09.softmax回归+图像分类数据集+从零实现+简洁实现(与课程对应)
目录
[1、回归 vs 分类](#1、回归 vs 分类)
[1、均方损失函数 L2 loss](#1、均方损失函数 L2 loss)
[2、绝对值损失函数L1 loss](#2、绝对值损失函数L1 loss)
[3、Huber's 鲁棒损失](#3、Huber‘s 鲁棒损失)
一、softmax回归

1、回归 vs 分类
回归估计一个连续值:例如房子卖的价格
- 单连续数值输出
- 自然区间R
- 跟真实值的区别作为损失

分类预测一个离散类别:例如一个图片里面是猫还是狗
- 通常多个输出
- 输出 i 是预测为第 i 类的置信度。

2、经典分类数据集:
MNIST 数据集 :一个非常经典的数据集,用于识别手写数字 0 到 9,是一个十类分类问题。

ImageNet 数据集 :深度学习中特别经典的数据集,有 100 万张图片,每一张图片是一个自然物体,属于 1000 类自然物体之一,其中包含大概 100 种不同的狗 ,该问题为 1000 类的分类问题。

3、从回归到分类------均方损失

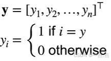
- 类别编码 :
- 编码原因 :类别常为字符串,不是数值,需进行编码处理。
- 编码方式 :若有 n 个类别,采用一位有效编码。标号是长为 n 的向量 Y1、Y2 ... YN ,若真实类别是第 i 个,则 Yi 等于 1,其他元素全部为 0 。

- 模型训练与预测 :
- 训练方法 :编码后可用回归问题的均方损失进行训练,无需改动。
- 预测方式 :训练出模型后,做预测时选取使置信度值最大化的 i,即通过 argmax o i 得到预测标号 yhat 。

4、从回归到多类分类------无校验比例
- Softmax 回归的问题及目标 :
- 关注置信度 :在分类中,更关心对正确类别的置信度要足够大,而非实际值。
- 目标函数改进 :希望正确类别 y 的置信度 oy 远大于其他非正确类的 oi,数学表示为 oy - oi 大于某阈值 Delta,以此拉开正确类与其他类的距离(最大值作为预测、需要更置信的识别正确类)。


5、从回归到多类分类------校验比例
- 输出处理的想法 :
- 输出值区间调整 :将输出值放到合适区间能让后续处理更简单,比如希望输出是概率。
- 引入 Softmax 操作 :对输出向量 o 应用 Softmax 操作得到 y hat 向量,其元素非负且和为 1,满足概率属性。
- Softmax 具体计算 :y hat 的第 i 个元素等于 o 的第 i 个元素做指数后,除以所有 o 元素做指数的和,这样 y hat 就可作为概率。

6、softmax和交叉熵损失
- 交叉熵基本概念 :
- 衡量概率区别:使用交叉熵(cross entropy)衡量两个概率的区别,将其作为损失来比较预测概率和真实概率。
- 离散概率公式:假设有两个离散概率 p 和 q,有 n 个元素,交叉熵公式为对每个元素 i,负的 pi 乘以 log qi 然后求和。

- 在分类问题中的损失计算 :
- 损失公式:对于真实标号 y 和预测标号 y hat,损失 l (y, y hat) 等于对所有 i 类别求和,负的 yi 乘以 log yi hat 。
- 简化计算:由于 y 中只有一个元素为 1 其余为 0,求和可简化为负的对真实类别 y 的预测值 y hat 求 log 。

- 与梯度的关系 :
- 梯度计算:损失的梯度是真实概率和预测概率的区别,如损失对 DOI 求导等于 Softmax 的第二个元素减去真实类别 y。
- 梯度下降作用:梯度下降时不断减去真实和预测概率的区别,使预测的 Softmax 值和真实的 y 更相近 。

