文章目录
- 0.哈希表简介
- [1. 两数之和](#1. 两数之和)
-
- [1.1 题目](#1.1 题目)
- [1.2 思路](#1.2 思路)
- [1.3 代码](#1.3 代码)
- 2.判断是否为字符重排
-
- [2.1 题目](#2.1 题目)
- [2.2 思路](#2.2 思路)
- [2.3 代码](#2.3 代码)
- [3. leetcode.217.存在重复元素](#3. leetcode.217.存在重复元素)
-
- [3.1 题目](#3.1 题目)
- [3.2 思路](#3.2 思路)
- [3.3 代码](#3.3 代码)
- [4. leetcode.219.存在重复的元素Ⅱ](#4. leetcode.219.存在重复的元素Ⅱ)
-
- [4.1 题目](#4.1 题目)
- [4.2 思路](#4.2 思路)
- [4.3 代码](#4.3 代码)
- [5. leetcode.49.字母异位词分组](#5. leetcode.49.字母异位词分组)
-
- [5.1 题目](#5.1 题目)
- [5.2 思路](#5.2 思路)
- [5.3 代码](#5.3 代码)
0.哈希表简介

1. 两数之和
1.1 题目
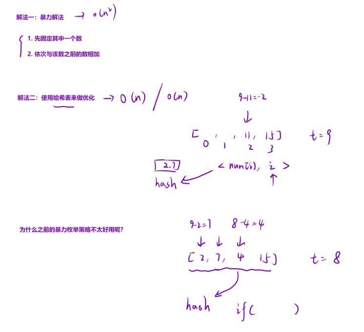
1.2 思路

1.3 代码
cpp
// 法1.1
class Solution {
public:
vector<int> twoSum(vector<int>& nums, int target) {
int n = nums.size();
for(int i = 0; i < n - 1; i++)
{
for(int j = i + 1; j < n; j++)
{
if(nums[i] + nums[j] == target) return {i, j};
}
}
return {};
}
};
cpp
// 法1.2
class Solution {
public:
vector<int> twoSum(vector<int>& nums, int target) {
int n = nums.size();
for(int i = 1; i < n; i++)
{
for(int j = 0; j < i; j++)
{
if(nums[i] + nums[j] == target) return {i, j};
}
}
return {};
}
};
cpp
// 法2
class Solution {
public:
vector<int> twoSum(vector<int>& nums, int target) {
unordered_map<int, int> idx; // 创建一个空哈希表
for(int j = 0; ; j++)
{
auto it = idx.find(target - nums[j]);
if(it != idx.end())
return {it->second, j};
idx[nums[j]] = j;
}
}
};
cpp
// 法2的另一种写法
class Solution {
public:
vector<int> twoSum(vector<int>& nums, int target) {
unordered_map<int, int> hash;
for(int i = 0; i < nums.size(); i++)
{
int t = target - nums[i];
if(hash.count(t)) return {hash[t], i};
hash[nums[i]] = i;
}
return {};
}
};
2.判断是否为字符重排
2.1 题目
2.2 思路

2.3 代码
cpp
class Solution {
public:
bool CheckPermutation(string s1, string s2) {
if(s1.size() != s2.size()) return false;
int hash[26] = {0};
for(auto it1 : s1)
{
hash[it1 - 'a'] ++;
}
for(auto it2 : s2)
{
hash[it2 - 'a'] --;
if(hash[it2 - 'a'] < 0) return false;
}
return true;
}
};
3. leetcode.217.存在重复元素
3.1 题目
3.2 思路

这个题思路跟上一个题的思路有点像,使用哈希表,从前往后遍历,从1开始遍历,判断哈希表中时候有此时的值,没有的话,把现在的值插入哈希表中,然后遍历下一个位置。
3.3 代码
cpp
class Solution {
public:
bool containsDuplicate(vector<int>& nums) {
unordered_set<int> hash;
for(auto x : nums)
{
if(hash.count(x)) return true;
else hash.insert(x);
}
return false;
}
};
4. leetcode.219.存在重复的元素Ⅱ
4.1 题目
4.2 思路


4.3 代码
cpp
// 法一 两层循环遍历
class Solution {
public:
bool containsNearbyDuplicate(vector<int>& nums, int k) {
for(int i = 0; i < nums.size(); i++)
{
for(int j = i + 1; j <= i + k && j < nums.size(); j++)
{
if(nums[i] == nums[j])
return true;
}
}
return false;
}
};
cpp
// 法二 哈希表
class Solution {
public:
bool containsNearbyDuplicate(vector<int>& nums, int k) {
unordered_map<int, int> hash;
for(int i = 0; i < nums.size(); i++)
{
if(hash.count(nums[i]))
{
if(i - hash[nums[i]] <= k) return true;
}
hash[nums[i]] = i;
}
return false;
}
};
5. leetcode.49.字母异位词分组
5.1 题目
5.2 思路


5.3 代码
cpp
class Solution {
public:
vector<vector<string>> groupAnagrams(vector<string>& strs) {
unordered_map<string, vector<string>> hash;
// 1. 把所有的字母异位词分组
for(auto s : strs)
{
string tmp = s;
sort(tmp.begin(), tmp.end());
hash[tmp].push_back(s);
}
// 2. 把结果提取出来
vector<vector<string>> ret;
for(auto& [x, y] : hash)
{
ret.push_back(y);
}
return ret;
}
};







