目录
代码已经封装好,对小白友好。
想要更换数据集,参考readme文件摆放好数据集即可,可以一键训练!!
1.VisionTransformer
Vision Transformer(ViT)是一种基于自注意力机制的图像分类模型,它将Transformer架构成功应用于计算机视觉领域,突破了传统卷积神经网络(CNN)的局限。
其核心思想是将输入图像分割为固定大小的图像块(如16×16像素),将这些块展平为序列后嵌入为向量,并添加位置编码以保留空间信息。通过多层的Transformer编码器处理,每个编码器包含多头自注意力机制和前馈神经网络,使模型能够捕捉图像块间的全局依赖关系,从而更高效地学习图像特征。

ViT的优势在于其强大的全局建模能力。传统CNN通过局部卷积核逐步提取特征,而ViT的自注意力机制能直接建立远距离像素间的关联,尤其适合处理图像中的复杂结构和长距离依赖。此外,ViT在数据充足时表现优异,例如在大型数据集(如ImageNet-21k或JFT-300M)上预训练后,迁移到小规模任务(如CIFAR或ImageNet-1k)时,其性能常超越ResNet等CNN模型。然而,ViT对数据量的依赖性较强,小规模数据下可能因过拟合而表现不佳,此时需结合数据增强或知识蒸馏等技术优化。
后续改进模型如DeiT(Data-efficient Image Transformer)通过引入蒸馏策略提升小数据场景下的性能,Swin Transformer则引入层次化窗口注意力机制以降低计算复杂度。ViT及其变体推动了视觉任务的变革,成为图像分类、目标检测等领域的核心架构之一,展现了Transformer在跨模态任务中的强大潜力。
2.InceptionDW模块
InceptionDW模块是一种结合了Inception架构思想和深度可分离卷积(Depthwise Separable Convolution)的高效神经网络模块,旨在提升计算效率并增强特征表达能力。
该模块的核心设计借鉴了Inception系列模型的多分支结构,通过并行使用不同尺度的深度可分离卷积(DWConv)和逐点卷积(Pointwise Conv),在减少参数量的同时捕获多尺度特征。
具体而言,InceptionDW模块通常包含多个分支,例如1×1卷积、3×3深度可分离卷积、5×5深度可分离卷积,以及全局平均池化等操作,这些分支的输出在通道维度拼接后融合,形成丰富的多尺度特征表示。

深度可分离卷积的引入大幅降低了计算成本,其将标准卷积分解为逐通道的空间卷积(DWConv)和跨通道的1×1卷积(PWConv),显著减少了参数量和FLOPs。
例如,一个3×3标准卷积的计算复杂度是输入通道数×输出通道数×3×3,而深度可分离卷积将其分解为输入通道数×3×3(DWConv)和输入通道数×输出通道数×1×1(PWConv),计算量大幅降低。InceptionDW模块通过结合多分支设计和深度可分离卷积,在保持轻量化的同时增强了模型的非线性建模能力,适用于移动端或边缘计算设备。

该模块的变体通常针对特定任务优化,例如调整分支数量、卷积核尺寸或引入注意力机制。实验表明,InceptionDW模块在图像分类(如ImageNet)、目标检测等任务中能平衡精度与效率,尤其适合资源受限的场景。其设计思想也被后续轻量级网络(如MobileNet、EfficientNet)借鉴,成为高效神经网络架构中的重要组成部分。
3.改进
网络结构图如下,这里在最后的head层引入模块:
ViT_With_InceptionDW(
(vit): VisionTransformer(
(conv_proj): Conv2d(3, 768, kernel_size=(16, 16), stride=(16, 16))
(encoder): Encoder(
(dropout): Dropout(p=0.0, inplace=False)
(layers): Sequential(
(encoder_layer_0): EncoderBlock(
(ln_1): LayerNorm((768,), eps=1e-06, elementwise_affine=True)
(self_attention): MultiheadAttention(
(out_proj): NonDynamicallyQuantizableLinear(in_features=768, out_features=768, bias=True)
)
(dropout): Dropout(p=0.0, inplace=False)
(ln_2): LayerNorm((768,), eps=1e-06, elementwise_affine=True)
(mlp): MLPBlock(
(0): Linear(in_features=768, out_features=3072, bias=True)
(1): GELU(approximate='none')
(2): Dropout(p=0.0, inplace=False)
(3): Linear(in_features=3072, out_features=768, bias=True)
(4): Dropout(p=0.0, inplace=False)
)
)
(encoder_layer_1): EncoderBlock(
(ln_1): LayerNorm((768,), eps=1e-06, elementwise_affine=True)
(self_attention): MultiheadAttention(
(out_proj): NonDynamicallyQuantizableLinear(in_features=768, out_features=768, bias=True)
)
(dropout): Dropout(p=0.0, inplace=False)
(ln_2): LayerNorm((768,), eps=1e-06, elementwise_affine=True)
(mlp): MLPBlock(
(0): Linear(in_features=768, out_features=3072, bias=True)
(1): GELU(approximate='none')
(2): Dropout(p=0.0, inplace=False)
(3): Linear(in_features=3072, out_features=768, bias=True)
(4): Dropout(p=0.0, inplace=False)
)
)
(encoder_layer_2): EncoderBlock(
(ln_1): LayerNorm((768,), eps=1e-06, elementwise_affine=True)
(self_attention): MultiheadAttention(
(out_proj): NonDynamicallyQuantizableLinear(in_features=768, out_features=768, bias=True)
)
(dropout): Dropout(p=0.0, inplace=False)
(ln_2): LayerNorm((768,), eps=1e-06, elementwise_affine=True)
(mlp): MLPBlock(
(0): Linear(in_features=768, out_features=3072, bias=True)
(1): GELU(approximate='none')
(2): Dropout(p=0.0, inplace=False)
(3): Linear(in_features=3072, out_features=768, bias=True)
(4): Dropout(p=0.0, inplace=False)
)
)
(encoder_layer_3): EncoderBlock(
(ln_1): LayerNorm((768,), eps=1e-06, elementwise_affine=True)
(self_attention): MultiheadAttention(
(out_proj): NonDynamicallyQuantizableLinear(in_features=768, out_features=768, bias=True)
)
(dropout): Dropout(p=0.0, inplace=False)
(ln_2): LayerNorm((768,), eps=1e-06, elementwise_affine=True)
(mlp): MLPBlock(
(0): Linear(in_features=768, out_features=3072, bias=True)
(1): GELU(approximate='none')
(2): Dropout(p=0.0, inplace=False)
(3): Linear(in_features=3072, out_features=768, bias=True)
(4): Dropout(p=0.0, inplace=False)
)
)
(encoder_layer_4): EncoderBlock(
(ln_1): LayerNorm((768,), eps=1e-06, elementwise_affine=True)
(self_attention): MultiheadAttention(
(out_proj): NonDynamicallyQuantizableLinear(in_features=768, out_features=768, bias=True)
)
(dropout): Dropout(p=0.0, inplace=False)
(ln_2): LayerNorm((768,), eps=1e-06, elementwise_affine=True)
(mlp): MLPBlock(
(0): Linear(in_features=768, out_features=3072, bias=True)
(1): GELU(approximate='none')
(2): Dropout(p=0.0, inplace=False)
(3): Linear(in_features=3072, out_features=768, bias=True)
(4): Dropout(p=0.0, inplace=False)
)
)
(encoder_layer_5): EncoderBlock(
(ln_1): LayerNorm((768,), eps=1e-06, elementwise_affine=True)
(self_attention): MultiheadAttention(
(out_proj): NonDynamicallyQuantizableLinear(in_features=768, out_features=768, bias=True)
)
(dropout): Dropout(p=0.0, inplace=False)
(ln_2): LayerNorm((768,), eps=1e-06, elementwise_affine=True)
(mlp): MLPBlock(
(0): Linear(in_features=768, out_features=3072, bias=True)
(1): GELU(approximate='none')
(2): Dropout(p=0.0, inplace=False)
(3): Linear(in_features=3072, out_features=768, bias=True)
(4): Dropout(p=0.0, inplace=False)
)
)
(encoder_layer_6): EncoderBlock(
(ln_1): LayerNorm((768,), eps=1e-06, elementwise_affine=True)
(self_attention): MultiheadAttention(
(out_proj): NonDynamicallyQuantizableLinear(in_features=768, out_features=768, bias=True)
)
(dropout): Dropout(p=0.0, inplace=False)
(ln_2): LayerNorm((768,), eps=1e-06, elementwise_affine=True)
(mlp): MLPBlock(
(0): Linear(in_features=768, out_features=3072, bias=True)
(1): GELU(approximate='none')
(2): Dropout(p=0.0, inplace=False)
(3): Linear(in_features=3072, out_features=768, bias=True)
(4): Dropout(p=0.0, inplace=False)
)
)
(encoder_layer_7): EncoderBlock(
(ln_1): LayerNorm((768,), eps=1e-06, elementwise_affine=True)
(self_attention): MultiheadAttention(
(out_proj): NonDynamicallyQuantizableLinear(in_features=768, out_features=768, bias=True)
)
(dropout): Dropout(p=0.0, inplace=False)
(ln_2): LayerNorm((768,), eps=1e-06, elementwise_affine=True)
(mlp): MLPBlock(
(0): Linear(in_features=768, out_features=3072, bias=True)
(1): GELU(approximate='none')
(2): Dropout(p=0.0, inplace=False)
(3): Linear(in_features=3072, out_features=768, bias=True)
(4): Dropout(p=0.0, inplace=False)
)
)
(encoder_layer_8): EncoderBlock(
(ln_1): LayerNorm((768,), eps=1e-06, elementwise_affine=True)
(self_attention): MultiheadAttention(
(out_proj): NonDynamicallyQuantizableLinear(in_features=768, out_features=768, bias=True)
)
(dropout): Dropout(p=0.0, inplace=False)
(ln_2): LayerNorm((768,), eps=1e-06, elementwise_affine=True)
(mlp): MLPBlock(
(0): Linear(in_features=768, out_features=3072, bias=True)
(1): GELU(approximate='none')
(2): Dropout(p=0.0, inplace=False)
(3): Linear(in_features=3072, out_features=768, bias=True)
(4): Dropout(p=0.0, inplace=False)
)
)
(encoder_layer_9): EncoderBlock(
(ln_1): LayerNorm((768,), eps=1e-06, elementwise_affine=True)
(self_attention): MultiheadAttention(
(out_proj): NonDynamicallyQuantizableLinear(in_features=768, out_features=768, bias=True)
)
(dropout): Dropout(p=0.0, inplace=False)
(ln_2): LayerNorm((768,), eps=1e-06, elementwise_affine=True)
(mlp): MLPBlock(
(0): Linear(in_features=768, out_features=3072, bias=True)
(1): GELU(approximate='none')
(2): Dropout(p=0.0, inplace=False)
(3): Linear(in_features=3072, out_features=768, bias=True)
(4): Dropout(p=0.0, inplace=False)
)
)
(encoder_layer_10): EncoderBlock(
(ln_1): LayerNorm((768,), eps=1e-06, elementwise_affine=True)
(self_attention): MultiheadAttention(
(out_proj): NonDynamicallyQuantizableLinear(in_features=768, out_features=768, bias=True)
)
(dropout): Dropout(p=0.0, inplace=False)
(ln_2): LayerNorm((768,), eps=1e-06, elementwise_affine=True)
(mlp): MLPBlock(
(0): Linear(in_features=768, out_features=3072, bias=True)
(1): GELU(approximate='none')
(2): Dropout(p=0.0, inplace=False)
(3): Linear(in_features=3072, out_features=768, bias=True)
(4): Dropout(p=0.0, inplace=False)
)
)
(encoder_layer_11): EncoderBlock(
(ln_1): LayerNorm((768,), eps=1e-06, elementwise_affine=True)
(self_attention): MultiheadAttention(
(out_proj): NonDynamicallyQuantizableLinear(in_features=768, out_features=768, bias=True)
)
(dropout): Dropout(p=0.0, inplace=False)
(ln_2): LayerNorm((768,), eps=1e-06, elementwise_affine=True)
(mlp): MLPBlock(
(0): Linear(in_features=768, out_features=3072, bias=True)
(1): GELU(approximate='none')
(2): Dropout(p=0.0, inplace=False)
(3): Linear(in_features=3072, out_features=768, bias=True)
(4): Dropout(p=0.0, inplace=False)
)
)
)
(ln): LayerNorm((768,), eps=1e-06, elementwise_affine=True)
)
(heads): Sequential(
(head): Linear(in_features=768, out_features=30, bias=True)
)
)
(inception_dw): InceptionDWConv2d(
(conv1x1): Sequential(
(0): Conv2d(768, 192, kernel_size=(1, 1), stride=(1, 1), bias=False)
(1): BatchNorm2d(192, eps=1e-05, momentum=0.1, affine=True, track_running_stats=True)
(2): ReLU6(inplace=True)
)
(conv3x3): Sequential(
(0): Conv2d(768, 768, kernel_size=(3, 3), stride=(1, 1), padding=(1, 1), groups=768, bias=False)
(1): BatchNorm2d(768, eps=1e-05, momentum=0.1, affine=True, track_running_stats=True)
(2): ReLU6(inplace=True)
(3): Conv2d(768, 192, kernel_size=(1, 1), stride=(1, 1), bias=False)
(4): BatchNorm2d(192, eps=1e-05, momentum=0.1, affine=True, track_running_stats=True)
(5): ReLU6(inplace=True)
)
(conv5x5): Sequential(
(0): Conv2d(768, 768, kernel_size=(5, 5), stride=(1, 1), padding=(2, 2), groups=768, bias=False)
(1): BatchNorm2d(768, eps=1e-05, momentum=0.1, affine=True, track_running_stats=True)
(2): ReLU6(inplace=True)
(3): Conv2d(768, 192, kernel_size=(1, 1), stride=(1, 1), bias=False)