7、总结
- Softmax回归是一个多类分类模型
- 使用Softmax操作子得到每个类的预测置信度
- 使用交叉熵来衡量预测和标号的区别
二、损失函数
损失函数用于衡量预测值和真实值间的区别,在机器学习里是重要概念。简单介绍三个常用的损失函数。
1、均方损失函数 L2 loss
- 定义 :均方损失又叫 L2 loss,定义为真实值 y 减去预测值 y',做平方再除以 2,这样求导数时 2 和 1/2 抵消变为 1。
- 特性可视化 :用三条曲线可视化其特性,蓝色曲线表示 y = 0 时变换预测值 y' 的函数,是二次函数且为偶函数;橙色线表示损失函数的梯度,是穿过原点的一次函数。
- 参数更新 :梯度决定参数更新方式,预测值 y' 与真实值 y 距离远时梯度大,参数更新多;靠近时梯度绝对值变小,参数更新幅度变小。

2、绝对值损失函数L1 loss
- L1 损失函数定义 :
- 公式形式:L1 损失函数定义为预测值减去真实值的绝对值,反过来也一样,即 | 预测值 - 真实值 |。
- 函数曲线情况 :
- 曲线呈现:蓝色线是损失函数曲线,当 y = 0 时的样子;绿色线是似然函数曲线,在原点处有一个很尖的点。
- L1 损失函数导数 :
- 大于 0 时导数:当 y' 大于 0 时,导数为常数 1。
- 小于 0 时导数:当 y' 小于 0 时,导数为常数 -1。
- 特殊点情况:由于绝对值函数在 0 点处不可导,其 subgradients(次梯度)可以在 -1 和 1 之间 。
- L1 损失函数特性 :
- 距离远时特点:当预测值跟真实值隔得比较远时,不管距离多远,梯度永远是常数,这带来稳定性好处,权重更新不会特别大。
- 距离近时劣势:在零点处不可导,且在零点处有从 -1 到 1 之间的剧烈变化,这种不平滑性导致在预测值和真实值靠得比较近,即优化末期时可能变得不稳定 。

3、Huber's 鲁棒损失
- Harbor 鲁棒损失函数定义 :
- 差值较大情况:当预测值和真实值差的绝对值大于 1 时,损失函数是绝对值误差(y 减去 y 一撇的绝对值)并减去 LNG,使曲线能连起来。
- 差值较近情况:当预测值和真实值差的绝对值小于等于 1 时,损失函数是平方误差。
- Harbor 鲁棒损失函数曲线特点 :
- 蓝色曲线:在正 1 负 1 之间是平滑二次函数曲线,之外是另一条曲线。
- 绿色线(Sech 函数):类似高斯分布,在原点处不像绝对值误差那样尖锐。
- Harbor 鲁棒损失函数导数特点 :
- 差值较大时:当 y 撇大于 1 或者小于 -1 时,导数是常数。
- 差值较小时:当 y 撇在 -1 到 1 之间时,导数是渐变过程。
- 导数好处:预测值和真实值差得远时,梯度用均匀力度往回拉;靠近时,梯度绝对值变小,保证优化平滑,避免数值问题。

