node;
public:
bool insert(const T& data)
{
if (_root == nullptr)
{
_root = new Node(data);
_root->_col = BLACK;
return true;
}
Node* cur = _root;
Node* parent = nullptr;
while (cur)
{
// 问题出现了
if (cur->_data < data)
{
parent = cur;
cur = cur->_right;
}
else if (cur->_data > data)
{
parent = cur;
cur = cur->_left;
}
else
{
return false;
}
}
将节点类修改成一个模版参数T,insert的参数也是插入一个key,但是在cur中的_data与形参data比较的时候问题就来了,如果data是key,那么直接比较没问题,但是如果是一个pair呢?库中虽然重载了pair的比较大小,但是库中的比较方式是,first大就大,如果first相等,那second大就大,如果first和second都相等,这两个pair对象才相同。这显然不符合我们的需求,我们要的是如果first相等,那两个pair对象就是相等,那就需要上一个仿函数来自己控制这里的比较逻辑。
但是又没有办法在红黑树中写仿函数,因为对于下层来说,根本就不知道节点中存储的数据类型是什么,那下层不知道,但是上层知道,所以就可以在map和set中定义仿函数,作为模版参数传进来,通过仿函数去取出对象里面的key。
cpp
namespace hx
{
template<class K>
class set
{
struct SetKeyOfT
{
const K& operator()(const K& key)
{
return key;
}
};
public:
private:
RBTree<K, K, SetKeyOfT> _t;
};
}
cpp
namespace hx
{
template<class K, class V>
class map
{
struct MapKeyOfT
{
const K& operator()(const pair<K, V>& kv)
{
return kv.first;
}
};
public:
private:
RBTree<K, pair<K, V>, MapKeyOfT> _t;
};
}
cpp
template<class K, class T, class KeyOfT>
struct RBTree
{
typedef RBTreeNode<T> Node;
public:
bool insert(const T& data)
{
if (_root == nullptr)
{
_root = new Node(data);
_root->_col = BLACK;
return true;
}
// 定义对象
KeyOfT kot;
Node* cur = _root;
Node* parent = nullptr;
while (cur)
{
// 去取里面的key
if (kot(cur->_data) < kot(data))
{
parent = cur;
cur = cur->_right;
}
// 去取里面的key
else if (kot(cur->_data) > kot(data))
{
parent = cur;
cur = cur->_left;
}
else
{
return false;
}
}
cur = new Node(data);
Node* newnode = cur;
if (kot(parent->_data) < kot(data))
{
parent->_right = cur;
}
else
{
parent->_left = cur;
}
// ...
// 还有很多代码,但是在这里只留下需要修改的部分
}
};
这样就完美的解决了问题,用一个模版参数,data中存的是Key,就去把这个Key取出来,存的是pair,就去把这个pair中的Key取出来。map和set的insert直接就去调用树的insert。
cpp
// set
namespace hx
{
template<class K>
class set
{
struct SetKeyOfT
{
const K& operator()(const K& key)
{
return key;
}
};
public:
bool insert(const K& key)
{
return _t.insert(key);
}
private:
RBTree<K, K, SetKeyOfT> _t;
};
}
// map
namespace hx
{
template<class K, class V>
class map
{
struct MapKeyOfT
{
const K& operator()(const pair<K, V>& kv)
{
return kv.first;
}
};
public:
bool insert(const pair<K, V>& kv)
{
return _t.insert(kv);
}
private:
RBTree<K, pair<K, V>, MapKeyOfT> _t;
};
}
2.2 普通迭代器实现
iterator实现的大体框架跟list的iterator思路是一致的,用一个类型封装结点的指针,再通过重载运算符实现,迭代器像指针一样访问的行为。
这里的难点是operator++和operator--的实现。map和set的迭代器走的是中序遍历,左子树->根结点->右子树,那么begin()会返回中序第一个结点的迭代器,也就是最左节点。
迭代器++的核心逻辑就是不看全局,只看局部,只考虑当前中序局部要访问的下一个结点。

迭代器++时,如果it指向的结点的右子树不为空,代表当前结点已经访问完了,因为是左根右,左子树和根已经访问完了,要去访问右子树了,要访问下一个结点是右子树的中序第一个,一棵树中序第一个是最左结点,所以直接找右子树的最左结点即可。