(4): BatchNorm2d(192, eps=1e-05, momentum=0.1, affine=True, track_running_stats=True)
(5): ReLU6(inplace=True)
)
(maxpool): Sequential(
(0): MaxPool2d(kernel_size=3, stride=1, padding=1, dilation=1, ceil_mode=False)
(1): Conv2d(768, 192, kernel_size=(1, 1), stride=(1, 1), bias=False)
(2): BatchNorm2d(192, eps=1e-05, momentum=0.1, affine=True, track_running_stats=True)
(3): ReLU6(inplace=True)
)
)
)
4.遥感地面目标识别
数据集如下:


训练集和验证集的样本数量:【代码自动生成】


json标签:【代码自动生成】
{
"0": "Airport",
"1": "BareLand",
"2": "BaseballField",
"3": "Beach",
"4": "Bridge",
"5": "Center",
"6": "Church",
"7": "Commercial",
"8": "DenseResidential",
"9": "Desert",
"10": "Farmland",
"11": "Forest",
"12": "Industrial",
"13": "Meadow",
"14": "MediumResidential",
"15": "Mountain",
"16": "Park",
"17": "Parking",
"18": "Playground",
"19": "Pond",
"20": "Port",
"21": "RailwayStation",
"22": "Resort",
"23": "River",
"24": "School",
"25": "SparseResidential",
"26": "Square",
"27": "Stadium",
"28": "StorageTanks",
"29": "Viaduct"
}
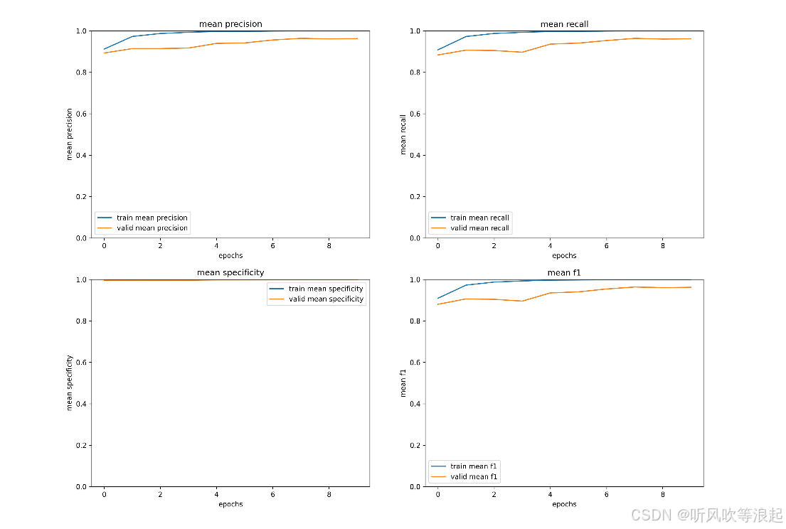
5.训练过程
参数如下:其实都很好理解的,就是常见的调参,这里不多介绍了
python
parser.add_argument("--model", default='vit', type=str,help='vit')
parser.add_argument("--pretrained", default=True, type=bool) # 采用官方权重
parser.add_argument("--batch-size", default=16, type=int)
parser.add_argument("--epochs", default=30, type=int)
parser.add_argument("--optim", default='Adam', type=str,help='SGD,Adam,AdamW') # 优化器选择
parser.add_argument('--lr', default=0.0001, type=float)
parser.add_argument('--lrf',default=0.0001,type=float) # 最终学习率 = lr * lrf
parser.add_argument('--save_ret', default='runs', type=str) # 保存结果
parser.add_argument('--data_train',default='./data/train',type=str) # 训练集路径
parser.add_argument('--data_val',default='./data/val',type=str)
# 测试集
parser.add_argument("--data-test", default=False, type=bool, help='if exists test sets')
数据集的文件摆放,有测试集的话,设置为true,代码会自动测试【参考readme文件】
--data--train--- 训练集的图像
--data--val--- 验证集的图像
--data--test--- 测试集的图像(如果有的话)
这里的loss采用focal loss:
python
class FocalLoss(nn.Module):
def __init__(self, alpha=0.25, gamma=2.0, reduction='mean'):
# 增大 gamma 会更强调难分类样本
# 调整 alpha 可以平衡不同类别的权重
super(FocalLoss, self).__init__()
self.alpha = alpha
self.gamma = gamma
self.reduction = reduction
def forward(self, inputs, targets):
ce_loss = F.cross_entropy(inputs, targets, reduction='none')
pt = torch.exp(-ce_loss)
focal_loss = self.alpha * (1-pt)**self.gamma * ce_loss
if self.reduction == 'mean':
return focal_loss.mean()
elif self.reduction == 'sum':
return focal_loss.sum()
else:
return focal_loss
训练日志:
python
Namespace(model='vit', pretrained=True, batch_size=16, epochs=10, optim='Adam', lr=0.0001, lrf=0.0001, save_ret='runs', data_train='./data/train', data_val='./data/val', data_test=False)
Using device is: cuda
Using dataloader workers is : 8
trainSet number is : 7000 valSet number is : 3000
model output is : 30
Total parameters is:57.94 M
Train parameters is:86442270
Flops:11407.43 M
use optim is : Adam
开始训练...
train: 100%|██████████████████████████████████████████████████████████████████████████████████████████████████████████████████████| 438/438 [01:20<00:00, 5.41it/s, accuracy=0.911, loss=0.000974]
valid: 100%|███████████████████████████████████████████████████████████████████████████████████████████████████████████████████████| 188/188 [00:17<00:00, 10.85it/s, accuracy=0.885, loss=7.54e-5]
[epoch:0/10]
train loss:0.0071 train accuracy:0.9113
val loss:0.0034 val accuracy:0.8847
train: 100%|██████████████████████████████████████████████████████████████████████████████████████████████████████████████████████| 438/438 [01:21<00:00, 5.38it/s, accuracy=0.974, loss=0.000403]
valid: 100%|████████████████████████| 188/188 [00:17<00:00, 10.86it/s, accuracy=0.91, loss=1.95e-6]
[epoch:1/10]
train loss:0.0024 train accuracy:0.9744
val loss:0.0024 val accuracy:0.9100
train: 100%|███████████████████████| 438/438 [01:21<00:00, 5.38it/s, accuracy=0.988, loss=2.12e-5]
valid: 100%|██████████████████████| 188/188 [00:17<00:00, 10.88it/s, accuracy=0.908, loss=2.14e-10]
[epoch:2/10]
train loss:0.0016 train accuracy:0.9883
val loss:0.0026 val accuracy:0.9080
train: 100%|███████████████████████| 438/438 [01:21<00:00, 5.37it/s, accuracy=0.993, loss=0.00394]
valid: 100%|███████████████████████| 188/188 [00:17<00:00, 10.88it/s, accuracy=0.901, loss=4.86e-5]
[epoch:3/10]
train loss:0.0010 train accuracy:0.9931
val loss:0.0028 val accuracy:0.9013
train: 100%|███████████████████████| 438/438 [01:21<00:00, 5.37it/s, accuracy=0.997, loss=7.37e-6]
valid: 100%|███████████████████████| 188/188 [00:17<00:00, 10.83it/s, accuracy=0.937, loss=2.45e-6]
[epoch:4/10]
train loss:0.0005 train accuracy:0.9971
val loss:0.0018 val accuracy:0.9370
train: 100%|██████████████████████| 438/438 [01:21<00:00, 5.35it/s, accuracy=0.998, loss=0.000451]
valid: 100%|███████████████████████| 188/188 [00:17<00:00, 10.90it/s, accuracy=0.942, loss=2.38e-9]
[epoch:5/10]
train loss:0.0004 train accuracy:0.9977
val loss:0.0016 val accuracy:0.9417
train: 100%|█████████████████████████| 438/438 [01:21<00:00, 5.38it/s, accuracy=0.999, loss=0.006]
valid: 100%|███████████████████████| 188/188 [00:17<00:00, 10.84it/s, accuracy=0.956, loss=8.48e-9]
[epoch:6/10]
train loss:0.0002 train accuracy:0.9990
val loss:0.0011 val accuracy:0.9557
train: 100%|███████████████████████████| 438/438 [01:21<00:00, 5.38it/s, accuracy=1, loss=5.46e-8]
valid: 100%|███████████████████████| 188/188 [00:17<00:00, 10.87it/s, accuracy=0.965, loss=5.01e-8]
[epoch:7/10]
train loss:0.0000 train accuracy:0.9996
val loss:0.0009 val accuracy:0.9647
train: 100%|███████████████████████| 438/438 [01:21<00:00, 5.36it/s, accuracy=0.999, loss=1.57e-6]
valid: 100%|███████████████████████| 188/188 [00:17<00:00, 10.79it/s, accuracy=0.962, loss=2.27e-8]
[epoch:8/10]
train loss:0.0000 train accuracy:0.9994
val loss:0.0009 val accuracy:0.9620
train: 100%|███████████████████████| 438/438 [01:21<00:00, 5.37it/s, accuracy=0.999, loss=3.34e-6]
valid: 100%|███████████████████████| 188/188 [00:17<00:00, 10.75it/s, accuracy=0.963, loss=1.71e-8]
[epoch:9/10]
train loss:0.0000 train accuracy:0.9994
val loss:0.0009 val accuracy:0.9633
训练结束!!!
best epoch: 9
100%|████████████████████████████████████████████████████████████| 438/438 [00:19<00:00, 21.93it/s]
100%|████████████████████████████████████████████████████████████| 188/188 [00:08<00:00, 21.35it/s]
roc curve: 100%|█████████████████████████████████████████████████| 188/188 [00:08<00:00, 21.41it/s]
train finish!
验证集上表现最好的epoch为: 9
训练生成的文件:
python
{
"train parameters": {
"model version": "vit",
"pretrained": true,
"batch_size": 16,
"epochs": 10,
"optim": "Adam",
"lr": 0.0001,
"lrf": 0.0001,
"save_folder": "runs"
},
"dataset": {
"trainset number": 7000,
"valset number": 3000,
"number classes": 30
},
"model": {
"total parameters": 57940254.0,
"train parameters": 86442270,
"flops": 11407434240.0
},
"epoch:0": {
"train info": {
"accuracy": 0.9112857142844125,
"Airport": {
"Precision": 0.9306,
"Recall": 0.9048,
"Specificity": 0.9975,
"F1 score": 0.9175
},
"BareLand": {
"Precision": 0.8609,
"Recall": 0.9124,
"Specificity": 0.9953,
"F1 score": 0.8859
},
"BaseballField": {
"Precision": 0.9932,
"Recall": 0.9545,
"Specificity": 0.9999,
"F1 score": 0.9735
},
"Beach": {
"Precision": 0.8801,
"Recall": 0.9964,
"Specificity": 0.9943,
"F1 score": 0.9346
},
"Bridge": {
"Precision": 0.9633,
"Recall": 0.9365,
"Specificity": 0.9987,
"F1 score": 0.9497
},
"Center": {
"Precision": 0.9281,
"Recall": 0.8516,
"Specificity": 0.9982,
"F1 score": 0.8882
},
"Church": {
"Precision": 0.8797,
"Recall": 0.8274,
"Specificity": 0.9972,
"F1 score": 0.8527
},
"Commercial": {
"Precision": 0.775,
"Recall": 0.8857,
"Specificity": 0.9907,
"F1 score": 0.8267
},
"DenseResidential": {
"Precision": 0.9164,
"Recall": 0.9164,
"Specificity": 0.9964,
"F1 score": 0.9164
},
"Desert": {
"Precision": 0.9314,
"Recall": 0.9048,
"Specificity": 0.9979,
"F1 score": 0.9179
},
"Farmland": {
"Precision": 0.972,
"Recall": 0.9382,
"Specificity": 0.999,
"F1 score": 0.9548
},
"Forest": {
"Precision": 0.8208,
"Recall": 0.9943,
"Specificity": 0.9944,
"F1 score": 0.8993
},
"Industrial": {
"Precision": 0.8803,
"Recall": 0.8352,
"Specificity": 0.9954,
"F1 score": 0.8572
},
"Meadow": {
"Precision": 0.9895,
"Recall": 0.9592,
"Specificity": 0.9997,
"F1 score": 0.9741
},
"MediumResidential": {
"Precision": 0.9378,
"Recall": 0.8916,
"Specificity": 0.9982,
"F1 score": 0.9141
},
"Mountain": {
"Precision": 0.9177,
"Recall": 0.937,
"Specificity": 0.997,
"F1 score": 0.9272
},
"Park": {
"Precision": 0.865,
"Recall": 0.8367,
"Specificity": 0.9953,
"F1 score": 0.8506
},
"Parking": {
"Precision": 0.9703,
"Recall": 0.956,
"Specificity": 0.9988,
"F1 score": 0.9631
},
"Playground": {
"Precision": 0.949,
"Recall": 0.9344,
"Specificity": 0.9981,
"F1 score": 0.9416
},
"Pond": {
"Precision": 0.9394,
"Recall": 0.949,
"Specificity": 0.9973,
"F1 score": 0.9442
},
"Port": {
"Precision": 0.8261,
"Recall": 0.9286,
"Specificity": 0.9923,
"F1 score": 0.8744
},
"RailwayStation": {
"Precision": 0.9,
"Recall": 0.8901,
"Specificity": 0.9974,
"F1 score": 0.895
},
"Resort": {
"Precision": 0.8,
"Recall": 0.7882,
"Specificity": 0.9941,
"F1 score": 0.7941
},
"River": {
"Precision": 0.9648,
"Recall": 0.9547,
"Specificity": 0.9985,
"F1 score": 0.9597
},
"School": {
"Precision": 0.809,
"Recall": 0.7667,
"Specificity": 0.9944,
"F1 score": 0.7873
},
"SparseResidential": {
"Precision": 0.9901,
"Recall": 0.9571,
"Specificity": 0.9997,
"F1 score": 0.9733
},
"Square": {
"Precision": 0.8843,
"Recall": 0.8268,
"Specificity": 0.9963,
"F1 score": 0.8546
},
"Stadium": {
"Precision": 0.9635,
"Recall": 0.9113,
"Specificity": 0.999,
"F1 score": 0.9367
},