三、图片分类数据集
MNIST数据集是图像分类中广泛使用的数据集之一,但作为基准数据集过于简单,使用类似但更复杂的Fashion-MNIST数据集。
1、导入库
python
import torch
import torchvision
from torch.utils import data
from torchvision import transforms
from d2l import torch as d2l
2、 通过框架中的内置函数,将Fashion-MNIST数据集下载并读取到内存中
python
# 通过ToTensor实例将图像数据从PIL类型变换成32位浮点数格式;并除以255使得所有像素的数值均在0到1之间
trans = transforms.ToTensor() # 预处理,用于将图片转为tensor
mnist_train = torchvision.datasets.FashionMNIST(root="../data", train=True, transform=trans, download=True) # 在torchvision.datasets找到FashionMNIST数据集,参数:root="../data"下载目录, train=True下载训练数据集, transform=trans图片转为pytorch的tensor, download=True下载
mnist_test = torchvision.datasets.FashionMNIST(root="../data", train=False, transform=trans, download=True)
print("len(mnist_train):", len(mnist_train), "\nlen(mnist_test):", len(mnist_test))
print("mnist_train[0][0].shape,训练集中第一张图片的形状:", mnist_train[0][0].shape, "\nmnist_train[0][1],训练集中第一张图片的标签:", mnist_train[0][1]) # mnist_train[0][0]是图片、mnist_train[0][1]是标签
3、 两个可视化数据集的函数,来画一下数据集
python
def get_fashion_mnist_labels(labels):
"""返回Fashion-MNIST数据集的文本标签"""
text_labels = [
't-shirt', 'trouser', 'pullover', 'dress', 'coat',
'sandal', 'shirt', 'sneaker', 'bag', 'ankle boot'
]
return [text_labels[int(i)] for i in labels]
def show_images(imgs, num_rows, num_cols, titles=None, scale=1.5):
"""绘制图像列表"""
figsize = (num_cols * scale, num_rows * scale)
_, axes = d2l.plt.subplots(num_rows, num_cols, figsize=figsize) # 使用subplots创建子图
axes = axes.flatten()
for i, (ax, img) in enumerate(zip(axes, imgs)):
if torch.is_tensor(img):
ax.imshow(img.numpy()) # 图片张量
else:
ax.imshow(img) # PIL图片
ax.axes.get_xaxis().set_visible(False)
ax.axes.get_yaxis().set_visible(False)
if titles:
ax.set_title(titles[i])
return axes
X, y = next(iter(data.DataLoader(mnist_train, batch_size=18))) # 加载批量图片
show_images(X.reshape(18, 28, 28), 2, 9, titles=get_fashion_mnist_labels(y)) # 显示图片并添加标签
d2l.plt.show() # 图片在线展示
4、 读取一小批量数据,大小batch_size
python
batch_size = 256
def get_dataloader_workers():
"""使用4个进程来读取的数据"""
return 0 # 写几就是几个进程
train_iter = data.DataLoader(mnist_train, batch_size, shuffle=True, num_workers=get_dataloader_workers())
timer = d2l.Timer()
for X, y in train_iter:
continue
print(f'{timer.stop():.2f} sec')
5、 整合所有组件
python
# 4、整合所有组件
def load_data_fashion_mnist(batch_size, resize=None):
"""下载Fashion-MNIST数据集,然后将其加载到内存中"""
trans = [transforms.ToTensor()]
if resize:
trans.insert(0, transforms.Resize(resize))
trans = transforms.Compose(trans)
mnist_train = torchvision.datasets.FashionMNIST(root="../data", train=True, transform=trans, download=True)
mnist_test = torchvision.datasets.FashionMNIST(root="../data", train=False, transform=trans, download=True)
return (data.DataLoader(mnist_train, batch_size, shuffle=True, num_workers=get_dataloader_workers()),
data.DataLoader(mnist_test, batch_size, shuffle=False, num_workers=get_dataloader_workers()))
# 测试整和组件功能
train_iter, test_iter = load_data_fashion_mnist(32, resize=64)
for X, y in train_iter:
print(X.shape, X.dtype, y.shape, y.dtype)
break
完整代码:
python
import torch
import torchvision
from torch.utils import data
