给你二叉树的根节点 root ,返回它节点值的 前序 遍历。
示例 1:
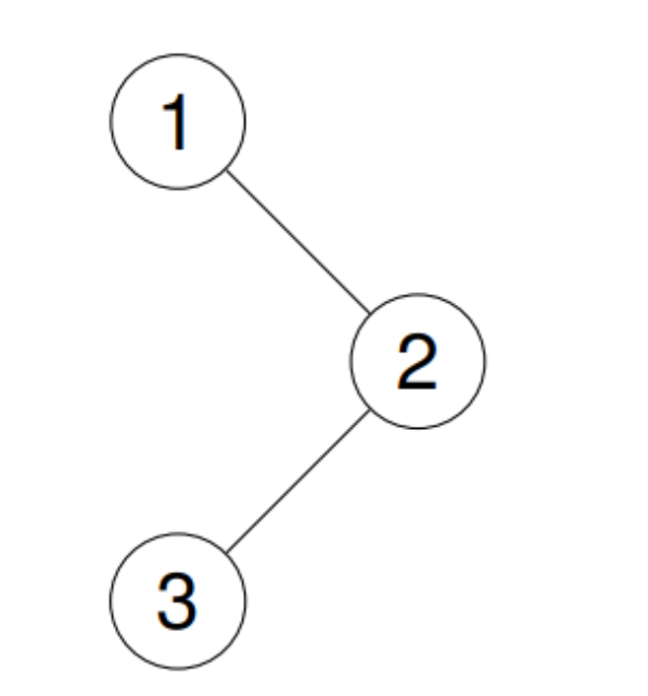
输入:root = [1,null,2,3]
输出:[1,2,3]
解释:

示例 2:
输入:root = [1,2,3,4,5,null,8,null,null,6,7,9]
输出:[1,2,4,5,6,7,3,8,9]
解释:

示例 3:
输入:root = []
输出:[]
示例 4:
输入:root = [1]
输出:[1]
代码
python
# Definition for a binary tree node.
# class TreeNode(object):
# def __init__(self, val=0, left=None, right=None):
# self.val = val
# self.left = left
# self.right = right
class Solution(object):
def preorderTraversal(self, root):
"""
:type root: Optional[TreeNode]
:rtype: List[int]
"""
res = []
def dfs(node):
if node is None:
return
res.append(node.val)
dfs(node.left)
dfs(node.right)
dfs(root)
return res