"StorageTanks": {
"Precision": 0.9409,
"Recall": 0.9484,
"Specificity": 0.9978,
"F1 score": 0.9446
},
"Viaduct": {
"Precision": 0.9861,
"Recall": 0.9626,
"Specificity": 0.9994,
"F1 score": 0.9742
},
"mean precision": 0.9121766666666666,
"mean recall": 0.9085533333333333,
"mean specificity": 0.9969400000000002,
"mean f1 score": 0.9094400000000001
},
"valid info": {
"accuracy": 0.8846666666637178,
"Airport": {
"Precision": 1.0,
"Recall": 0.787,
"Specificity": 1.0,
"F1 score": 0.8808
},
"BareLand": {
"Precision": 0.8108,
"Recall": 0.9677,
"Specificity": 0.9928,
"F1 score": 0.8823
},
"BaseballField": {
"Precision": 0.8684,
"Recall": 1.0,
"Specificity": 0.9966,
"F1 score": 0.9296
},
"Beach": {
"Precision": 1.0,
"Recall": 0.9917,
"Specificity": 1.0,
"F1 score": 0.9958
},
"Bridge": {
"Precision": 0.9626,
"Recall": 0.9537,
"Specificity": 0.9986,
"F1 score": 0.9581
},
"Center": {
"Precision": 0.6198,
"Recall": 0.9615,
"Specificity": 0.9843,
"F1 score": 0.7537
},
"Church": {
"Precision": 0.6875,
"Recall": 0.9167,
"Specificity": 0.9898,
"F1 score": 0.7857
},
"Commercial": {
"Precision": 0.9351,
"Recall": 0.6857,
"Specificity": 0.9983,
"F1 score": 0.7912
},
"DenseResidential": {
"Precision": 0.7256,
"Recall": 0.9675,
"Specificity": 0.9844,
"F1 score": 0.8293
},
"Desert": {
"Precision": 0.9855,
"Recall": 0.7556,
"Specificity": 0.9997,
"F1 score": 0.8554
},
"Farmland": {
"Precision": 0.9145,
"Recall": 0.964,
"Specificity": 0.9965,
"F1 score": 0.9386
},
"Forest": {
"Precision": 0.8824,
"Recall": 1.0,
"Specificity": 0.9966,
"F1 score": 0.9375
},
"Industrial": {
"Precision": 0.9651,
"Recall": 0.7094,
"Specificity": 0.999,
"F1 score": 0.8177
},
"Meadow": {
"Precision": 0.9625,
"Recall": 0.9167,
"Specificity": 0.999,
"F1 score": 0.939
},
"MediumResidential": {
"Precision": 0.6535,
"Recall": 0.954,
"Specificity": 0.9849,
"F1 score": 0.7757
},
"Mountain": {
"Precision": 0.9697,
"Recall": 0.9412,
"Specificity": 0.999,
"F1 score": 0.9552
},
"Park": {
"Precision": 0.9412,
"Recall": 0.7619,
"Specificity": 0.9983,
"F1 score": 0.8421
},
"Parking": {
"Precision": 1.0,
"Recall": 0.9744,
"Specificity": 1.0,
"F1 score": 0.987
},
"Playground": {
"Precision": 0.9541,
"Recall": 0.9369,
"Specificity": 0.9983,
"F1 score": 0.9454
},
"Pond": {
"Precision": 0.9754,
"Recall": 0.9444,
"Specificity": 0.999,
"F1 score": 0.9596
},
"Port": {
"Precision": 0.9573,
"Recall": 0.9825,
"Specificity": 0.9983,
"F1 score": 0.9697
},
"RailwayStation": {
"Precision": 0.8193,
"Recall": 0.8718,
"Specificity": 0.9949,
"F1 score": 0.8447
},
"Resort": {
"Precision": 0.9048,
"Recall": 0.6552,
"Specificity": 0.9979,
"F1 score": 0.76
},
"River": {
"Precision": 1.0,
"Recall": 0.7805,
"Specificity": 1.0,
"F1 score": 0.8767
},
"School": {
"Precision": 0.6923,
"Recall": 0.7,
"Specificity": 0.9904,
"F1 score": 0.6961
},
"SparseResidential": {
"Precision": 0.9868,
"Recall": 0.8333,
"Specificity": 0.9997,
"F1 score": 0.9036
},
"Square": {
"Precision": 0.7568,
"Recall": 0.8485,
"Specificity": 0.9907,
"F1 score": 0.8
},
"Stadium": {
"Precision": 1.0,
"Recall": 0.8161,
"Specificity": 1.0,
"F1 score": 0.8987
},
"StorageTanks": {
"Precision": 0.8729,
"Recall": 0.9537,
"Specificity": 0.9948,
"F1 score": 0.9115
},
"Viaduct": {
"Precision": 0.992,
"Recall": 0.9841,
"Specificity": 0.9997,
"F1 score": 0.988
},
"mean precision": 0.8931966666666666,
"mean recall": 0.8838566666666671,
"mean specificity": 0.9960500000000003,
"mean f1 score": 0.8802900000000002
}
},
"epoch:1": {
"train info": {
"accuracy": 0.9744285714271794,
"Airport": {
"Precision": 0.9803,
"Recall": 0.9881,
"Specificity": 0.9993,
"F1 score": 0.9842
},
"BareLand": {
"Precision": 0.9404,
"Recall": 0.9447,
"Specificity": 0.9981,
"F1 score": 0.9425
},
"BaseballField": {
"Precision": 1.0,
"Recall": 0.9935,
"Specificity": 1.0,
"F1 score": 0.9967
},
"Beach": {
"Precision": 0.9929,
"Recall": 1.0,
"Specificity": 0.9997,
"F1 score": 0.9964
},
"Bridge": {
"Precision": 0.996,
"Recall": 0.996,
"Specificity": 0.9999,
"F1 score": 0.996
},
"Center": {
"Precision": 0.9351,
"Recall": 0.9505,
"Specificity": 0.9982,
"F1 score": 0.9427
},
"Church": {
"Precision": 0.9345,
"Recall": 0.9345,
"Specificity": 0.9984,
"F1 score": 0.9345
},
"Commercial": {
"Precision": 0.9597,
"Recall": 0.9714,
"Specificity": 0.9985,
"F1 score": 0.9655
},
"DenseResidential": {
"Precision": 0.9654,
"Recall": 0.9721,
"Specificity": 0.9985,
"F1 score": 0.9687
},
"Desert": {
"Precision": 0.9423,
"Recall": 0.9333,
"Specificity": 0.9982,
"F1 score": 0.9378
},
"Farmland": {
"Precision": 1.0,
"Recall": 0.9961,
"Specificity": 1.0,
"F1 score": 0.998
},
"Forest": {
"Precision": 0.9943,
"Recall": 0.9943,
"Specificity": 0.9999,
"F1 score": 0.9943
},
"Industrial": {
"Precision": 0.967,
"Recall": 0.967,
"Specificity": 0.9987,
"F1 score": 0.967
},
"Meadow": {
"Precision": 1.0,
"Recall": 0.9898,
"Specificity": 1.0,
"F1 score": 0.9949
},
"MediumResidential": {
"Precision": 0.9803,
"Recall": 0.9803,
"Specificity": 0.9994,
"F1 score": 0.9803
},
"Mountain": {
"Precision": 1.0,
"Recall": 1.0,
"Specificity": 1.0,
"F1 score": 1.0
},
"Park": {
"Precision": 0.915,
"Recall": 0.9224,
"Specificity": 0.9969,
"F1 score": 0.9187
},
"Parking": {
"Precision": 1.0,
"Recall": 0.9927,
"Specificity": 1.0,
"F1 score": 0.9963
},
"Playground": {
"Precision": 0.9846,
"Recall": 0.9884,
"Specificity": 0.9994,
"F1 score": 0.9865
},
"Pond": {
"Precision": 0.9932,
"Recall": 0.9966,
"Specificity": 0.9997,
"F1 score": 0.9949
},
"Port": {
"Precision": 0.9852,
"Recall": 1.0,
"Specificity": 0.9994,
"F1 score": 0.9925
},
"RailwayStation": {
"Precision": 0.9945,
"Recall": 0.989,
"Specificity": 0.9999,
"F1 score": 0.9917
},
"Resort": {
"Precision": 0.9059,
"Recall": 0.9015,
"Specificity": 0.9972,
"F1 score": 0.9037
},
"River": {
"Precision": 1.0,
"Recall": 0.9965,
"Specificity": 1.0,
"F1 score": 0.9982
},
"School": {
"Precision": 0.9043,
"Recall": 0.9,
"Specificity": 0.9971,
"F1 score": 0.9021
},
"SparseResidential": {
"Precision": 1.0,
"Recall": 1.0,
"Specificity": 1.0,
"F1 score": 1.0
},
"Square": {
"Precision": 0.9467,
"Recall": 0.9221,
"Specificity": 0.9982,
"F1 score": 0.9342
},
"Stadium": {
"Precision": 0.9754,
"Recall": 0.9754,
"Specificity": 0.9993,
"F1 score": 0.9754
},
"StorageTanks": {
"Precision": 0.996,
"Recall": 0.9841,
"Specificity": 0.9999,
"F1 score": 0.99
},
"Viaduct": {
"Precision": 1.0,
"Recall": 1.0,
"Specificity": 1.0,
"F1 score": 1.0
},
"mean precision": 0.9729666666666665,
"mean recall": 0.9726766666666667,
"mean specificity": 0.9991266666666668,
"mean f1 score": 0.9727900000000002
},
"valid info": {
"accuracy": 0.9099999999969667,
"Airport": {
"Precision": 0.9217,
"Recall": 0.9815,
"Specificity": 0.9969,
"F1 score": 0.9507
},
"BareLand": {
"Precision": 0.9556,
"Recall": 0.9247,
"Specificity": 0.9986,
"F1 score": 0.9399
},
"BaseballField": {
"Precision": 0.88,
"Recall": 1.0,
"Specificity": 0.9969,
"F1 score": 0.9362
},
"Beach": {
"Precision": 1.0,
"Recall": 0.9667,
"Specificity": 1.0,
"F1 score": 0.9831
},
"Bridge": {
"Precision": 0.8154,
"Recall": 0.9815,
"Specificity": 0.9917,
"F1 score": 0.8908
},
"Center": {
"Precision": 0.9783,
"Recall": 0.5769,
"Specificity": 0.9997,
"F1 score": 0.7258
},
"Church": {
"Precision": 0.9118,
"Recall": 0.8611,
"Specificity": 0.998,
"F1 score": 0.8857
},
"Commercial": {
"Precision": 0.8547,
"Recall": 0.9524,
"Specificity": 0.9941,
"F1 score": 0.9009
},
"DenseResidential": {
"Precision": 0.955,
"Recall": 0.8618,
"Specificity": 0.9983,
"F1 score": 0.906
},
"Desert": {
"Precision": 0.9348,
"Recall": 0.9556,
"Specificity": 0.9979,
"F1 score": 0.9451
},
"Farmland": {
"Precision": 0.9533,
"Recall": 0.9189,
"Specificity": 0.9983,
"F1 score": 0.9358
},
"Forest": {
"Precision": 0.9178,
"Recall": 0.8933,
"Specificity": 0.9979,
"F1 score": 0.9054
},
"Industrial": {
"Precision": 0.9182,
"Recall": 0.8632,
"Specificity": 0.9969,
"F1 score": 0.8899
},
"Meadow": {
"Precision": 0.8557,
"Recall": 0.9881,
"Specificity": 0.9952,
"F1 score": 0.9171
},
"MediumResidential": {
"Precision": 0.8632,
"Recall": 0.9425,
"Specificity": 0.9955,
"F1 score": 0.9011
},
"Mountain": {
"Precision": 1.0,
"Recall": 0.8824,
"Specificity": 1.0,
"F1 score": 0.9375
},
"Park": {
"Precision": 0.8713,
"Recall": 0.8381,
"Specificity": 0.9955,
"F1 score": 0.8544
},
"Parking": {
"Precision": 1.0,
"Recall": 0.9744,
"Specificity": 1.0,
"F1 score": 0.987
},
"Playground": {
"Precision": 0.9153,
"Recall": 0.973,
"Specificity": 0.9965,
"F1 score": 0.9433
},
"Pond": {
"Precision": 0.9649,
"Recall": 0.873,
"Specificity": 0.9986,
"F1 score": 0.9167
},
"Port": {
"Precision": 0.9187,
"Recall": 0.9912,
"Specificity": 0.9965,
"F1 score": 0.9536
},
"RailwayStation": {
"Precision": 0.8202,
"Recall": 0.9359,
"Specificity": 0.9945,
"F1 score": 0.8742
},
"Resort": {
"Precision": 0.9054,
"Recall": 0.7701,
"Specificity": 0.9976,
"F1 score": 0.8323
},
"River": {
"Precision": 0.9902,
"Recall": 0.8211,
"Specificity": 0.9997,
"F1 score": 0.8978
},
"School": {
"Precision": 0.8095,
"Recall": 0.7556,
"Specificity": 0.9945,
"F1 score": 0.7816
},
"SparseResidential": {
"Precision": 1.0,
"Recall": 0.8889,
"Specificity": 1.0,
"F1 score": 0.9412
},
"Square": {
"Precision": 0.6454,
"Recall": 0.9192,
"Specificity": 0.9828,
"F1 score": 0.7583
},
"Stadium": {
"Precision": 1.0,
"Recall": 0.954,
"Specificity": 1.0,
"F1 score": 0.9765
},
"StorageTanks": {
"Precision": 0.9292,
"Recall": 0.9722,
"Specificity": 0.9972,
"F1 score": 0.9502
},
"Viaduct": {
"Precision": 0.947,
"Recall": 0.9921,
"Specificity": 0.9976,
"F1 score": 0.969
},
"mean precision": 0.9144200000000001,
"mean recall": 0.9069800000000002,
"mean specificity": 0.9968966666666665,
"mean f1 score": 0.9062366666666666
}
},
"epoch:2": {