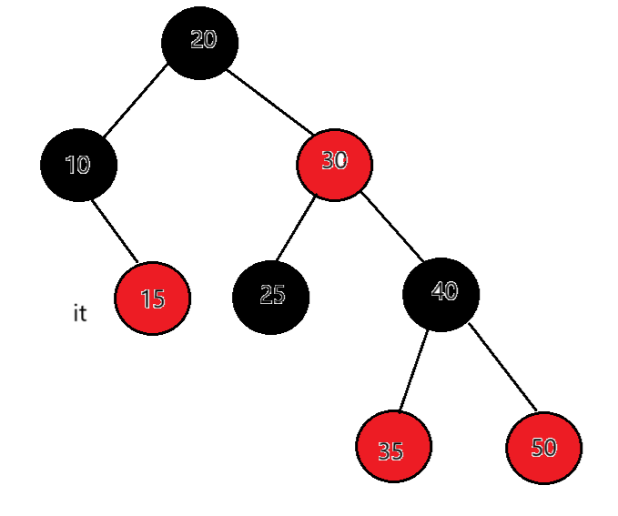
迭代器++时,如果it指向的结点的右子树为空,代表当前结点已经访问完了,且当前结点所在的子树也访问完了,要访问的下一个结点在当前结点的祖先里面,所以要沿着当前结点到根的祖先路径向上找。例如:25的右子树为空,以25做根的这棵局部子树就访问完了,要看当前节点25在父亲的哪里,父亲是30,25是30的左,那就说明下一个要访问的节点就是父亲所在的节点30。

如果当前结点是父亲的右,根据中序左子树->根结点->右子树,当前结点所在的子树访问完 了,当前结点所在父亲的子树也访问完了,那么下一个访问的需要继续往根的祖先中去找,直到找 到孩子是父亲左的那个祖先就是中序要问题的下一个结点。例如:it指向15,15右为空,父亲是10,15是10的右,15所在的子树访问完了,10所在的子树也访问完了,继续往上找,父亲是20,10是20的左,那么下一个访问的结点就是18。

如果it在50,50的右为空,50为根的这棵子树访问完了,父亲是40,50是40的右,说明40所在的子树访问完了。继续向上从祖先中找,当前节点是40,父亲是30,40是30的右,说明30所在的子树访问完了。当前节点是30,父亲是20,30是20的右,说明20所在的子树访问完了。当前节点是20,父亲是空。结束遍历。
总结:当右子树不为空时,下一个要访问的节点就是右子树的最左节点,当右子树为空时,看当前节点在父亲的左还是右,如果在父亲的左,下一个要访问的节点就是父亲,如果在父亲的右,那就要到当前节点的祖先中去查找,直到找 到孩子是父亲左的那个祖先就是要访问的下一个结点,如果父亲为空了,那整棵树就遍历完了,也让当前节点去指向父亲。end()的结束我们定义成走到空就是结束。
cpp
template<class T>
struct __RBTree_Iterator
{
typedef __RBTree_Iterator<T> Self;
typedef RBTreeNode<T> Node;
Node* _node;
__RBTree_Iterator(Node* node)
:_node(node)
{}
Self& operator++()
{
// 右子树不为空
if (_node->_right)
{
_node = _node->_right;
// 找右子树的最左节点
while (_node->_left)
{
_node = _node->_left;
}
}
else
{
// 右子树为空
Node* cur = _node;
Node* parent = cur->_parent;
// 循环的找,当找到孩子是父亲的左时,父亲就是下一个要访问的节点
while (parent && parent->_right == cur)
{
cur = parent;
parent = parent->_parent;
}
// 无论是因为孩子是父亲的左,还是因为父亲为空了,下一个要访问的节点都是parent
_node = parent;
}
return *this;
}
};
迭代器--也是一样的道理,只不过就是反过来,按照右子树->根->左子树的顺序遍历。当左子树不为空时,下一个要访问的节点就是左子树的最右节点,当左子树为空时,看当前节点在父亲的左还是右,如果在父亲的右,下一个要访问的节点就是父亲,如果在父亲的左,那就要到当前节点的祖先中去查找,直到找到孩子是父亲右的那个祖先就是要访问的下一个结点,如果父亲为空了,那整棵树就遍历完了,也让当前节点去指向父亲。
cpp
Self& operator--()
{
if (_node->_left)
{
_node = _node->_left;
while (_node->_right)
{
_node = _node->_right;
}
}
else
{
Node* cur = _node;
Node* parent = cur->_parent;
while (parent && parent->_left == cur)
{
cur = parent;
parent = parent->_parent;
}
_node = parent;
}
return *this;
}
那++和--实现完了,其他的就和list的迭代器是一样的了,我们把其余功能补全
cpp
template<class T>
struct __RBTree_Iterator
{
typedef __RBTree_Iterator<T> Self;
typedef RBTreeNode<T> Node;
Node* _node;
__RBTree_Iterator(Node* node)
:_node(node)
{}
T& operator*()
{
return _node->_data;
}
T* operator->()
{
return &_node->_data;
}
Self& operator++()
{
// 右子树不为空
if (_node->_right)
{
_node = _node->_right;
// 找右子树的最左节点
while (_node->_left)
{
_node = _node->_left;
}
}
else
{
Node* cur = _node;
Node* parent = cur->_parent;
// 循环的找,当找到孩子是父亲的左时,父亲就是下一个要访问的节点
while (parent && parent->_right == cur)
{
cur = parent;
parent = parent->_parent;
}
// 无论是因为孩子是父亲的左,还是因为父亲为空了,下一个要访问的节点都是parent
_node = parent;
}
return *this;
}
Self operator++(int)
{
Self tmp = *this;
++*this;
return tmp;
}
Self& operator--()
{
if (_node->_left)
{
_node = _node->_left;
while (_node->_right)
{