from torchvision import transforms
from d2l import torch as d2l
# 1、通过框架中的内置函数,将Fashion-MNIST数据集下载并读取到内存中
# 通过ToTensor实例将图像数据从PIL类型变换成32位浮点数格式;并除以255使得所有像素的数值均在0到1之间
trans = transforms.ToTensor() # 预处理,用于将图片转为tensor
mnist_train = torchvision.datasets.FashionMNIST(root="../data", train=True, transform=trans, download=True) # 在torchvision.datasets找到FashionMNIST数据集,参数:root="../data"下载目录, train=True下载训练数据集, transform=trans图片转为pytorch的tensor, download=True下载
mnist_test = torchvision.datasets.FashionMNIST(root="../data", train=False, transform=trans, download=True)
print("len(mnist_train):", len(mnist_train), "\nlen(mnist_test):", len(mnist_test))
print("mnist_train[0][0].shape,训练集中第一张图片的形状:", mnist_train[0][0].shape, "\nmnist_train[0][1],训练集中第一张图片的标签:", mnist_train[0][1]) # mnist_train[0][0]是图片、mnist_train[0][1]是标签
# 2、两个可视化数据集的函数,来画一下数据集
def get_fashion_mnist_labels(labels):
"""返回Fashion-MNIST数据集的文本标签"""
text_labels = [
't-shirt', 'trouser', 'pullover', 'dress', 'coat',
'sandal', 'shirt', 'sneaker', 'bag', 'ankle boot'
]
return [text_labels[int(i)] for i in labels]
def show_images(imgs, num_rows, num_cols, titles=None, scale=1.5):
"""绘制图像列表"""
figsize = (num_cols * scale, num_rows * scale)
_, axes = d2l.plt.subplots(num_rows, num_cols, figsize=figsize) # 使用subplots创建子图
axes = axes.flatten()
for i, (ax, img) in enumerate(zip(axes, imgs)):
if torch.is_tensor(img):
ax.imshow(img.numpy()) # 图片张量
else:
ax.imshow(img) # PIL图片
ax.axes.get_xaxis().set_visible(False)
ax.axes.get_yaxis().set_visible(False)
if titles:
ax.set_title(titles[i])
return axes
X, y = next(iter(data.DataLoader(mnist_train, batch_size=18))) # 加载批量图片
show_images(X.reshape(18, 28, 28), 2, 9, titles=get_fashion_mnist_labels(y)) # 显示图片并添加标签
# d2l.plt.show() # 图片在线展示
# 3、读取一小批量数据,大小batch_size
batch_size = 256
def get_dataloader_workers():
"""使用4个进程来读取的数据"""
return 0 # 写几就是几个进程
train_iter = data.DataLoader(mnist_train, batch_size, shuffle=True, num_workers=get_dataloader_workers())
timer = d2l.Timer()
for X, y in train_iter:
continue
print(f'{timer.stop():.2f} sec')
'''
# 4、整合所有组件
def load_data_fashion_mnist(batch_size, resize=None):
"""下载Fashion-MNIST数据集,然后将其加载到内存中"""
trans = [transforms.ToTensor()]
if resize:
trans.insert(0, transforms.Resize(resize))
trans = transforms.Compose(trans)
mnist_train = torchvision.datasets.FashionMNIST(root="../data", train=True, transform=trans, download=True)
mnist_test = torchvision.datasets.FashionMNIST(root="../data", train=False, transform=trans, download=True)
return (data.DataLoader(mnist_train, batch_size, shuffle=True, num_workers=get_dataloader_workers()),
data.DataLoader(mnist_test, batch_size, shuffle=False, num_workers=get_dataloader_workers()))
# 测试整和组件功能
train_iter, test_iter = load_data_fashion_mnist(32, resize=64)
for X, y in train_iter:
print(X.shape, X.dtype, y.shape, y.dtype)
break
'''
四、从零实现
1、导入库
python
import torch
from IPython import display
from d2l import torch as d2l
2、数据集
python
batch_size = 256
train_iter, test_iter = d2l.load_data_fashion_mnist(batch_size) # 每次读取256张图片,返回训练集、测试集的迭代器:train_iter, test_iter