"train info": {
"accuracy": 0.9882857142843025,
"Airport": {
"Precision": 0.996,
"Recall": 0.9921,
"Specificity": 0.9999,
"F1 score": 0.994
},
"BareLand": {
"Precision": 0.9677,
"Recall": 0.9677,
"Specificity": 0.999,
"F1 score": 0.9677
},
"BaseballField": {
"Precision": 1.0,
"Recall": 1.0,
"Specificity": 1.0,
"F1 score": 1.0
},
"Beach": {
"Precision": 1.0,
"Recall": 1.0,
"Specificity": 1.0,
"F1 score": 1.0
},
"Bridge": {
"Precision": 1.0,
"Recall": 0.996,
"Specificity": 1.0,
"F1 score": 0.998
},
"Center": {
"Precision": 0.9781,
"Recall": 0.9835,
"Specificity": 0.9994,
"F1 score": 0.9808
},
"Church": {
"Precision": 0.9765,
"Recall": 0.9881,
"Specificity": 0.9994,
"F1 score": 0.9823
},
"Commercial": {
"Precision": 0.9719,
"Recall": 0.9878,
"Specificity": 0.999,
"F1 score": 0.9798
},
"DenseResidential": {
"Precision": 0.9895,
"Recall": 0.9826,
"Specificity": 0.9996,
"F1 score": 0.986
},
"Desert": {
"Precision": 0.967,
"Recall": 0.9762,
"Specificity": 0.999,
"F1 score": 0.9716
},
"Farmland": {
"Precision": 1.0,
"Recall": 1.0,
"Specificity": 1.0,
"F1 score": 1.0
},
"Forest": {
"Precision": 0.983,
"Recall": 0.9886,
"Specificity": 0.9996,
"F1 score": 0.9858
},
"Industrial": {
"Precision": 0.9926,
"Recall": 0.989,
"Specificity": 0.9997,
"F1 score": 0.9908
},
"Meadow": {
"Precision": 0.9948,
"Recall": 0.9847,
"Specificity": 0.9999,
"F1 score": 0.9897
},
"MediumResidential": {
"Precision": 0.9806,
"Recall": 0.9951,
"Specificity": 0.9994,
"F1 score": 0.9878
},
"Mountain": {
"Precision": 1.0,
"Recall": 0.9958,
"Specificity": 1.0,
"F1 score": 0.9979
},
"Park": {
"Precision": 0.9516,
"Recall": 0.9633,
"Specificity": 0.9982,
"F1 score": 0.9574
},
"Parking": {
"Precision": 1.0,
"Recall": 0.9963,
"Specificity": 1.0,
"F1 score": 0.9981
},
"Playground": {
"Precision": 1.0,
"Recall": 0.9961,
"Specificity": 1.0,
"F1 score": 0.998
},
"Pond": {
"Precision": 0.9966,
"Recall": 0.9966,
"Specificity": 0.9999,
"F1 score": 0.9966
},
"Port": {
"Precision": 0.9925,
"Recall": 1.0,
"Specificity": 0.9997,
"F1 score": 0.9962
},
"RailwayStation": {
"Precision": 0.9838,
"Recall": 1.0,
"Specificity": 0.9996,
"F1 score": 0.9918
},
"Resort": {
"Precision": 0.9548,
"Recall": 0.936,
"Specificity": 0.9987,
"F1 score": 0.9453
},
"River": {
"Precision": 0.9965,
"Recall": 1.0,
"Specificity": 0.9999,
"F1 score": 0.9982
},
"School": {
"Precision": 0.9757,
"Recall": 0.9571,
"Specificity": 0.9993,
"F1 score": 0.9663
},
"SparseResidential": {
"Precision": 0.9952,
"Recall": 0.9857,
"Specificity": 0.9999,
"F1 score": 0.9904
},
"Square": {
"Precision": 0.9868,
"Recall": 0.974,
"Specificity": 0.9996,
"F1 score": 0.9804
},
"Stadium": {
"Precision": 0.9902,
"Recall": 1.0,
"Specificity": 0.9997,
"F1 score": 0.9951
},
"StorageTanks": {
"Precision": 1.0,
"Recall": 0.996,
"Specificity": 1.0,
"F1 score": 0.998
},
"Viaduct": {
"Precision": 1.0,
"Recall": 1.0,
"Specificity": 1.0,
"F1 score": 1.0
},
"mean precision": 0.98738,
"mean recall": 0.9876100000000001,
"mean specificity": 0.9996133333333334,
"mean f1 score": 0.9874666666666669
},
"valid info": {
"accuracy": 0.9079999999969733,
"Airport": {
"Precision": 0.9043,
"Recall": 0.963,
"Specificity": 0.9962,
"F1 score": 0.9327
},
"BareLand": {
"Precision": 0.9383,
"Recall": 0.8172,
"Specificity": 0.9983,
"F1 score": 0.8736
},
"BaseballField": {
"Precision": 0.9565,
"Recall": 1.0,
"Specificity": 0.999,
"F1 score": 0.9778
},
"Beach": {
"Precision": 0.9836,
"Recall": 1.0,
"Specificity": 0.9993,
"F1 score": 0.9917
},
"Bridge": {
"Precision": 1.0,
"Recall": 0.9537,
"Specificity": 1.0,
"F1 score": 0.9763
},
"Center": {
"Precision": 0.7184,
"Recall": 0.9487,
"Specificity": 0.9901,
"F1 score": 0.8176
},
"Church": {
"Precision": 0.7831,
"Recall": 0.9028,
"Specificity": 0.9939,
"F1 score": 0.8387
},
"Commercial": {
"Precision": 0.9062,
"Recall": 0.8286,
"Specificity": 0.9969,
"F1 score": 0.8657
},
"DenseResidential": {
"Precision": 0.7987,
"Recall": 0.9675,
"Specificity": 0.9896,
"F1 score": 0.875
},
"Desert": {
"Precision": 0.8776,
"Recall": 0.9556,
"Specificity": 0.9959,
"F1 score": 0.9149
},
"Farmland": {
"Precision": 1.0,
"Recall": 0.7838,
"Specificity": 1.0,
"F1 score": 0.8788
},
"Forest": {
"Precision": 1.0,
"Recall": 0.9333,
"Specificity": 1.0,
"F1 score": 0.9655
},
"Industrial": {
"Precision": 0.96,
"Recall": 0.8205,
"Specificity": 0.9986,
"F1 score": 0.8848
},
"Meadow": {
"Precision": 0.9873,
"Recall": 0.9286,
"Specificity": 0.9997,
"F1 score": 0.9571
},
"MediumResidential": {
"Precision": 0.9844,
"Recall": 0.7241,
"Specificity": 0.9997,
"F1 score": 0.8344
},
"Mountain": {
"Precision": 0.8947,
"Recall": 1.0,
"Specificity": 0.9959,
"F1 score": 0.9444
},
"Park": {
"Precision": 0.7014,
"Recall": 0.9619,
"Specificity": 0.9851,
"F1 score": 0.8113
},
"Parking": {
"Precision": 1.0,
"Recall": 0.9744,
"Specificity": 1.0,
"F1 score": 0.987
},
"Playground": {
"Precision": 0.8926,
"Recall": 0.973,
"Specificity": 0.9955,
"F1 score": 0.9311
},
"Pond": {
"Precision": 0.9603,
"Recall": 0.9603,
"Specificity": 0.9983,
"F1 score": 0.9603
},
"Port": {
"Precision": 1.0,
"Recall": 0.886,
"Specificity": 1.0,
"F1 score": 0.9396
},
"RailwayStation": {
"Precision": 0.7895,
"Recall": 0.9615,
"Specificity": 0.9932,
"F1 score": 0.8671
},
"Resort": {
"Precision": 0.8116,
"Recall": 0.6437,
"Specificity": 0.9955,
"F1 score": 0.718
},
"River": {
"Precision": 0.9835,
"Recall": 0.9675,
"Specificity": 0.9993,
"F1 score": 0.9754
},
"School": {
"Precision": 0.9492,
"Recall": 0.6222,
"Specificity": 0.999,
"F1 score": 0.7517
},
"SparseResidential": {
"Precision": 1.0,
"Recall": 0.9444,
"Specificity": 1.0,
"F1 score": 0.9714
},
"Square": {
"Precision": 0.7807,
"Recall": 0.899,
"Specificity": 0.9914,
"F1 score": 0.8357
},
"Stadium": {
"Precision": 0.9659,
"Recall": 0.977,
"Specificity": 0.999,
"F1 score": 0.9714
},
"StorageTanks": {
"Precision": 0.9789,
"Recall": 0.8611,
"Specificity": 0.9993,
"F1 score": 0.9162
},
"Viaduct": {
"Precision": 0.9259,
"Recall": 0.9921,
"Specificity": 0.9965,
"F1 score": 0.9579
},
"mean precision": 0.91442,
"mean recall": 0.9050499999999999,
"mean specificity": 0.9968400000000002,
"mean f1 score": 0.9041033333333333
}
},
"epoch:3": {
"train info": {
"accuracy": 0.9931428571414384,
"Airport": {
"Precision": 1.0,
"Recall": 1.0,
"Specificity": 1.0,
"F1 score": 1.0
},
"BareLand": {
"Precision": 0.9817,
"Recall": 0.9908,
"Specificity": 0.9994,
"F1 score": 0.9862
},
"BaseballField": {
"Precision": 1.0,
"Recall": 1.0,
"Specificity": 1.0,
"F1 score": 1.0
},
"Beach": {
"Precision": 0.9964,
"Recall": 0.9964,
"Specificity": 0.9999,
"F1 score": 0.9964
},
"Bridge": {
"Precision": 1.0,
"Recall": 1.0,
"Specificity": 1.0,
"F1 score": 1.0
},
"Center": {
"Precision": 0.9945,
"Recall": 0.989,
"Specificity": 0.9999,
"F1 score": 0.9917
},
"Church": {
"Precision": 1.0,
"Recall": 1.0,
"Specificity": 1.0,
"F1 score": 1.0
},
"Commercial": {
"Precision": 0.9644,
"Recall": 0.9959,
"Specificity": 0.9987,
"F1 score": 0.9799
},
"DenseResidential": {
"Precision": 0.9896,
"Recall": 0.993,
"Specificity": 0.9996,
"F1 score": 0.9913
},
"Desert": {
"Precision": 0.9903,
"Recall": 0.9762,
"Specificity": 0.9997,
"F1 score": 0.9832
},
"Farmland": {
"Precision": 1.0,
"Recall": 0.9961,
"Specificity": 1.0,
"F1 score": 0.998
},
"Forest": {
"Precision": 0.9943,
"Recall": 1.0,
"Specificity": 0.9999,
"F1 score": 0.9971
},
"Industrial": {
"Precision": 0.9963,
"Recall": 0.9963,
"Specificity": 0.9999,
"F1 score": 0.9963
},
"Meadow": {
"Precision": 0.9949,
"Recall": 1.0,
"Specificity": 0.9999,
"F1 score": 0.9974
},
"MediumResidential": {
"Precision": 0.9901,
"Recall": 0.9901,
"Specificity": 0.9997,
"F1 score": 0.9901
},
"Mountain": {
"Precision": 1.0,
"Recall": 0.9958,
"Specificity": 1.0,
"F1 score": 0.9979
},
"Park": {
"Precision": 0.9713,
"Recall": 0.9673,
"Specificity": 0.999,
"F1 score": 0.9693
},
"Parking": {
"Precision": 1.0,
"Recall": 0.9963,
"Specificity": 1.0,
"F1 score": 0.9981
},
"Playground": {
"Precision": 0.9923,
"Recall": 1.0,
"Specificity": 0.9997,
"F1 score": 0.9961
},
"Pond": {
"Precision": 1.0,
"Recall": 1.0,
"Specificity": 1.0,
"F1 score": 1.0
},
"Port": {
"Precision": 1.0,
"Recall": 1.0,
"Specificity": 1.0,
"F1 score": 1.0
},
"RailwayStation": {
"Precision": 1.0,
"Recall": 0.9945,
"Specificity": 1.0,
"F1 score": 0.9972
},
"Resort": {
"Precision": 0.975,
"Recall": 0.9606,
"Specificity": 0.9993,
"F1 score": 0.9677
},
"River": {
"Precision": 1.0,
"Recall": 1.0,
"Specificity": 1.0,
"F1 score": 1.0
},
"School": {
"Precision": 0.9761,
"Recall": 0.9714,
"Specificity": 0.9993,
"F1 score": 0.9737
},
"SparseResidential": {
"Precision": 1.0,
"Recall": 1.0,
"Specificity": 1.0,
"F1 score": 1.0
},
"Square": {
"Precision": 0.9956,
"Recall": 0.987,
"Specificity": 0.9999,
"F1 score": 0.9913
},
"Stadium": {
"Precision": 1.0,
"Recall": 0.9901,
"Specificity": 1.0,
"F1 score": 0.995
},
"StorageTanks": {
"Precision": 0.9921,
"Recall": 0.996,
"Specificity": 0.9997,
"F1 score": 0.994
},
"Viaduct": {
"Precision": 0.9966,
"Recall": 1.0,
"Specificity": 0.9999,
"F1 score": 0.9983
},
"mean precision": 0.9930500000000001,
"mean recall": 0.99276,
"mean specificity": 0.9997800000000002,
"mean f1 score": 0.9928733333333333
},
"valid info": {
"accuracy": 0.901333333330329,
"Airport": {
"Precision": 0.9806,
"Recall": 0.9352,
"Specificity": 0.9993,
"F1 score": 0.9574
},
"BareLand": {
"Precision": 0.875,
"Recall": 0.9785,
"Specificity": 0.9955,
"F1 score": 0.9239
},
"BaseballField": {
"Precision": 1.0,
"Recall": 1.0,
"Specificity": 1.0,
"F1 score": 1.0
},
"Beach": {
"Precision": 0.9917,
"Recall": 1.0,
"Specificity": 0.9997,
"F1 score": 0.9958
},
"Bridge": {
"Precision": 0.9811,
"Recall": 0.963,
"Specificity": 0.9993,
"F1 score": 0.972