_node = _node->_right;
}
}
else
{
Node* cur = _node;
Node* parent = cur->_parent;
while (parent && parent->_left == cur)
{
cur = parent;
parent = parent->_parent;
}
_node = parent;
}
return *this;
}
Self operator--(int)
{
Self tmp = *this;
--*this;
return tmp;
}
bool operator!=(const Self& s)
{
return _node != s._node;
}
bool operator==(const Self& s)
{
return _node == s._node;
}
};
template<class K, class T, class KeyOfT>
struct RBTree
{
typedef RBTreeNode<T> Node;
public:
typedef __RBTree_Iterator<T> iterator;
iterator begin()
{
Node* minleft = _root;
while (minleft && minleft->_left)
{
minleft = minleft->_left;
}
return minleft;
}
iterator end()
{
return nullptr;
}
};
下层实现好了要继续来实现上层
cpp
namespace hx
{
template<class K>
class set
{
struct SetKeyOfT
{
const K& operator()(const K& key)
{
return key;
}
};
public:
// 要加上typename
typedef typename RBTree<K, K, SetKeyOfT>::iterator iterator;
iterator begin()
{
return _t.begin();
}
iterator end()
{
return _t.end();
}
bool insert(const K& key)
{
return _t.insert(key);
}
private:
RBTree<K, K, SetKeyOfT> _t;
};
}
这里一定要注意,在取红黑树里面的迭代器时,属于类模版中取内嵌类型,一定要加上typename,因为编译器不知道这里的iterator是类型还是对象,加上typename就是告诉编译器是类型,等模版实例化了再去找。map也是同理。
cpp
namespace hx
{
template<class K, class V>
class map
{
struct MapKeyOfT
{
const K& operator()(const pair<K, V>& kv)
{
return kv.first;
}
};
public:
// 一定要加typename
typedef typename RBTree<K, pair<K, V>, MapKeyOfT>::iterator iterator;
iterator begin()
{
return _t.begin();
}
iterator end()
{
return _t.end();
}
bool insert(const pair<K, V>& kv)
{
return _t.insert(kv);
}
private:
RBTree<K, pair<K, V>, MapKeyOfT> _t;
};
}
2.3 const迭代器实现
我们知道普通迭代器和const迭代器的不同就是在operator*和operator->的返回值,和list一样,其他不变就好了
cpp
template<class T, class Ref, class Ptr>
struct __RBTree_Iterator
{
typedef __RBTree_Iterator<T, Ref, Ptr> Self;
typedef RBTreeNode<T> Node;
Node* _node;
__RBTree_Iterator(Node* node)
:_node(node)
{}
Ref operator*()
{
return _node->_data;
}
Ptr operator->()
{
return &_node->_data;
}
Self& operator++()
{
// 右子树不为空
if (_node->_right)
{
_node = _node->_right;
// 找右子树的最左节点
while (_node->_left)
{
_node = _node->_left;
}
}
else
{
Node* cur = _node;
Node* parent = cur->_parent;
// 循环的找,当找到孩子是父亲的左时,父亲就是下一个要访问的节点
while (parent && parent->_right == cur)
{
cur = parent;
parent = parent->_parent;
}
// 无论是因为孩子是父亲的左,还是因为父亲为空了,下一个要访问的节点都是parent
_node = parent;
}
return *this;
}
Self operator++(int)
{
Self tmp = *this;
++*this;
return tmp;
}
Self& operator--()
{
if (_node->_left)
{
_node = _node->_left;
while (_node->_right)
{
_node = _node->_right;
}
}
else
{
Node* cur = _node;
Node* parent = cur->_parent;
while (parent && parent->_left == cur)
{
cur = parent;
parent = parent->_parent;