# 将展平每个图像1x28x28=784,将它们视为长度为784的向量(因为对于softmax回归来讲,输入需要是一个向量)。因为我们的数据集有10个类别,所以网络输出维度为10
num_inputs = 784
num_outputs = 10
3、参数初始化
python
W = torch.normal(0, 0.01, size=(num_inputs, num_outputs), requires_grad=True) # 均值为0,方差为0.01初始化W权重
b = torch.zeros(num_outputs, requires_grad=True) # 全0初始化
4、实现softmax
python
# 实现softmax
def softmax(X):
X_exp = torch.exp(X) # 对每一个元素做指数运算
partition = X_exp.sum(1, keepdim=True) # 按照维度为1来求和,对每一行求和;按行求和并保持维度不变,还是2维矩阵
return X_exp / partition # 这里应用了广播机制,
# 实现softmax回归模型
def net(X):
return softmax(torch.matmul(X.reshape((-1, W.shape[0])), W) + b) # 对X reshape使其能够与W做内积
5、实现交叉熵损失函数
python
# 实现交叉熵损失函数
def cross_entropy(y_hat, y):
return - torch.log(y_hat[range(len(y_hat)), y])
6、 将预测类别与真实y元素进行比较
python
def accuracy(y_hat, y):
"""计算预测正确的数量"""
if len(y_hat.shape) > 1 and y_hat.shape[1] > 1:
y_hat = y_hat.argmax(axis=1) # argmax返回每行最大值的索引
cmp = y_hat.type(y.dtype) == y # cmp为01向量,表示y_hat和y相同索引的个数
return float(cmp.type(y.dtype).sum()) # 返回cmp中所有相同索引的和
7、 评估任意模型net的精度
python
# 我们可以评估任意模型net的精度
def evaluate_accuracy(net, data_iter):
"""计算在指定数据集上模型的精度"""
if isinstance(net, torch.nn.Module):
net.eval() # eval()停用dropout和batchnorm
metric = Accumulator(2) # 创建两个元素的列表
with torch.no_grad():
for X, y in data_iter:
metric.add(accuracy(net(X), y), y.numel()) # 累加获得预测正确的个数和总个数
return metric[0] / metric[1]
# Accumulator实例中创建了2个变量, 分别用于存储正确预测的数量和预测的总数量
class Accumulator:
"""在n个变量上累加"""
def __init__(self, n):
self.data = [0.0] * n
def add(self, *args):
self.data = [a + float(b) for a, b in zip(self.data, args)] # 对数据累加
def reset(self):
self.data = [0.0] * len(self.data)
def __getitem__(self, idx):
return self.data[idx]
8、Softmax回归的训练
python
# Softmax回归的训练
def train_epoch_ch3(net, train_iter, loss, updater):
"""训练模型一个迭代周期(定义见第3章)"""
if isinstance(net, torch.nn.Module): # 判断是否自己实现函数
net.train()
metric = Accumulator(3)
for X, y in train_iter:
y_hat = net(X)
l = loss(y_hat, y)
if isinstance(updater, torch.optim.Optimizer):
updater.zero_grad()
l.sum().backward()
updater.step()
else:
l.sum().backward()
updater(X.shape[0])
metric.add(float(l.sum()), accuracy(y_hat, y), y.numel())
return metric[0] / metric[2], metric[1] / metric[2]
# 定义一个在动画中绘制数据的实用程序类
class Animator:
"""在动画中绘制数据"""
def __init__(self, xlabel=None, ylabel=None, legend=None, xlim=None,
ylim=None, xscale='linear', yscale='linear',
fmts=('-', 'm--', 'g-.', 'r:'), nrows=1, ncols=1,
figsize=(3.5, 2.5)):
if legend is None:
legend = []
d2l.use_svg_display()
self.fig, self.axes = d2l.plt.subplots(nrows, ncols, figsize=figsize)
if nrows * ncols == 1:
self.axes = [self.axes, ]
self.config_axes = lambda: d2l.set_axes(
self.axes[0], xlabel, ylabel, xlim, ylim, xscale, yscale, legend)
self.X, self.Y, self.fmts = None, None, fmts
def add(self, x, y):
if not hasattr(y, "__len__"):
y = [y]
n = len(y)
if not hasattr(x, "__len__"):
x = [x] * n
if not self.X:
self.X = [[] for _ in range(n)]
if not self.Y:
self.Y = [[] for _ in range(n)]
for i, (a, b) in enumerate(zip(x, y)):
if a is not None and b is not None:
self.X[i].append(a)
self.Y[i].append(b)
self.axes[0].cla()