},
"Center": {
"Precision": 0.7048,
"Recall": 0.9487,
"Specificity": 0.9894,
"F1 score": 0.8088
},
"Church": {
"Precision": 0.8732,
"Recall": 0.8611,
"Specificity": 0.9969,
"F1 score": 0.8671
},
"Commercial": {
"Precision": 0.6755,
"Recall": 0.9714,
"Specificity": 0.9831,
"F1 score": 0.7969
},
"DenseResidential": {
"Precision": 0.9386,
"Recall": 0.8699,
"Specificity": 0.9976,
"F1 score": 0.9029
},
"Desert": {
"Precision": 1.0,
"Recall": 0.8222,
"Specificity": 1.0,
"F1 score": 0.9024
},
"Farmland": {
"Precision": 0.9633,
"Recall": 0.9459,
"Specificity": 0.9986,
"F1 score": 0.9545
},
"Forest": {
"Precision": 1.0,
"Recall": 0.88,
"Specificity": 1.0,
"F1 score": 0.9362
},
"Industrial": {
"Precision": 0.8519,
"Recall": 0.7863,
"Specificity": 0.9945,
"F1 score": 0.8178
},
"Meadow": {
"Precision": 0.987,
"Recall": 0.9048,
"Specificity": 0.9997,
"F1 score": 0.9441
},
"MediumResidential": {
"Precision": 0.8804,
"Recall": 0.931,
"Specificity": 0.9962,
"F1 score": 0.905
},
"Mountain": {
"Precision": 0.9182,
"Recall": 0.9902,
"Specificity": 0.9969,
"F1 score": 0.9528
},
"Park": {
"Precision": 1.0,
"Recall": 0.6095,
"Specificity": 1.0,
"F1 score": 0.7574
},
"Parking": {
"Precision": 0.9669,
"Recall": 1.0,
"Specificity": 0.9986,
"F1 score": 0.9832
},
"Playground": {
"Precision": 0.9907,
"Recall": 0.955,
"Specificity": 0.9997,
"F1 score": 0.9725
},
"Pond": {
"Precision": 0.959,
"Recall": 0.9286,
"Specificity": 0.9983,
"F1 score": 0.9436
},
"Port": {
"Precision": 0.9895,
"Recall": 0.8246,
"Specificity": 0.9997,
"F1 score": 0.8996
},
"RailwayStation": {
"Precision": 1.0,
"Recall": 0.359,
"Specificity": 1.0,
"F1 score": 0.5283
},
"Resort": {
"Precision": 0.5484,
"Recall": 0.977,
"Specificity": 0.976,
"F1 score": 0.7025
},
"River": {
"Precision": 0.8824,
"Recall": 0.9756,
"Specificity": 0.9944,
"F1 score": 0.9267
},
"School": {
"Precision": 0.8,
"Recall": 0.8444,
"Specificity": 0.9935,
"F1 score": 0.8216
},
"SparseResidential": {
"Precision": 1.0,
"Recall": 0.9333,
"Specificity": 1.0,
"F1 score": 0.9655
},
"Square": {
"Precision": 0.8495,
"Recall": 0.798,
"Specificity": 0.9952,
"F1 score": 0.8229
},
"Stadium": {
"Precision": 0.9663,
"Recall": 0.9885,
"Specificity": 0.999,
"F1 score": 0.9773
},
"StorageTanks": {
"Precision": 1.0,
"Recall": 0.9352,
"Specificity": 1.0,
"F1 score": 0.9665
},
"Viaduct": {
"Precision": 0.9398,
"Recall": 0.9921,
"Specificity": 0.9972,
"F1 score": 0.9652
},
"mean precision": 0.9171266666666668,
"mean recall": 0.8969666666666666,
"mean specificity": 0.99661,
"mean f1 score": 0.89568
}
},
"epoch:4": {
"train info": {
"accuracy": 0.9971428571414327,
"Airport": {
"Precision": 0.996,
"Recall": 1.0,
"Specificity": 0.9999,
"F1 score": 0.998
},
"BareLand": {
"Precision": 0.9908,
"Recall": 0.9908,
"Specificity": 0.9997,
"F1 score": 0.9908
},
"BaseballField": {
"Precision": 1.0,
"Recall": 1.0,
"Specificity": 1.0,
"F1 score": 1.0
},
"Beach": {
"Precision": 1.0,
"Recall": 1.0,
"Specificity": 1.0,
"F1 score": 1.0
},
"Bridge": {
"Precision": 1.0,
"Recall": 1.0,
"Specificity": 1.0,
"F1 score": 1.0
},
"Center": {
"Precision": 0.9945,
"Recall": 0.9945,
"Specificity": 0.9999,
"F1 score": 0.9945
},
"Church": {
"Precision": 1.0,
"Recall": 0.994,
"Specificity": 1.0,
"F1 score": 0.997
},
"Commercial": {
"Precision": 1.0,
"Recall": 0.9959,
"Specificity": 1.0,
"F1 score": 0.9979
},
"DenseResidential": {
"Precision": 0.9965,
"Recall": 0.9965,
"Specificity": 0.9999,
"F1 score": 0.9965
},
"Desert": {
"Precision": 0.9905,
"Recall": 0.9905,
"Specificity": 0.9997,
"F1 score": 0.9905
},
"Farmland": {
"Precision": 1.0,
"Recall": 1.0,
"Specificity": 1.0,
"F1 score": 1.0
},
"Forest": {
"Precision": 1.0,
"Recall": 1.0,
"Specificity": 1.0,
"F1 score": 1.0
},
"Industrial": {
"Precision": 1.0,
"Recall": 0.9963,
"Specificity": 1.0,
"F1 score": 0.9981
},
"Meadow": {
"Precision": 1.0,
"Recall": 1.0,
"Specificity": 1.0,
"F1 score": 1.0
},
"MediumResidential": {
"Precision": 0.9951,
"Recall": 0.9951,
"Specificity": 0.9999,
"F1 score": 0.9951
},
"Mountain": {
"Precision": 1.0,
"Recall": 1.0,
"Specificity": 1.0,
"F1 score": 1.0
},
"Park": {
"Precision": 0.9839,
"Recall": 0.9959,
"Specificity": 0.9994,
"F1 score": 0.9899
},
"Parking": {
"Precision": 1.0,
"Recall": 1.0,
"Specificity": 1.0,
"F1 score": 1.0
},
"Playground": {
"Precision": 0.9961,
"Recall": 0.9961,
"Specificity": 0.9999,
"F1 score": 0.9961
},
"Pond": {
"Precision": 1.0,
"Recall": 1.0,
"Specificity": 1.0,
"F1 score": 1.0
},
"Port": {
"Precision": 1.0,
"Recall": 1.0,
"Specificity": 1.0,
"F1 score": 1.0
},
"RailwayStation": {
"Precision": 0.9945,
"Recall": 1.0,
"Specificity": 0.9999,
"F1 score": 0.9972
},
"Resort": {
"Precision": 0.995,
"Recall": 0.9754,
"Specificity": 0.9999,
"F1 score": 0.9851
},
"River": {
"Precision": 1.0,
"Recall": 1.0,
"Specificity": 1.0,
"F1 score": 1.0
},
"School": {
"Precision": 0.9813,
"Recall": 1.0,
"Specificity": 0.9994,
"F1 score": 0.9906
},
"SparseResidential": {
"Precision": 1.0,
"Recall": 1.0,
"Specificity": 1.0,
"F1 score": 1.0
},
"Square": {
"Precision": 1.0,
"Recall": 0.9957,
"Specificity": 1.0,
"F1 score": 0.9978
},
"Stadium": {
"Precision": 0.9951,
"Recall": 0.9951,
"Specificity": 0.9999,
"F1 score": 0.9951
},
"StorageTanks": {
"Precision": 1.0,
"Recall": 0.996,
"Specificity": 1.0,
"F1 score": 0.998
},
"Viaduct": {
"Precision": 1.0,
"Recall": 1.0,
"Specificity": 1.0,
"F1 score": 1.0
},
"mean precision": 0.9969766666666667,
"mean recall": 0.9969266666666666,
"mean specificity": 0.9999133333333334,
"mean f1 score": 0.99694
},
"valid info": {
"accuracy": 0.9369999999968767,
"Airport": {
"Precision": 0.9633,
"Recall": 0.9722,
"Specificity": 0.9986,
"F1 score": 0.9677
},
"BareLand": {
"Precision": 0.9659,
"Recall": 0.914,
"Specificity": 0.999,
"F1 score": 0.9392
},
"BaseballField": {
"Precision": 0.9296,
"Recall": 1.0,
"Specificity": 0.9983,
"F1 score": 0.9635
},
"Beach": {
"Precision": 0.9917,
"Recall": 1.0,
"Specificity": 0.9997,
"F1 score": 0.9958
},
"Bridge": {
"Precision": 0.9815,
"Recall": 0.9815,
"Specificity": 0.9993,
"F1 score": 0.9815
},
"Center": {
"Precision": 0.7624,
"Recall": 0.9872,
"Specificity": 0.9918,
"F1 score": 0.8604
},
"Church": {
"Precision": 0.8571,
"Recall": 0.9167,
"Specificity": 0.9962,
"F1 score": 0.8859
},
"Commercial": {
"Precision": 0.8738,
"Recall": 0.8571,
"Specificity": 0.9955,
"F1 score": 0.8654
},
"DenseResidential": {
"Precision": 0.9811,
"Recall": 0.8455,
"Specificity": 0.9993,
"F1 score": 0.9083
},
"Desert": {
"Precision": 0.9255,
"Recall": 0.9667,
"Specificity": 0.9976,
"F1 score": 0.9457
},
"Farmland": {
"Precision": 0.9813,
"Recall": 0.9459,
"Specificity": 0.9993,
"F1 score": 0.9633
},
"Forest": {
"Precision": 1.0,
"Recall": 0.96,
"Specificity": 1.0,
"F1 score": 0.9796
},
"Industrial": {
"Precision": 0.9626,
"Recall": 0.8803,
"Specificity": 0.9986,
"F1 score": 0.9196
},
"Meadow": {
"Precision": 0.988,
"Recall": 0.9762,
"Specificity": 0.9997,
"F1 score": 0.9821
},
"MediumResidential": {
"Precision": 0.8737,
"Recall": 0.954,
"Specificity": 0.9959,
"F1 score": 0.9121
},
"Mountain": {
"Precision": 0.9623,
"Recall": 1.0,
"Specificity": 0.9986,
"F1 score": 0.9808
},
"Park": {
"Precision": 0.8475,
"Recall": 0.9524,
"Specificity": 0.9938,
"F1 score": 0.8969
},
"Parking": {
"Precision": 0.9832,
"Recall": 1.0,
"Specificity": 0.9993,
"F1 score": 0.9915
},
"Playground": {
"Precision": 0.7986,
"Recall": 1.0,
"Specificity": 0.9903,
"F1 score": 0.888
},
"Pond": {
"Precision": 0.8794,
"Recall": 0.9841,
"Specificity": 0.9941,
"F1 score": 0.9288
},
"Port": {
"Precision": 0.9906,
"Recall": 0.9211,
"Specificity": 0.9997,
"F1 score": 0.9546
},
"RailwayStation": {
"Precision": 0.9375,
"Recall": 0.9615,
"Specificity": 0.9983,
"F1 score": 0.9493
},
"Resort": {
"Precision": 0.9625,
"Recall": 0.8851,
"Specificity": 0.999,
"F1 score": 0.9222
},
"River": {
"Precision": 0.9915,
"Recall": 0.9431,
"Specificity": 0.9997,
"F1 score": 0.9667
},
"School": {
"Precision": 0.9429,
"Recall": 0.7333,
"Specificity": 0.9986,
"F1 score": 0.825
},
"SparseResidential": {
"Precision": 0.9674,
"Recall": 0.9889,
"Specificity": 0.999,
"F1 score": 0.978
},
"Square": {
"Precision": 0.963,
"Recall": 0.7879,
"Specificity": 0.999,
"F1 score": 0.8667
},
"Stadium": {
"Precision": 1.0,
"Recall": 0.8046,
"Specificity": 1.0,
"F1 score": 0.8917
},
"StorageTanks": {
"Precision": 0.9292,
"Recall": 0.9722,
"Specificity": 0.9972,
"F1 score": 0.9502
},
"Viaduct": {
"Precision": 0.9921,
"Recall": 0.9921,
"Specificity": 0.9997,
"F1 score": 0.9921
},
"mean precision": 0.9395066666666667,
"mean recall": 0.9361200000000003,
"mean specificity": 0.9978366666666666,
"mean f1 score": 0.9350866666666668
}
},
"epoch:5": {
"train info": {
"accuracy": 0.9977142857128605,
"Airport": {
"Precision": 1.0,
"Recall": 1.0,
"Specificity": 1.0,
"F1 score": 1.0
},
"BareLand": {
"Precision": 0.9862,
"Recall": 0.9908,
"Specificity": 0.9996,
"F1 score": 0.9885
},
"BaseballField": {
"Precision": 1.0,
"Recall": 1.0,
"Specificity": 1.0,
"F1 score": 1.0
},
"Beach": {
"Precision": 1.0,
"Recall": 1.0,
"Specificity": 1.0,
"F1 score": 1.0
},
"Bridge": {
"Precision": 1.0,
"Recall": 1.0,
"Specificity": 1.0,
"F1 score": 1.0
},
"Center": {
"Precision": 0.9945,
"Recall": 1.0,
"Specificity": 0.9999,
"F1 score": 0.9972
},
"Church": {
"Precision": 1.0,
"Recall": 0.994,
"Specificity": 1.0,
"F1 score": 0.997
},
"Commercial": {
"Precision": 1.0,
"Recall": 0.9959,
"Specificity": 1.0,
"F1 score": 0.9979
},
"DenseResidential": {
"Precision": 0.9965,
"Recall": 0.9965,
"Specificity": 0.9999,
"F1 score": 0.9965
},
"Desert": {
"Precision": 0.9904,
"Recall": 0.9857,
"Specificity": 0.9997,
"F1 score": 0.988
},
"Farmland": {
"Precision": 1.0,
"Recall": 0.9923,