}
_node = parent;
}
return *this;
}
Self operator--(int)
{
Self tmp = *this;
--*this;
return tmp;
}
bool operator!=(const Self& s)
{
return _node != s._node;
}
bool operator==(const Self& s)
{
return _node == s._node;
}
};
template<class K, class T, class KeyOfT>
struct RBTree
{
typedef RBTreeNode<T> Node;
public:
typedef __RBTree_Iterator<T, T&, T*> iterator;
typedef __RBTree_Iterator<T, const T&, const T*> const_iterator;
iterator begin()
{
Node* minleft = _root;
while (minleft && minleft->_left)
{
minleft = minleft->_left;
}
return minleft;
}
iterator end()
{
return nullptr;
}
const_iterator begin() const
{
Node* minleft = _root;
while (minleft && minleft->_left)
{
minleft = minleft->_left;
}
return minleft;
}
const_iterator end() const
{
return nullptr;
}
};
cpp
namespace hx
{
template<class K>
class set
{
struct SetKeyOfT
{
const K& operator()(const K& key)
{
return key;
}
};
public:
typedef typename RBTree<K, K, SetKeyOfT>::iterator iterator;
typedef typename RBTree<K, K, SetKeyOfT>::const_iterator const_iterator;
iterator begin()
{
return _t.begin();
}
iterator end()
{
return _t.end();
}
const_iterator begin() const
{
return _t.begin();
}
const_iterator end() const
{
return _t.end();
}
pair<iterator, bool> insert(const K& key)
{
return _t.insert(key);
}
private:
RBTree<K, K, SetKeyOfT> _t;
};
}
cpp
namespace hx
{
template<class K, class V>
class map
{
struct MapKeyOfT
{
const K& operator()(const pair<K, V>& kv)
{
return kv.first;
}
};
public:
typedef typename RBTree<K, pair<K, V>, MapKeyOfT>::iterator iterator;
typedef typename RBTree<K, pair<K, V>, MapKeyOfT>::const_iterator const_iterator;
iterator begin()
{
return _t.begin();
}
iterator end()
{
return _t.end();
}
const_iterator begin() const
{
return _t.begin();
}
const_iterator end() const
{
return _t.end();
}
pair<iterator, bool> insert(const pair<K, V>& kv)
{
return _t.insert(kv);
}
private:
RBTree<K, pair<K, V>, MapKeyOfT> _t;
};
}
2.4 解决key不能修改的问题
在map和set中,key是不能修改的,map的value可以修改,在key前加上const修饰即可
cpp
namespace hx
{
template<class K>
class set
{
public:
typedef typename RBTree<K, const K, SetKeyOfT>::iterator iterator;
typedef typename RBTree<K, const K, SetKeyOfT>::const_iterator const_iterator;
private:
RBTree<K, const K, SetKeyOfT> _t;
};
}
cpp
namespace hx
{
template<class K, class V>
class map
{
public:
typedef typename RBTree<K, pair<const K, V>, MapKeyOfT>::iterator iterator;
typedef typename RBTree<K, pair<const K, V>, MapKeyOfT>::const_iterator const_iterator;
private:
RBTree<K, pair<const K, V>, MapKeyOfT> _t;
};
}
注意map中,const可不要加在pair前面了,加在pair前面那就是first和second都不能修改,但我们要的只是first不能修改。
2.5 map的[]实现
\]中要调用insert,所以要先把insert的返回值修改成pair\