for x, y, fmt in zip(self.X, self.Y, self.fmts):
self.axes[0].plot(x, y, fmt)
self.config_axes()
display.display(self.fig)
display.clear_output(wait=True)
# 训练函数
def train_ch3(net, train_iter, test_iter, loss, num_epochs, updater):
"""训练模型(定义见第3章)"""
animator = Animator(xlabel='epoch', xlim=[1, num_epochs], ylim=[0.3, 0.9],
legend=['train loss', 'train acc', 'test acc'])
for epoch in range(num_epochs):
train_metrics = train_epoch_ch3(net, train_iter, loss, updater)
test_acc = evaluate_accuracy(net, test_iter)
animator.add(epoch + 1, train_metrics + (test_acc,))
train_loss, train_acc = train_metrics
assert train_loss < 0.5, train_loss
assert train_acc <= 1 and train_acc > 0.7, train_acc
assert test_acc <= 1 and test_acc > 0.7, test_acc
# 小批量随机梯度下降来优化模型的损失函数
lr = 0.1
def updater(batch_size):
return d2l.sgd([W, b], lr, batch_size)
# 训练模型10个迭代周期
num_epochs = 10
train_ch3(net, train_iter, test_iter, cross_entropy, num_epochs, updater) # 调用前面的函数
d2l.plt.show()
9、对图像进行分类预测
python
# 对图像进行分类预测
def predict_ch3(net, test_iter, n=6):
"""预测标签(定义见第3章)"""
for X, y in test_iter:
break
trues = d2l.get_fashion_mnist_labels(y)
preds = d2l.get_fashion_mnist_labels(net(X).argmax(axis=1))
titles = [true +'\n' + pred for true, pred in zip(trues, preds)]
d2l.show_images(
X[0:n].reshape((n, 28, 28)), 1, n, titles=titles[0:n])
predict_ch3(net, test_iter)
d2l.plt.show()
完整代码:
python
import torch
from IPython import display
from d2l import torch as d2l
# softmax回归的从零开始实现
batch_size = 256
train_iter, test_iter = d2l.load_data_fashion_mnist(batch_size) # 每次读取256张图片,返回训练集、测试集的迭代器:train_iter, test_iter
# 将展平每个图像1x28x28=784,将它们视为长度为784的向量(因为对于softmax回归来讲,输入需要是一个向量)。因为我们的数据集有10个类别,所以网络输出维度为10
num_inputs = 784
num_outputs = 10
W = torch.normal(0, 0.01, size=(num_inputs, num_outputs), requires_grad=True) # 均值为0,方差为0.01初始化W权重
b = torch.zeros(num_outputs, requires_grad=True) # 全0初始化
# 实现softmax
def softmax(X):
X_exp = torch.exp(X) # 对每一个元素做指数运算
partition = X_exp.sum(1, keepdim=True) # 按照维度为1来求和,对每一行求和;按行求和并保持维度不变,还是2维矩阵
return X_exp / partition # 这里应用了广播机制,
# 实现softmax回归模型
def net(X):
return softmax(torch.matmul(X.reshape((-1, W.shape[0])), W) + b) # 对X reshape使其能够与W做内积
# 实现交叉熵损失函数
def cross_entropy(y_hat, y):
return - torch.log(y_hat[range(len(y_hat)), y])
# 将预测类别与真实y元素进行比较
def accuracy(y_hat, y):
"""计算预测正确的数量"""
if len(y_hat.shape) > 1 and y_hat.shape[1] > 1:
y_hat = y_hat.argmax(axis=1) # argmax返回每行最大值的索引
cmp = y_hat.type(y.dtype) == y # cmp为01向量,表示y_hat和y相同索引的个数
return float(cmp.type(y.dtype).sum()) # 返回cmp中所有相同索引的和
# 我们可以评估在任意模型net的精度
def evaluate_accuracy(net, data_iter):
"""计算在指定数据集上模型的精度"""
if isinstance(net, torch.nn.Module):
net.eval() # eval()停用dropout和batchnorm
metric = Accumulator(2) # 创建两个元素的列表
with torch.no_grad():
for X, y in data_iter:
metric.add(accuracy(net(X), y), y.numel()) # 累加获得预测正确的个数和总个数
return metric[0] / metric[1]
# Accumulator实例中创建了2个变量, 分别用于存储正确预测的数量和预测的总数量
class Accumulator:
"""在n个变量上累加"""
def __init__(self, n):
self.data = [0.0] * n
def add(self, *args):
self.data = [a + float(b) for a, b in zip(self.data, args)] # 对数据累加
def reset(self):