"Specificity": 1.0,
"F1 score": 0.9961
},
"Forest": {
"Precision": 0.9943,
"Recall": 1.0,
"Specificity": 0.9999,
"F1 score": 0.9971
},
"Industrial": {
"Precision": 1.0,
"Recall": 1.0,
"Specificity": 1.0,
"F1 score": 1.0
},
"Meadow": {
"Precision": 1.0,
"Recall": 1.0,
"Specificity": 1.0,
"F1 score": 1.0
},
"MediumResidential": {
"Precision": 0.9951,
"Recall": 0.9951,
"Specificity": 0.9999,
"F1 score": 0.9951
},
"Mountain": {
"Precision": 1.0,
"Recall": 1.0,
"Specificity": 1.0,
"F1 score": 1.0
},
"Park": {
"Precision": 0.9799,
"Recall": 0.9959,
"Specificity": 0.9993,
"F1 score": 0.9878
},
"Parking": {
"Precision": 1.0,
"Recall": 1.0,
"Specificity": 1.0,
"F1 score": 1.0
},
"Playground": {
"Precision": 1.0,
"Recall": 1.0,
"Specificity": 1.0,
"F1 score": 1.0
},
"Pond": {
"Precision": 1.0,
"Recall": 1.0,
"Specificity": 1.0,
"F1 score": 1.0
},
"Port": {
"Precision": 1.0,
"Recall": 1.0,
"Specificity": 1.0,
"F1 score": 1.0
},
"RailwayStation": {
"Precision": 1.0,
"Recall": 1.0,
"Specificity": 1.0,
"F1 score": 1.0
},
"Resort": {
"Precision": 0.995,
"Recall": 0.9852,
"Specificity": 0.9999,
"F1 score": 0.9901
},
"River": {
"Precision": 0.9965,
"Recall": 1.0,
"Specificity": 0.9999,
"F1 score": 0.9982
},
"School": {
"Precision": 1.0,
"Recall": 1.0,
"Specificity": 1.0,
"F1 score": 1.0
},
"SparseResidential": {
"Precision": 1.0,
"Recall": 1.0,
"Specificity": 1.0,
"F1 score": 1.0
},
"Square": {
"Precision": 1.0,
"Recall": 0.9957,
"Specificity": 1.0,
"F1 score": 0.9978
},
"Stadium": {
"Precision": 1.0,
"Recall": 1.0,
"Specificity": 1.0,
"F1 score": 1.0
},
"StorageTanks": {
"Precision": 1.0,
"Recall": 1.0,
"Specificity": 1.0,
"F1 score": 1.0
},
"Viaduct": {
"Precision": 1.0,
"Recall": 1.0,
"Specificity": 1.0,
"F1 score": 1.0
},
"mean precision": 0.9976133333333335,
"mean recall": 0.99757,
"mean specificity": 0.9999333333333333,
"mean f1 score": 0.9975766666666668
},
"valid info": {
"accuracy": 0.9416666666635278,
"Airport": {
"Precision": 0.9901,
"Recall": 0.9259,
"Specificity": 0.9997,
"F1 score": 0.9569
},
"BareLand": {
"Precision": 0.9286,
"Recall": 0.9785,
"Specificity": 0.9976,
"F1 score": 0.9529
},
"BaseballField": {
"Precision": 0.9706,
"Recall": 1.0,
"Specificity": 0.9993,
"F1 score": 0.9851
},
"Beach": {
"Precision": 1.0,
"Recall": 0.9917,
"Specificity": 1.0,
"F1 score": 0.9958
},
"Bridge": {
"Precision": 0.906,
"Recall": 0.9815,
"Specificity": 0.9962,
"F1 score": 0.9422
},
"Center": {
"Precision": 0.8111,
"Recall": 0.9359,
"Specificity": 0.9942,
"F1 score": 0.869
},
"Church": {
"Precision": 0.8904,
"Recall": 0.9028,
"Specificity": 0.9973,
"F1 score": 0.8966
},
"Commercial": {
"Precision": 0.8972,
"Recall": 0.9143,
"Specificity": 0.9962,
"F1 score": 0.9057
},
"DenseResidential": {
"Precision": 0.9,
"Recall": 0.9512,
"Specificity": 0.9955,
"F1 score": 0.9249
},
"Desert": {
"Precision": 1.0,
"Recall": 0.9222,
"Specificity": 1.0,
"F1 score": 0.9595
},
"Farmland": {
"Precision": 0.9569,
"Recall": 1.0,
"Specificity": 0.9983,
"F1 score": 0.978
},
"Forest": {
"Precision": 1.0,
"Recall": 0.9733,
"Specificity": 1.0,
"F1 score": 0.9865
},
"Industrial": {
"Precision": 0.8814,
"Recall": 0.8889,
"Specificity": 0.9951,
"F1 score": 0.8851
},
"Meadow": {
"Precision": 0.9881,
"Recall": 0.9881,
"Specificity": 0.9997,
"F1 score": 0.9881
},
"MediumResidential": {
"Precision": 0.9432,
"Recall": 0.954,
"Specificity": 0.9983,
"F1 score": 0.9486
},
"Mountain": {
"Precision": 1.0,
"Recall": 0.9902,
"Specificity": 1.0,
"F1 score": 0.9951
},
"Park": {
"Precision": 0.9778,
"Recall": 0.8381,
"Specificity": 0.9993,
"F1 score": 0.9026
},
"Parking": {
"Precision": 0.9435,
"Recall": 1.0,
"Specificity": 0.9976,
"F1 score": 0.9709
},
"Playground": {
"Precision": 0.9652,
"Recall": 1.0,
"Specificity": 0.9986,
"F1 score": 0.9823
},
"Pond": {
"Precision": 0.9836,
"Recall": 0.9524,
"Specificity": 0.9993,
"F1 score": 0.9677
},
"Port": {
"Precision": 0.9907,
"Recall": 0.9386,
"Specificity": 0.9997,
"F1 score": 0.9639
},
"RailwayStation": {
"Precision": 0.8391,
"Recall": 0.9359,
"Specificity": 0.9952,
"F1 score": 0.8849
},
"Resort": {
"Precision": 0.9189,
"Recall": 0.7816,
"Specificity": 0.9979,
"F1 score": 0.8447
},
"River": {
"Precision": 0.982,
"Recall": 0.8862,
"Specificity": 0.9993,
"F1 score": 0.9316
},
"School": {
"Precision": 0.7549,
"Recall": 0.8556,
"Specificity": 0.9914,
"F1 score": 0.8021
},
"SparseResidential": {
"Precision": 1.0,
"Recall": 0.9778,
"Specificity": 1.0,
"F1 score": 0.9888
},
"Square": {
"Precision": 0.8737,
"Recall": 0.8384,
"Specificity": 0.9959,
"F1 score": 0.8557
},
"Stadium": {
"Precision": 1.0,
"Recall": 0.9885,
"Specificity": 1.0,
"F1 score": 0.9942
},
"StorageTanks": {
"Precision": 0.9902,
"Recall": 0.9352,
"Specificity": 0.9997,
"F1 score": 0.9619
},
"Viaduct": {
"Precision": 0.9692,
"Recall": 1.0,
"Specificity": 0.9986,
"F1 score": 0.9844
},
"mean precision": 0.9417466666666665,
"mean recall": 0.9408933333333332,
"mean specificity": 0.9979966666666669,
"mean f1 score": 0.9401899999999997
}
},
"epoch:6": {
"train info": {
"accuracy": 0.9989999999985729,
"Airport": {
"Precision": 0.996,
"Recall": 1.0,
"Specificity": 0.9999,
"F1 score": 0.998
},
"BareLand": {
"Precision": 1.0,
"Recall": 1.0,
"Specificity": 1.0,
"F1 score": 1.0
},
"BaseballField": {
"Precision": 1.0,
"Recall": 1.0,
"Specificity": 1.0,
"F1 score": 1.0
},
"Beach": {
"Precision": 1.0,
"Recall": 1.0,
"Specificity": 1.0,
"F1 score": 1.0
},
"Bridge": {
"Precision": 0.996,
"Recall": 1.0,
"Specificity": 0.9999,
"F1 score": 0.998
},
"Center": {
"Precision": 1.0,
"Recall": 1.0,
"Specificity": 1.0,
"F1 score": 1.0
},
"Church": {
"Precision": 1.0,
"Recall": 1.0,
"Specificity": 1.0,
"F1 score": 1.0
},
"Commercial": {
"Precision": 0.9919,
"Recall": 0.9959,
"Specificity": 0.9997,
"F1 score": 0.9939
},
"DenseResidential": {
"Precision": 1.0,
"Recall": 1.0,
"Specificity": 1.0,
"F1 score": 1.0
},
"Desert": {
"Precision": 1.0,
"Recall": 1.0,
"Specificity": 1.0,
"F1 score": 1.0
},
"Farmland": {
"Precision": 1.0,
"Recall": 1.0,
"Specificity": 1.0,
"F1 score": 1.0
},
"Forest": {
"Precision": 1.0,
"Recall": 1.0,
"Specificity": 1.0,
"F1 score": 1.0
},
"Industrial": {
"Precision": 1.0,
"Recall": 0.9963,
"Specificity": 1.0,
"F1 score": 0.9981
},
"Meadow": {
"Precision": 1.0,
"Recall": 1.0,
"Specificity": 1.0,
"F1 score": 1.0
},
"MediumResidential": {
"Precision": 1.0,
"Recall": 1.0,
"Specificity": 1.0,
"F1 score": 1.0
},
"Mountain": {
"Precision": 1.0,
"Recall": 1.0,
"Specificity": 1.0,
"F1 score": 1.0
},
"Park": {
"Precision": 0.9959,
"Recall": 0.9959,
"Specificity": 0.9999,
"F1 score": 0.9959
},
"Parking": {
"Precision": 1.0,
"Recall": 1.0,
"Specificity": 1.0,
"F1 score": 1.0
},
"Playground": {
"Precision": 1.0,
"Recall": 1.0,
"Specificity": 1.0,
"F1 score": 1.0
},
"Pond": {
"Precision": 1.0,
"Recall": 0.9966,
"Specificity": 1.0,
"F1 score": 0.9983
},
"Port": {
"Precision": 1.0,
"Recall": 1.0,
"Specificity": 1.0,
"F1 score": 1.0
},
"RailwayStation": {
"Precision": 1.0,
"Recall": 1.0,
"Specificity": 1.0,
"F1 score": 1.0
},
"Resort": {
"Precision": 0.9951,
"Recall": 0.9951,
"Specificity": 0.9999,
"F1 score": 0.9951
},
"River": {
"Precision": 1.0,
"Recall": 1.0,
"Specificity": 1.0,
"F1 score": 1.0
},
"School": {
"Precision": 0.9952,
"Recall": 0.9905,
"Specificity": 0.9999,
"F1 score": 0.9928
},
"SparseResidential": {
"Precision": 1.0,
"Recall": 1.0,
"Specificity": 1.0,
"F1 score": 1.0
},
"Square": {
"Precision": 1.0,
"Recall": 1.0,
"Specificity": 1.0,
"F1 score": 1.0
},
"Stadium": {
"Precision": 1.0,
"Recall": 1.0,
"Specificity": 1.0,
"F1 score": 1.0
},
"StorageTanks": {
"Precision": 1.0,
"Recall": 1.0,
"Specificity": 1.0,
"F1 score": 1.0
},
"Viaduct": {
"Precision": 1.0,
"Recall": 1.0,
"Specificity": 1.0,
"F1 score": 1.0
},
"mean precision": 0.9990033333333334,
"mean recall": 0.9990100000000001,
"mean specificity": 0.9999733333333334,
"mean f1 score": 0.9990033333333332
},
"valid info": {
"accuracy": 0.9556666666634811,
"Airport": {
"Precision": 1.0,
"Recall": 0.9074,
"Specificity": 1.0,
"F1 score": 0.9515
},
"BareLand": {
"Precision": 0.9684,
"Recall": 0.9892,
"Specificity": 0.999,
"F1 score": 0.9787
},
"BaseballField": {
"Precision": 0.9851,
"Recall": 1.0,
"Specificity": 0.9997,
"F1 score": 0.9925
},
"Beach": {
"Precision": 1.0,
"Recall": 1.0,
"Specificity": 1.0,
"F1 score": 1.0
},
"Bridge": {
"Precision": 0.9906,
"Recall": 0.9722,
"Specificity": 0.9997,
"F1 score": 0.9813
},
"Center": {
"Precision": 0.8861,
"Recall": 0.8974,
"Specificity": 0.9969,
"F1 score": 0.8917
},
"Church": {
"Precision": 0.9286,
"Recall": 0.9028,
"Specificity": 0.9983,
"F1 score": 0.9155
},
"Commercial": {
"Precision": 0.8621,
"Recall": 0.9524,
"Specificity": 0.9945,
"F1 score": 0.905
},
"DenseResidential": {
"Precision": 0.9134,
"Recall": 0.9431,
"Specificity": 0.9962,
"F1 score": 0.928
},
"Desert": {
"Precision": 0.9888,
"Recall": 0.9778,
"Specificity": 0.9997,
"F1 score": 0.9833
},
"Farmland": {
"Precision": 0.9817,
"Recall": 0.964,
"Specificity": 0.9993,
"F1 score": 0.9728
},
"Forest": {
"Precision": 1.0,
"Recall": 0.9333,
"Specificity": 1.0,
"F1 score": 0.9655
},
"Industrial": {
"Precision": 0.9231,
"Recall": 0.9231,
"Specificity": 0.9969,
"F1 score": 0.9231
},
"Meadow": {
"Precision": 1.0,
"Recall": 0.9881,
"Specificity": 1.0,
"F1 score": 0.994
},
"MediumResidential": {
"Precision": 0.9438,
"Recall": 0.9655,
"Specificity": 0.9983,
"F1 score": 0.9545
},
"Mountain": {
"Precision": 0.9623,
"Recall": 1.0,
"Specificity": 0.9986,
"F1 score": 0.9808
},
"Park": {
"Precision": 0.8772,
"Recall": 0.9524,
"Specificity": 0.9952,
"F1 score": 0.9133
},
"Parking": {
"Precision": 0.9831,
"Recall": 0.9915,
"Specificity": 0.9993,
"F1 score": 0.9873
},
"Playground": {
"Precision": 0.9569,
"Recall": 1.0,
"Specificity": 0.9983,
"F1 score": 0.978
},
"Pond": {
"Precision": 0.9685,
"Recall": 0.9762,
"Specificity": 0.9986,
"F1 score": 0.9723
},
"Port": {
"Precision": 0.9737,
"Recall": 0.9737,
"Specificity": 0.999,
"F1 score": 0.9737
},
"RailwayStation": {
"Precision": 0.961,
"Recall": 0.9487,
"Specificity": 0.999,
"F1 score": 0.9548
},
"Resort": {
"Precision": 0.9157,
"Recall": 0.8736,
"Specificity": 0.9976,
"F1 score": 0.8942
},
"River": {
"Precision": 0.976,
"Recall": 0.9919,
"Specificity": 0.999,
"F1 score": 0.9839
},
"School": {
"Precision": 0.8506,
"Recall": 0.8222,
"Specificity": 0.9955,
"F1 score": 0.8362
},
"SparseResidential": {
"Precision": 1.0,
"Recall": 0.9778,
"Specificity": 1.0,
"F1 score": 0.9888
},
"Square": {
"Precision": 0.9341,
"Recall": 0.8586,
"Specificity": 0.9979,
"F1 score": 0.8948
},
"Stadium": {
"Precision": 1.0,
"Recall": 0.9425,
"Specificity": 1.0,
"F1 score": 0.9704
},
"StorageTanks": {
"Precision": 0.9722,
"Recall": 0.9722,
"Specificity": 0.999,
"F1 score": 0.9722
},
"Viaduct": {
"Precision": 0.9767,
"Recall": 1.0,
"Specificity": 0.999,
"F1 score": 0.9882
},
"mean precision": 0.95599,
"mean recall": 0.9532533333333332,
"mean specificity": 0.9984833333333332,
"mean f1 score": 0.9542100000000002
}
},
"epoch:7": {
"train info": {
"accuracy": 0.9995714285700006,
"Airport": {
"Precision": 1.0,
"Recall": 1.0,
"Specificity": 1.0,
"F1 score": 1.0
},
"BareLand": {
"Precision": 1.0,
"Recall": 1.0,
"Specificity": 1.0,
"F1 score": 1.0
},
"BaseballField": {
"Precision": 1.0,
"Recall": 1.0,
"Specificity": 1.0,
"F1 score": 1.0
},
"Beach": {
"Precision": 1.0,
"Recall": 1.0,
"Specificity": 1.0,
"F1 score": 1.0
},
"Bridge": {
"Precision": 1.0,
"Recall": 1.0,
"Specificity": 1.0,
"F1 score": 1.0
},
"Center": {
"Precision": 1.0,
"Recall": 1.0,
"Specificity": 1.0,
"F1 score": 1.0
},
"Church": {
"Precision": 0.9941,
"Recall": 1.0,
"Specificity": 0.9999,
"F1 score": 0.997
},
"Commercial": {
"Precision": 1.0,
"Recall": 0.9959,
"Specificity": 1.0,
"F1 score": 0.9979
},
"DenseResidential": {
"Precision": 1.0,
"Recall": 1.0,
"Specificity": 1.0,
"F1 score": 1.0
},
"Desert": {
"Precision": 1.0,
"Recall": 1.0,
"Specificity": 1.0,
"F1 score": 1.0
},
"Farmland": {
"Precision": 1.0,
"Recall": 1.0,
"Specificity": 1.0,
"F1 score": 1.0
},
"Forest": {
"Precision": 1.0,
"Recall": 1.0,
"Specificity": 1.0,
"F1 score": 1.0
},
"Industrial": {
"Precision": 1.0,
"Recall": 1.0,
"Specificity": 1.0,
"F1 score": 1.0
},
"Meadow": {
"Precision": 1.0,
"Recall": 1.0,
"Specificity": 1.0,
"F1 score": 1.0
},
"MediumResidential": {
"Precision": 1.0,
"Recall": 1.0,
"Specificity": 1.0,
"F1 score": 1.0
},
"Mountain": {
"Precision": 1.0,
"Recall": 1.0,
"Specificity": 1.0,
"F1 score": 1.0
},
"Park": {
"Precision": 1.0,
"Recall": 1.0,
"Specificity": 1.0,
"F1 score": 1.0
},
"Parking": {
"Precision": 1.0,
"Recall": 1.0,
"Specificity": 1.0,
"F1 score": 1.0
},
"Playground": {
"Precision": 0.9962,
"Recall": 1.0,
"Specificity": 0.9999,
"F1 score": 0.9981
},
"Pond": {
"Precision": 1.0,
"Recall": 1.0,
"Specificity": 1.0,
"F1 score": 1.0
},
"Port": {
"Precision": 1.0,
"Recall": 1.0,
"Specificity": 1.0,
"F1 score": 1.0
},
"RailwayStation": {
"Precision": 1.0,
"Recall": 1.0,
"Specificity": 1.0,
"F1 score": 1.0
},
"Resort": {
"Precision": 1.0,
"Recall": 1.0,
"Specificity": 1.0,
"F1 score": 1.0
},
"River": {
"Precision": 1.0,
"Recall": 1.0,
"Specificity": 1.0,
"F1 score": 1.0
},
"School": {
"Precision": 0.9952,
"Recall": 0.9952,
"Specificity": 0.9999,
"F1 score": 0.9952
},
"SparseResidential": {
"Precision": 1.0,
"Recall": 1.0,
"Specificity": 1.0,
"F1 score": 1.0
},
"Square": {
"Precision": 1.0,
"Recall": 1.0,
"Specificity": 1.0,
"F1 score": 1.0
},
"Stadium": {
"Precision": 1.0,
"Recall": 0.9951,
"Specificity": 1.0,
"F1 score": 0.9975
},
"StorageTanks": {
"Precision": 1.0,
"Recall": 1.0,
"Specificity": 1.0,
"F1 score": 1.0
},
"Viaduct": {
"Precision": 1.0,
"Recall": 1.0,
"Specificity": 1.0,
"F1 score": 1.0
},
"mean precision": 0.9995166666666666,
"mean recall": 0.99954,
"mean specificity": 0.99999,
"mean f1 score": 0.9995233333333334
},
"valid info": {
"accuracy": 0.9646666666634511,
"Airport": {
"Precision": 0.9725,
"Recall": 0.9815,
"Specificity": 0.999,
"F1 score": 0.977
},
"BareLand": {
"Precision": 0.9579,
"Recall": 0.9785,
"Specificity": 0.9986,
"F1 score": 0.9681
},
"BaseballField": {
"Precision": 0.9851,
"Recall": 1.0,
"Specificity": 0.9997,
"F1 score": 0.9925
},
"Beach": {
"Precision": 1.0,
"Recall": 0.9917,
"Specificity": 1.0,
"F1 score": 0.9958
},
"Bridge": {
"Precision": 0.9815,
"Recall": 0.9815,
"Specificity": 0.9993,
"F1 score": 0.9815
},
"Center": {
"Precision": 0.9342,
"Recall": 0.9103,
"Specificity": 0.9983,
"F1 score": 0.9221
},
"Church": {
"Precision": 0.8933,
"Recall": 0.9306,
"Specificity": 0.9973,
"F1 score": 0.9116
},
"Commercial": {
"Precision": 0.8929,
"Recall": 0.9524,
"Specificity": 0.9959,
"F1 score": 0.9217
},
"DenseResidential": {
"Precision": 0.9576,
"Recall": 0.9187,
"Specificity": 0.9983,
"F1 score": 0.9377
},
"Desert": {
"Precision": 0.9888,
"Recall": 0.9778,
"Specificity": 0.9997,
"F1 score": 0.9833
},
"Farmland": {
"Precision": 0.9727,
"Recall": 0.964,
"Specificity": 0.999,
"F1 score": 0.9683
},
"Forest": {
"Precision": 1.0,
"Recall": 1.0,
"Specificity": 1.0,
"F1 score": 1.0
},
"Industrial": {
"Precision": 0.9304,
"Recall": 0.9145,
"Specificity": 0.9972,
"F1 score": 0.9224
},
"Meadow": {
"Precision": 1.0,
"Recall": 0.9881,
"Specificity": 1.0,
"F1 score": 0.994
},
"MediumResidential": {
"Precision": 0.9438,
"Recall": 0.9655,
"Specificity": 0.9983,
"F1 score": 0.9545
},
"Mountain": {
"Precision": 1.0,
"Recall": 1.0,
"Specificity": 1.0,
"F1 score": 1.0
},
"Park": {
"Precision": 0.932,
"Recall": 0.9143,
"Specificity": 0.9976,
"F1 score": 0.9231
},
"Parking": {
"Precision": 0.9831,
"Recall": 0.9915,
"Specificity": 0.9993,
"F1 score": 0.9873
},
"Playground": {
"Precision": 0.9911,
"Recall": 1.0,
"Specificity": 0.9997,
"F1 score": 0.9955
},
"Pond": {
"Precision": 0.9919,
"Recall": 0.9762,
"Specificity": 0.9997,
"F1 score": 0.984
},
"Port": {
"Precision": 0.9826,
"Recall": 0.9912,
"Specificity": 0.9993,
"F1 score": 0.9869
},
"RailwayStation": {
"Precision": 0.9737,
"Recall": 0.9487,
"Specificity": 0.9993,
"F1 score": 0.961
},
"Resort": {
"Precision": 0.9506,
"Recall": 0.8851,
"Specificity": 0.9986,
"F1 score": 0.9167
},
"River": {
"Precision": 0.9837,
"Recall": 0.9837,
"Specificity": 0.9993,
"F1 score": 0.9837
},
"School": {
"Precision": 0.8495,
"Recall": 0.8778,
"Specificity": 0.9952,
"F1 score": 0.8634
},
"SparseResidential": {
"Precision": 1.0,
"Recall": 0.9889,
"Specificity": 1.0,
"F1 score": 0.9944
},
"Square": {
"Precision": 0.9029,
"Recall": 0.9394,
"Specificity": 0.9966,
"F1 score": 0.9208
},
"Stadium": {
"Precision": 1.0,
"Recall": 0.9885,
"Specificity": 1.0,
"F1 score": 0.9942
},
"StorageTanks": {
"Precision": 0.9722,
"Recall": 0.9722,
"Specificity": 0.999,
"F1 score": 0.9722
},
"Viaduct": {
"Precision": 0.9921,
"Recall": 1.0,
"Specificity": 0.9997,
"F1 score": 0.996
},
"mean precision": 0.96387,
"mean recall": 0.9637533333333331,
"mean specificity": 0.998796666666667,
"mean f1 score": 0.9636566666666664
}
},
"epoch:8": {
"train info": {
"accuracy": 0.9994285714271437,
"Airport": {
"Precision": 1.0,
"Recall": 1.0,
"Specificity": 1.0,
"F1 score": 1.0
},
"BareLand": {
"Precision": 1.0,
"Recall": 1.0,
"Specificity": 1.0,
"F1 score": 1.0
},
"BaseballField": {
"Precision": 1.0,
"Recall": 1.0,
"Specificity": 1.0,
"F1 score": 1.0
},
"Beach": {
"Precision": 1.0,
"Recall": 1.0,
"Specificity": 1.0,
"F1 score": 1.0
},
"Bridge": {
"Precision": 1.0,
"Recall": 1.0,
"Specificity": 1.0,
"F1 score": 1.0
},
"Center": {
"Precision": 1.0,
"Recall": 1.0,
"Specificity": 1.0,
"F1 score": 1.0
},
"Church": {
"Precision": 1.0,
"Recall": 1.0,
"Specificity": 1.0,
"F1 score": 1.0
},
"Commercial": {
"Precision": 1.0,
"Recall": 1.0,
"Specificity": 1.0,
"F1 score": 1.0
},
"DenseResidential": {
"Precision": 0.9965,
"Recall": 1.0,
"Specificity": 0.9999,
"F1 score": 0.9982
},
"Desert": {
"Precision": 1.0,
"Recall": 1.0,
"Specificity": 1.0,
"F1 score": 1.0
},
"Farmland": {
"Precision": 0.9962,
"Recall": 1.0,
"Specificity": 0.9999,
"F1 score": 0.9981
},
"Forest": {
"Precision": 1.0,
"Recall": 1.0,
"Specificity": 1.0,
"F1 score": 1.0
},
"Industrial": {
"Precision": 1.0,
"Recall": 1.0,
"Specificity": 1.0,
"F1 score": 1.0
},
"Meadow": {
"Precision": 1.0,
"Recall": 0.9949,
"Specificity": 1.0,
"F1 score": 0.9974
},
"MediumResidential": {
"Precision": 1.0,
"Recall": 0.9951,
"Specificity": 1.0,
"F1 score": 0.9975
},
"Mountain": {
"Precision": 1.0,
"Recall": 1.0,
"Specificity": 1.0,
"F1 score": 1.0
},
"Park": {
"Precision": 1.0,
"Recall": 0.9959,
"Specificity": 1.0,
"F1 score": 0.9979
},
"Parking": {
"Precision": 1.0,
"Recall": 1.0,
"Specificity": 1.0,
"F1 score": 1.0
},
"Playground": {
"Precision": 1.0,
"Recall": 1.0,
"Specificity": 1.0,
"F1 score": 1.0
},
"Pond": {
"Precision": 1.0,
"Recall": 1.0,
"Specificity": 1.0,
"F1 score": 1.0
},
"Port": {
"Precision": 1.0,
"Recall": 1.0,
"Specificity": 1.0,
"F1 score": 1.0
},
"RailwayStation": {
"Precision": 1.0,
"Recall": 1.0,
"Specificity": 1.0,
"F1 score": 1.0
},
"Resort": {
"Precision": 0.9951,
"Recall": 1.0,
"Specificity": 0.9999,
"F1 score": 0.9975
},
"River": {
"Precision": 1.0,
"Recall": 1.0,
"Specificity": 1.0,
"F1 score": 1.0
},
"School": {
"Precision": 0.9952,
"Recall": 0.9952,
"Specificity": 0.9999,
"F1 score": 0.9952
},
"SparseResidential": {
"Precision": 1.0,
"Recall": 1.0,
"Specificity": 1.0,
"F1 score": 1.0
},
"Square": {
"Precision": 1.0,
"Recall": 1.0,
"Specificity": 1.0,
"F1 score": 1.0
},