self.data = [0.0] * len(self.data)
def __getitem__(self, idx):
return self.data[idx]
# Softmax回归的训练
def train_epoch_ch3(net, train_iter, loss, updater):
"""训练模型一个迭代周期(定义见第3章)"""
if isinstance(net, torch.nn.Module): # 判断是否自己实现函数
net.train()
metric = Accumulator(3)
for X, y in train_iter:
y_hat = net(X)
l = loss(y_hat, y)
if isinstance(updater, torch.optim.Optimizer):
updater.zero_grad()
l.sum().backward()
updater.step()
else:
l.sum().backward()
updater(X.shape[0])
metric.add(float(l.sum()), accuracy(y_hat, y), y.numel())
return metric[0] / metric[2], metric[1] / metric[2]
# 定义一个在动画中绘制数据的实用程序类
class Animator:
"""在动画中绘制数据"""
def __init__(self, xlabel=None, ylabel=None, legend=None, xlim=None,
ylim=None, xscale='linear', yscale='linear',
fmts=('-', 'm--', 'g-.', 'r:'), nrows=1, ncols=1,
figsize=(3.5, 2.5)):
if legend is None:
legend = []
d2l.use_svg_display()
self.fig, self.axes = d2l.plt.subplots(nrows, ncols, figsize=figsize)
if nrows * ncols == 1:
self.axes = [self.axes, ]
self.config_axes = lambda: d2l.set_axes(
self.axes[0], xlabel, ylabel, xlim, ylim, xscale, yscale, legend)
self.X, self.Y, self.fmts = None, None, fmts
def add(self, x, y):
if not hasattr(y, "__len__"):
y = [y]
n = len(y)
if not hasattr(x, "__len__"):
x = [x] * n
if not self.X:
self.X = [[] for _ in range(n)]
if not self.Y:
self.Y = [[] for _ in range(n)]
for i, (a, b) in enumerate(zip(x, y)):
if a is not None and b is not None:
self.X[i].append(a)
self.Y[i].append(b)
self.axes[0].cla()
for x, y, fmt in zip(self.X, self.Y, self.fmts):
self.axes[0].plot(x, y, fmt)
self.config_axes()
display.display(self.fig)
display.clear_output(wait=True)
# 训练函数
def train_ch3(net, train_iter, test_iter, loss, num_epochs, updater):
"""训练模型(定义见第3章)"""
animator = Animator(xlabel='epoch', xlim=[1, num_epochs], ylim=[0.3, 0.9],
legend=['train loss', 'train acc', 'test acc'])
for epoch in range(num_epochs):
train_metrics = train_epoch_ch3(net, train_iter, loss, updater)
test_acc = evaluate_accuracy(net, test_iter)
animator.add(epoch + 1, train_metrics + (test_acc,))
train_loss, train_acc = train_metrics
assert train_loss < 0.5, train_loss
assert train_acc <= 1 and train_acc > 0.7, train_acc
assert test_acc <= 1 and test_acc > 0.7, test_acc
# 小批量随机梯度下降来优化模型的损失函数
lr = 0.1
def updater(batch_size):
return d2l.sgd([W, b], lr, batch_size)
# 训练模型10个迭代周期
num_epochs = 10
train_ch3(net, train_iter, test_iter, cross_entropy, num_epochs, updater) # 调用前面的函数
d2l.plt.show()
# 对图像进行分类预测
def predict_ch3(net, test_iter, n=6):
"""预测标签(定义见第3章)"""
for X, y in test_iter:
break
trues = d2l.get_fashion_mnist_labels(y)
preds = d2l.get_fashion_mnist_labels(net(X).argmax(axis=1))
titles = [true +'\n' + pred for true, pred in zip(trues, preds)]
d2l.show_images(
X[0:n].reshape((n, 28, 28)), 1, n, titles=titles[0:n])
predict_ch3(net, test_iter)
d2l.plt.show()
五、简洁实现
1、导入库
python
import numpy as np
import torch
from torch.utils import data
from d2l import torch as d2l
from torch import nn
2、 人造数据集,使用线性模型参数 w = [2, -3.4]T、b = 4.2;得到features, labels
python
# 1、人造数据集,使用线性模型参数 w = [2, -3.4]T、b = 4.2;得到features, labels
true_w = torch.tensor([2, -3.4])