"Stadium": {
"Precision": 1.0,
"Recall": 1.0,
"Specificity": 1.0,
"F1 score": 1.0
},
"StorageTanks": {
"Precision": 1.0,
"Recall": 1.0,
"Specificity": 1.0,
"F1 score": 1.0
},
"Viaduct": {
"Precision": 1.0,
"Recall": 1.0,
"Specificity": 1.0,
"F1 score": 1.0
},
"mean precision": 0.9994333333333334,
"mean recall": 0.9993700000000001,
"mean specificity": 0.9999866666666667,
"mean f1 score": 0.9993933333333335
},
"valid info": {
"accuracy": 0.9619999999967934,
"Airport": {
"Precision": 0.955,
"Recall": 0.9815,
"Specificity": 0.9983,
"F1 score": 0.9681
},
"BareLand": {
"Precision": 0.9579,
"Recall": 0.9785,
"Specificity": 0.9986,
"F1 score": 0.9681
},
"BaseballField": {
"Precision": 0.9565,
"Recall": 1.0,
"Specificity": 0.999,
"F1 score": 0.9778
},
"Beach": {
"Precision": 1.0,
"Recall": 0.9917,
"Specificity": 1.0,
"F1 score": 0.9958
},
"Bridge": {
"Precision": 0.9815,
"Recall": 0.9815,
"Specificity": 0.9993,
"F1 score": 0.9815
},
"Center": {
"Precision": 0.9221,
"Recall": 0.9103,
"Specificity": 0.9979,
"F1 score": 0.9162
},
"Church": {
"Precision": 0.9155,
"Recall": 0.9028,
"Specificity": 0.998,
"F1 score": 0.9091
},
"Commercial": {
"Precision": 0.8644,
"Recall": 0.9714,
"Specificity": 0.9945,
"F1 score": 0.9148
},
"DenseResidential": {
"Precision": 0.9496,
"Recall": 0.9187,
"Specificity": 0.9979,
"F1 score": 0.9339
},
"Desert": {
"Precision": 0.9888,
"Recall": 0.9778,
"Specificity": 0.9997,
"F1 score": 0.9833
},
"Farmland": {
"Precision": 0.9815,
"Recall": 0.955,
"Specificity": 0.9993,
"F1 score": 0.9681
},
"Forest": {
"Precision": 1.0,
"Recall": 0.9733,
"Specificity": 1.0,
"F1 score": 0.9865
},
"Industrial": {
"Precision": 0.9464,
"Recall": 0.906,
"Specificity": 0.9979,
"F1 score": 0.9258
},
"Meadow": {
"Precision": 0.9767,
"Recall": 1.0,
"Specificity": 0.9993,
"F1 score": 0.9882
},
"MediumResidential": {
"Precision": 0.9333,
"Recall": 0.9655,
"Specificity": 0.9979,
"F1 score": 0.9491
},
"Mountain": {
"Precision": 0.9903,
"Recall": 1.0,
"Specificity": 0.9997,
"F1 score": 0.9951
},
"Park": {
"Precision": 0.9091,
"Recall": 0.9524,
"Specificity": 0.9965,
"F1 score": 0.9302
},
"Parking": {
"Precision": 0.9748,
"Recall": 0.9915,
"Specificity": 0.999,
"F1 score": 0.9831
},
"Playground": {
"Precision": 0.991,
"Recall": 0.991,
"Specificity": 0.9997,
"F1 score": 0.991
},
"Pond": {
"Precision": 0.984,
"Recall": 0.9762,
"Specificity": 0.9993,
"F1 score": 0.9801
},
"Port": {
"Precision": 0.9825,
"Recall": 0.9825,
"Specificity": 0.9993,
"F1 score": 0.9825
},
"RailwayStation": {
"Precision": 0.9737,
"Recall": 0.9487,
"Specificity": 0.9993,
"F1 score": 0.961
},
"Resort": {
"Precision": 0.9383,
"Recall": 0.8736,
"Specificity": 0.9983,
"F1 score": 0.9048
},
"River": {
"Precision": 0.9758,
"Recall": 0.9837,
"Specificity": 0.999,
"F1 score": 0.9797
},
"School": {
"Precision": 0.8824,
"Recall": 0.8333,
"Specificity": 0.9966,
"F1 score": 0.8571
},
"SparseResidential": {
"Precision": 1.0,
"Recall": 0.9889,
"Specificity": 1.0,
"F1 score": 0.9944
},
"Square": {
"Precision": 0.9485,
"Recall": 0.9293,
"Specificity": 0.9983,
"F1 score": 0.9388
},
"Stadium": {
"Precision": 1.0,
"Recall": 0.977,
"Specificity": 1.0,
"F1 score": 0.9884
},
"StorageTanks": {
"Precision": 0.9722,
"Recall": 0.9722,
"Specificity": 0.999,
"F1 score": 0.9722
},
"Viaduct": {
"Precision": 0.9844,
"Recall": 1.0,
"Specificity": 0.9993,
"F1 score": 0.9921
},
"mean precision": 0.9612066666666668,
"mean recall": 0.9604766666666668,
"mean specificity": 0.9986966666666669,
"mean f1 score": 0.96056
}
},
"epoch:9": {
"train info": {
"accuracy": 0.9994285714271437,
"Airport": {
"Precision": 0.996,
"Recall": 1.0,
"Specificity": 0.9999,
"F1 score": 0.998
},
"BareLand": {
"Precision": 1.0,
"Recall": 0.9954,
"Specificity": 1.0,
"F1 score": 0.9977
},
"BaseballField": {
"Precision": 1.0,
"Recall": 1.0,
"Specificity": 1.0,
"F1 score": 1.0
},
"Beach": {
"Precision": 1.0,
"Recall": 1.0,
"Specificity": 1.0,
"F1 score": 1.0
},
"Bridge": {
"Precision": 1.0,
"Recall": 1.0,
"Specificity": 1.0,
"F1 score": 1.0
},
"Center": {
"Precision": 1.0,
"Recall": 1.0,
"Specificity": 1.0,
"F1 score": 1.0
},
"Church": {
"Precision": 1.0,
"Recall": 1.0,
"Specificity": 1.0,
"F1 score": 1.0
},
"Commercial": {
"Precision": 1.0,
"Recall": 1.0,
"Specificity": 1.0,
"F1 score": 1.0
},
"DenseResidential": {
"Precision": 1.0,
"Recall": 1.0,
"Specificity": 1.0,
"F1 score": 1.0
},
"Desert": {
"Precision": 0.9953,
"Recall": 1.0,
"Specificity": 0.9999,
"F1 score": 0.9976
},
"Farmland": {
"Precision": 1.0,
"Recall": 0.9961,
"Specificity": 1.0,
"F1 score": 0.998
},
"Forest": {
"Precision": 1.0,
"Recall": 1.0,
"Specificity": 1.0,
"F1 score": 1.0
},
"Industrial": {
"Precision": 1.0,
"Recall": 0.9963,
"Specificity": 1.0,
"F1 score": 0.9981
},
"Meadow": {
"Precision": 0.9949,
"Recall": 1.0,
"Specificity": 0.9999,
"F1 score": 0.9974
},
"MediumResidential": {
"Precision": 1.0,
"Recall": 1.0,
"Specificity": 1.0,
"F1 score": 1.0
},
"Mountain": {
"Precision": 1.0,
"Recall": 1.0,
"Specificity": 1.0,
"F1 score": 1.0
},
"Park": {
"Precision": 1.0,
"Recall": 0.9959,
"Specificity": 1.0,
"F1 score": 0.9979
},
"Parking": {
"Precision": 1.0,
"Recall": 1.0,
"Specificity": 1.0,
"F1 score": 1.0
},
"Playground": {
"Precision": 1.0,
"Recall": 1.0,
"Specificity": 1.0,
"F1 score": 1.0
},
"Pond": {
"Precision": 1.0,
"Recall": 1.0,
"Specificity": 1.0,
"F1 score": 1.0
},
"Port": {
"Precision": 1.0,
"Recall": 1.0,
"Specificity": 1.0,
"F1 score": 1.0
},
"RailwayStation": {
"Precision": 1.0,
"Recall": 1.0,
"Specificity": 1.0,
"F1 score": 1.0
},
"Resort": {
"Precision": 0.9951,
"Recall": 1.0,
"Specificity": 0.9999,
"F1 score": 0.9975
},
"River": {
"Precision": 1.0,
"Recall": 1.0,
"Specificity": 1.0,
"F1 score": 1.0
},
"School": {
"Precision": 1.0,
"Recall": 1.0,
"Specificity": 1.0,
"F1 score": 1.0
},
"SparseResidential": {
"Precision": 1.0,
"Recall": 1.0,
"Specificity": 1.0,
"F1 score": 1.0
},
"Square": {
"Precision": 1.0,
"Recall": 1.0,
"Specificity": 1.0,
"F1 score": 1.0
},
"Stadium": {
"Precision": 1.0,
"Recall": 1.0,
"Specificity": 1.0,
"F1 score": 1.0
},
"StorageTanks": {
"Precision": 1.0,
"Recall": 1.0,
"Specificity": 1.0,
"F1 score": 1.0
},
"Viaduct": {
"Precision": 1.0,
"Recall": 1.0,
"Specificity": 1.0,
"F1 score": 1.0
},
"mean precision": 0.9993766666666667,
"mean recall": 0.9994566666666667,
"mean specificity": 0.9999866666666667,
"mean f1 score": 0.9994066666666667
},
"valid info": {
"accuracy": 0.9633333333301223,
"Airport": {
"Precision": 0.955,
"Recall": 0.9815,
"Specificity": 0.9983,
"F1 score": 0.9681
},
"BareLand": {
"Precision": 0.9583,
"Recall": 0.9892,
"Specificity": 0.9986,
"F1 score": 0.9735
},
"BaseballField": {
"Precision": 0.9565,
"Recall": 1.0,
"Specificity": 0.999,
"F1 score": 0.9778
},
"Beach": {
"Precision": 1.0,
"Recall": 0.9917,
"Specificity": 1.0,
"F1 score": 0.9958
},
"Bridge": {
"Precision": 0.9815,
"Recall": 0.9815,
"Specificity": 0.9993,
"F1 score": 0.9815
},
"Center": {
"Precision": 0.8987,
"Recall": 0.9103,
"Specificity": 0.9973,
"F1 score": 0.9045
},
"Church": {
"Precision": 0.9143,
"Recall": 0.8889,
"Specificity": 0.998,
"F1 score": 0.9014
},
"Commercial": {
"Precision": 0.8571,
"Recall": 0.9714,
"Specificity": 0.9941,
"F1 score": 0.9107
},
"DenseResidential": {
"Precision": 0.9504,
"Recall": 0.935,
"Specificity": 0.9979,
"F1 score": 0.9426
},
"Desert": {
"Precision": 1.0,
"Recall": 0.9667,
"Specificity": 1.0,
"F1 score": 0.9831
},
"Farmland": {
"Precision": 0.9817,
"Recall": 0.964,
"Specificity": 0.9993,
"F1 score": 0.9728
},
"Forest": {
"Precision": 1.0,
"Recall": 0.9733,
"Specificity": 1.0,
"F1 score": 0.9865
},
"Industrial": {
"Precision": 0.9316,
"Recall": 0.9316,
"Specificity": 0.9972,
"F1 score": 0.9316
},
"Meadow": {
"Precision": 0.9882,
"Recall": 1.0,
"Specificity": 0.9997,
"F1 score": 0.9941
},
"MediumResidential": {
"Precision": 0.9545,
"Recall": 0.9655,
"Specificity": 0.9986,
"F1 score": 0.96
},
"Mountain": {
"Precision": 0.9903,
"Recall": 1.0,
"Specificity": 0.9997,
"F1 score": 0.9951
},
"Park": {
"Precision": 0.9327,
"Recall": 0.9238,
"Specificity": 0.9976,
"F1 score": 0.9282
},
"Parking": {
"Precision": 0.9748,
"Recall": 0.9915,
"Specificity": 0.999,
"F1 score": 0.9831
},
"Playground": {
"Precision": 0.991,
"Recall": 0.991,
"Specificity": 0.9997,
"F1 score": 0.991
},
"Pond": {
"Precision": 0.984,
"Recall": 0.9762,
"Specificity": 0.9993,
"F1 score": 0.9801
},
"Port": {
"Precision": 0.9825,
"Recall": 0.9825,
"Specificity": 0.9993,
"F1 score": 0.9825
},
"RailwayStation": {
"Precision": 0.9737,
"Recall": 0.9487,
"Specificity": 0.9993,
"F1 score": 0.961
},
"Resort": {
"Precision": 0.95,
"Recall": 0.8736,
"Specificity": 0.9986,
"F1 score": 0.9102
},
"River": {
"Precision": 0.9758,
"Recall": 0.9837,
"Specificity": 0.999,
"F1 score": 0.9797
},
"School": {
"Precision": 0.8876,
"Recall": 0.8778,
"Specificity": 0.9966,
"F1 score": 0.8827
},
"SparseResidential": {
"Precision": 1.0,
"Recall": 0.9889,
"Specificity": 1.0,
"F1 score": 0.9944
},
"Square": {
"Precision": 0.9574,
"Recall": 0.9091,
"Specificity": 0.9986,
"F1 score": 0.9326
},
"Stadium": {
"Precision": 1.0,
"Recall": 0.977,
"Specificity": 1.0,
"F1 score": 0.9884
},
"StorageTanks": {
"Precision": 0.9722,
"Recall": 0.9722,
"Specificity": 0.999,
"F1 score": 0.9722
},
"Viaduct": {
"Precision": 0.9844,
"Recall": 1.0,
"Specificity": 0.9993,
"F1 score": 0.9921
},
"mean precision": 0.9628066666666666,
"mean recall": 0.9615533333333333,
"mean specificity": 0.9987433333333334,
"mean f1 score": 0.9619099999999999
}
}
}








这些都是代码自动生成的,摆放好数据集即可

6.推理
这里使用QT推理:

7.下载
下载地址:基于vision-Transformer+InceptionDW模块+Focalloss改进的【遥感地面30多类土地目标】的图像分类项目资源-CSDN文库

关于神经网络的改进,可以关注本人专栏:AI 改进系列_听风吹等浪起的博客-CSDN博客