true_b = 4.2
features, labels = d2l.synthetic_data(true_w, true_b, 1000)
def load_array(data_arrays, batch_size, is_train=True):
"""构造一个Pytorch数据迭代"""
dataset = data.TensorDataset(*data_arrays) # 得到数据集,*表示接受任意多个参数并将其放在一个元组中,拆包
return data.DataLoader(dataset, batch_size, shuffle=is_train) # 加载数据集,shuffle表示是否随机打乱
batch_size = 10
data_iter = load_array(data_arrays=(features, labels), batch_size=batch_size) # 把features, labels做成一个list传入到data.TensorDataset,得到数据集dataset
print(next(iter(data_iter)))
3、 模型定义;'nn'是神经网络的缩写
python
# 2、模型定义;'nn'是神经网络的缩写
# (1)使用框架的预定义好的层
net = nn.Sequential(nn.Linear(2, 1)) # 指定输入维度为2,输出维度为1
# (2)初始化模型参数
net[0].weight.data.normal_(0, 0.01) # 就是对w初始化化为均值为0,方差为0.01的正态分布
net[0].bias.data.fill_(0) # 就是对b初始化为0
4、 计算均方误差使用的是MSELoss类,也称为 平方范数
python
# 3、计算均方误差使用的是MSELoss类,也称为 平方范数
loss = nn.MSELoss()
5、 实例化SGD实例,优化器
python
# 4、实例化SGD实例,优化器
trainer = torch.optim.SGD(net.parameters(), lr=0.03) # 传入参数、学习率
6、 训练过程
python
# 5、训练过程
# (1)超参数设置
num_epochs = 3 # 整个数据扫三遍
# (2)训练的实现大同小异,一般就是两层for循环:第一层是每一次对数据扫一遍;第二层是对于每一次拿出一个批量大小的X、y
for epoch in range(num_epochs):
for X, y in data_iter:
l = loss(net(X), y) # 把 X 放到模型里面做预测(net本身自己带了模型参数,所以不需要w、b再传入了);把 预测的y 与 真实的y 做损失;得到的损失就是 一个批量大小的向量
trainer.zero_grad() # 优化器梯度清0
l.backward() # 求梯度,此处不用求sum,因为已经自动求完sum了
trainer.step() # 调用step()函数,进行一次模型参数的更新
# 对数据扫完一边之后,评价一下进度,此时是不需要梯度的,
l = loss(net(features), labels)
print(f"epoch {epoch + 1}, loss {l:f}") # 打印评估的结果
完整代码:
python
import numpy as np
import torch
from torch.utils import data
from d2l import torch as d2l
from torch import nn
# 线性回归的简洁实现(使用深度学习框架提供的计算);包括数据流水线、模型、损失函数和小批量随机梯度下降优化器
# 1、人造数据集,使用线性模型参数 w = [2, -3.4]T、b = 4.2;得到features, labels
true_w = torch.tensor([2, -3.4])
true_b = 4.2
features, labels = d2l.synthetic_data(true_w, true_b, 1000)
def load_array(data_arrays, batch_size, is_train=True):
"""构造一个Pytorch数据迭代"""
dataset = data.TensorDataset(*data_arrays) # 得到数据集,*表示接受任意多个参数并将其放在一个元组中,拆包
return data.DataLoader(dataset, batch_size, shuffle=is_train) # 加载数据集,shuffle表示是否随机打乱
batch_size = 10
data_iter = load_array(data_arrays=(features, labels), batch_size=batch_size) # 把features, labels做成一个list传入到data.TensorDataset,得到数据集dataset
print(next(iter(data_iter)))
# 2、模型定义;'nn'是神经网络的缩写
# (1)使用框架的预定义好的层
net = nn.Sequential(nn.Linear(2, 1)) # 指定输入维度为2,输出维度为1
# (2)初始化模型参数
net[0].weight.data.normal_(0, 0.01) # 就是对w初始化化为均值为0,方差为0.01的正态分布
net[0].bias.data.fill_(0) # 就是对b初始化为0
# 3、计算均方误差使用的是MSELoss类,也称为 平方范数
loss = nn.MSELoss()
# 4、实例化SGD实例,优化器
trainer = torch.optim.SGD(net.parameters(), lr=0.03) # 传入参数、学习率
# 5、训练过程
# (1)超参数设置
num_epochs = 3 # 整个数据扫三遍
# (2)训练的实现大同小异,一般就是两层for循环:第一层是每一次对数据扫一遍;第二层是对于每一次拿出一个批量大小的X、y
for epoch in range(num_epochs):
for X, y in data_iter:
l = loss(net(X), y) # 把 X 放到模型里面做预测(net本身自己带了模型参数,所以不需要w、b再传入了);把 预测的y 与 真实的y 做损失;得到的损失就是 一个批量大小的向量
trainer.zero_grad() # 优化器梯度清0
l.backward() # 求梯度,此处不用求sum,因为已经自动求完sum了
trainer.step() # 调用step()函数,进行一次模型参数的更新
# 对数据扫完一边之后,评价一下进度,此时是不需要梯度的,
l = loss(net(features), labels)
print(f"epoch {epoch + 1}, loss {l:f}") # 打印评估的结果
如果此文章对您有所帮助,那就请点个赞吧,收藏+关注 那就更棒啦,十分感谢!!!